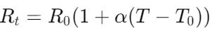
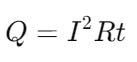
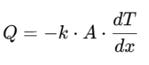
<?xml version="1.0" encoding="UTF-8"?><rss xmlns:dc="http://purl.org/dc/elements/1.1/" xmlns:content="http://purl.org/rss/1.0/modules/content/" xmlns:atom="http://www.w3.org/2005/Atom" version="2.0" xmlns:itunes="http://www.itunes.com/dtds/podcast-1.0.dtd" xmlns:googleplay="http://www.google.com/schemas/play-podcasts/1.0"><channel><title><![CDATA[Precision Newsletter]]></title><description><![CDATA[Precision provides essential knowledge of Electrical Heat Tracing to support the sustainable operation of energy, oil, and gas facilities, which, though often unseen, are critical to people’s lives. Our goal is to ensure that these resources are delivered]]></description><link>https://www.precisionnewsletter.com</link><image><url>https://substackcdn.com/image/fetch/$s_!dqaC!,w_256,c_limit,f_auto,q_auto:good,fl_progressive:steep/https%3A%2F%2Fsubstack-post-media.s3.amazonaws.com%2Fpublic%2Fimages%2Fd9a200d8-d89b-471f-ae26-791af289139d_256x256.png</url><title>Precision Newsletter</title><link>https://www.precisionnewsletter.com</link></image><generator>Substack</generator><lastBuildDate>Tue, 12 May 2026 20:18:08 GMT</lastBuildDate><atom:link href="https://www.precisionnewsletter.com/feed" rel="self" type="application/rss+xml"/><copyright><![CDATA[Jinwook Jung]]></copyright><language><![CDATA[en]]></language><webMaster><![CDATA[precisionnewsletter@substack.com]]></webMaster><itunes:owner><itunes:email><![CDATA[precisionnewsletter@substack.com]]></itunes:email><itunes:name><![CDATA[Jinwook Jung]]></itunes:name></itunes:owner><itunes:author><![CDATA[Jinwook Jung]]></itunes:author><googleplay:owner><![CDATA[precisionnewsletter@substack.com]]></googleplay:owner><googleplay:email><![CDATA[precisionnewsletter@substack.com]]></googleplay:email><googleplay:author><![CDATA[Jinwook Jung]]></googleplay:author><itunes:block><![CDATA[Yes]]></itunes:block><item><title><![CDATA[Enhancing Durability and Efficiency: The Role of Corrosion-Resistant Alloys in Heat Tracing Systems]]></title><description><![CDATA[Exploring the Role of Advanced Materials in Combating Corrosion Challenges]]></description><link>https://www.precisionnewsletter.com/p/enhancing-durability-and-efficiency</link><guid isPermaLink="false">https://www.precisionnewsletter.com/p/enhancing-durability-and-efficiency</guid><dc:creator><![CDATA[Jinwook Jung]]></dc:creator><pubDate>Fri, 04 Apr 2025 17:43:46 GMT</pubDate><enclosure url="https://substack-post-media.s3.amazonaws.com/public/images/bdc89064-d402-4552-98d5-1404d8ef3424_289x174.jpeg" length="0" type="image/jpeg"/><content:encoded><![CDATA[<h2><strong>Abstract:</strong></h2><p>Corrosion-resistant alloys (CRAs) play a pivotal role in the design and performance of heat tracing systems, particularly in demanding industrial environments. By offering superior durability and protection against harsh conditions, CRAs ensure the longevity and efficiency of heating cables. This article delves into the importance of corrosion-resistant alloys, their properties, and their application in heat tracing systems.</p><p>Electric heat tracing systems are used in industrial environments to maintain or raise the temperature of pipes, vessels, and other equipment. However, in harsh conditions, these systems are prone to corrosion if constructed from unsuitable materials.</p><div class="subscription-widget-wrap-editor" data-attrs="{&quot;url&quot;:&quot;https://www.precisionnewsletter.com/subscribe?&quot;,&quot;text&quot;:&quot;Subscribe&quot;,&quot;language&quot;:&quot;en&quot;}" data-component-name="SubscribeWidgetToDOM"><div class="subscription-widget show-subscribe"><div class="preamble"><p class="cta-caption">Thanks for reading Precision Newsletter! Subscribe for free to receive new posts and support my work.</p></div><form class="subscription-widget-subscribe"><input type="email" class="email-input" name="email" placeholder="Type your email&#8230;" tabindex="-1"><input type="submit" class="button primary" value="Subscribe"><div class="fake-input-wrapper"><div class="fake-input"></div><div class="fake-button"></div></div></form></div></div><h3><strong>Corrosion Challenges in Industrial Systems</strong></h3><h4><strong>Understanding the Industrial Corrosion Problem</strong></h4><p>Industrial plants, including chemical processing facilities, refineries, and offshore platforms, are exposed to extreme environmental conditions that accelerate corrosion. Corrosion occurs due to chemical reactions between metals and their surroundings, compromising system integrity, safety, and efficiency.</p><h3><strong>Types of Corrosion in Industrial Plants</strong></h3><p>Corrosion in Industrial Systems occurs due to various mechanisms, depending on the environment:</p><ol><li><p><strong>Uniform Corrosion</strong>: A slow and steady loss of material occurs uniformly across the cable's surface due to exposure to moisture or mild chemicals.</p><div class="captioned-image-container"><figure><a class="image-link image2" target="_blank" href="https://substackcdn.com/image/fetch/$s_!j5J_!,f_auto,q_auto:good,fl_progressive:steep/https%3A%2F%2Fsubstack-post-media.s3.amazonaws.com%2Fpublic%2Fimages%2Fd1bcbcc5-7897-4e77-9015-eb029e193eb8_165x164.png" data-component-name="Image2ToDOM"><div class="image2-inset"><picture><source type="image/webp" srcset="https://substackcdn.com/image/fetch/$s_!j5J_!,w_424,c_limit,f_webp,q_auto:good,fl_progressive:steep/https%3A%2F%2Fsubstack-post-media.s3.amazonaws.com%2Fpublic%2Fimages%2Fd1bcbcc5-7897-4e77-9015-eb029e193eb8_165x164.png 424w, https://substackcdn.com/image/fetch/$s_!j5J_!,w_848,c_limit,f_webp,q_auto:good,fl_progressive:steep/https%3A%2F%2Fsubstack-post-media.s3.amazonaws.com%2Fpublic%2Fimages%2Fd1bcbcc5-7897-4e77-9015-eb029e193eb8_165x164.png 848w, https://substackcdn.com/image/fetch/$s_!j5J_!,w_1272,c_limit,f_webp,q_auto:good,fl_progressive:steep/https%3A%2F%2Fsubstack-post-media.s3.amazonaws.com%2Fpublic%2Fimages%2Fd1bcbcc5-7897-4e77-9015-eb029e193eb8_165x164.png 1272w, https://substackcdn.com/image/fetch/$s_!j5J_!,w_1456,c_limit,f_webp,q_auto:good,fl_progressive:steep/https%3A%2F%2Fsubstack-post-media.s3.amazonaws.com%2Fpublic%2Fimages%2Fd1bcbcc5-7897-4e77-9015-eb029e193eb8_165x164.png 1456w" sizes="100vw"><img src="https://substackcdn.com/image/fetch/$s_!j5J_!,w_1456,c_limit,f_auto,q_auto:good,fl_progressive:steep/https%3A%2F%2Fsubstack-post-media.s3.amazonaws.com%2Fpublic%2Fimages%2Fd1bcbcc5-7897-4e77-9015-eb029e193eb8_165x164.png" width="165" height="164" data-attrs="{&quot;src&quot;:&quot;https://substack-post-media.s3.amazonaws.com/public/images/d1bcbcc5-7897-4e77-9015-eb029e193eb8_165x164.png&quot;,&quot;srcNoWatermark&quot;:null,&quot;fullscreen&quot;:null,&quot;imageSize&quot;:null,&quot;height&quot;:164,&quot;width&quot;:165,&quot;resizeWidth&quot;:null,&quot;bytes&quot;:85230,&quot;alt&quot;:null,&quot;title&quot;:null,&quot;type&quot;:&quot;image/png&quot;,&quot;href&quot;:null,&quot;belowTheFold&quot;:true,&quot;topImage&quot;:false,&quot;internalRedirect&quot;:&quot;https://www.precisionnewsletter.com/i/158996033?img=https%3A%2F%2Fsubstack-post-media.s3.amazonaws.com%2Fpublic%2Fimages%2Fd1bcbcc5-7897-4e77-9015-eb029e193eb8_165x164.png&quot;,&quot;isProcessing&quot;:false,&quot;align&quot;:null,&quot;offset&quot;:false}" class="sizing-normal" alt="" srcset="https://substackcdn.com/image/fetch/$s_!j5J_!,w_424,c_limit,f_auto,q_auto:good,fl_progressive:steep/https%3A%2F%2Fsubstack-post-media.s3.amazonaws.com%2Fpublic%2Fimages%2Fd1bcbcc5-7897-4e77-9015-eb029e193eb8_165x164.png 424w, https://substackcdn.com/image/fetch/$s_!j5J_!,w_848,c_limit,f_auto,q_auto:good,fl_progressive:steep/https%3A%2F%2Fsubstack-post-media.s3.amazonaws.com%2Fpublic%2Fimages%2Fd1bcbcc5-7897-4e77-9015-eb029e193eb8_165x164.png 848w, https://substackcdn.com/image/fetch/$s_!j5J_!,w_1272,c_limit,f_auto,q_auto:good,fl_progressive:steep/https%3A%2F%2Fsubstack-post-media.s3.amazonaws.com%2Fpublic%2Fimages%2Fd1bcbcc5-7897-4e77-9015-eb029e193eb8_165x164.png 1272w, https://substackcdn.com/image/fetch/$s_!j5J_!,w_1456,c_limit,f_auto,q_auto:good,fl_progressive:steep/https%3A%2F%2Fsubstack-post-media.s3.amazonaws.com%2Fpublic%2Fimages%2Fd1bcbcc5-7897-4e77-9015-eb029e193eb8_165x164.png 1456w" sizes="100vw" loading="lazy"></picture><div></div></div></a><figcaption class="image-caption">Figure 1: Uniform Corrosion</figcaption></figure></div></li><li><p><strong>Pitting Corrosion</strong>: Localized damage caused by chloride ions, especially in environments like offshore platforms or chemical plants. Pitting can penetrate deep into the material, weakening its structure</p><div class="captioned-image-container"><figure><a class="image-link image2" target="_blank" href="https://substackcdn.com/image/fetch/$s_!x6HU!,f_auto,q_auto:good,fl_progressive:steep/https%3A%2F%2Fsubstack-post-media.s3.amazonaws.com%2Fpublic%2Fimages%2F86e279ff-aff2-4870-8b9d-2845a4141603_226x151.png" data-component-name="Image2ToDOM"><div class="image2-inset"><picture><source type="image/webp" srcset="https://substackcdn.com/image/fetch/$s_!x6HU!,w_424,c_limit,f_webp,q_auto:good,fl_progressive:steep/https%3A%2F%2Fsubstack-post-media.s3.amazonaws.com%2Fpublic%2Fimages%2F86e279ff-aff2-4870-8b9d-2845a4141603_226x151.png 424w, https://substackcdn.com/image/fetch/$s_!x6HU!,w_848,c_limit,f_webp,q_auto:good,fl_progressive:steep/https%3A%2F%2Fsubstack-post-media.s3.amazonaws.com%2Fpublic%2Fimages%2F86e279ff-aff2-4870-8b9d-2845a4141603_226x151.png 848w, https://substackcdn.com/image/fetch/$s_!x6HU!,w_1272,c_limit,f_webp,q_auto:good,fl_progressive:steep/https%3A%2F%2Fsubstack-post-media.s3.amazonaws.com%2Fpublic%2Fimages%2F86e279ff-aff2-4870-8b9d-2845a4141603_226x151.png 1272w, https://substackcdn.com/image/fetch/$s_!x6HU!,w_1456,c_limit,f_webp,q_auto:good,fl_progressive:steep/https%3A%2F%2Fsubstack-post-media.s3.amazonaws.com%2Fpublic%2Fimages%2F86e279ff-aff2-4870-8b9d-2845a4141603_226x151.png 1456w" sizes="100vw"><img src="https://substackcdn.com/image/fetch/$s_!x6HU!,w_1456,c_limit,f_auto,q_auto:good,fl_progressive:steep/https%3A%2F%2Fsubstack-post-media.s3.amazonaws.com%2Fpublic%2Fimages%2F86e279ff-aff2-4870-8b9d-2845a4141603_226x151.png" width="226" height="151" data-attrs="{&quot;src&quot;:&quot;https://substack-post-media.s3.amazonaws.com/public/images/86e279ff-aff2-4870-8b9d-2845a4141603_226x151.png&quot;,&quot;srcNoWatermark&quot;:null,&quot;fullscreen&quot;:null,&quot;imageSize&quot;:null,&quot;height&quot;:151,&quot;width&quot;:226,&quot;resizeWidth&quot;:null,&quot;bytes&quot;:100914,&quot;alt&quot;:null,&quot;title&quot;:null,&quot;type&quot;:&quot;image/png&quot;,&quot;href&quot;:null,&quot;belowTheFold&quot;:true,&quot;topImage&quot;:false,&quot;internalRedirect&quot;:&quot;https://www.precisionnewsletter.com/i/158996033?img=https%3A%2F%2Fsubstack-post-media.s3.amazonaws.com%2Fpublic%2Fimages%2F86e279ff-aff2-4870-8b9d-2845a4141603_226x151.png&quot;,&quot;isProcessing&quot;:false,&quot;align&quot;:null,&quot;offset&quot;:false}" class="sizing-normal" alt="" srcset="https://substackcdn.com/image/fetch/$s_!x6HU!,w_424,c_limit,f_auto,q_auto:good,fl_progressive:steep/https%3A%2F%2Fsubstack-post-media.s3.amazonaws.com%2Fpublic%2Fimages%2F86e279ff-aff2-4870-8b9d-2845a4141603_226x151.png 424w, https://substackcdn.com/image/fetch/$s_!x6HU!,w_848,c_limit,f_auto,q_auto:good,fl_progressive:steep/https%3A%2F%2Fsubstack-post-media.s3.amazonaws.com%2Fpublic%2Fimages%2F86e279ff-aff2-4870-8b9d-2845a4141603_226x151.png 848w, https://substackcdn.com/image/fetch/$s_!x6HU!,w_1272,c_limit,f_auto,q_auto:good,fl_progressive:steep/https%3A%2F%2Fsubstack-post-media.s3.amazonaws.com%2Fpublic%2Fimages%2F86e279ff-aff2-4870-8b9d-2845a4141603_226x151.png 1272w, https://substackcdn.com/image/fetch/$s_!x6HU!,w_1456,c_limit,f_auto,q_auto:good,fl_progressive:steep/https%3A%2F%2Fsubstack-post-media.s3.amazonaws.com%2Fpublic%2Fimages%2F86e279ff-aff2-4870-8b9d-2845a4141603_226x151.png 1456w" sizes="100vw" loading="lazy"></picture><div></div></div></a><figcaption class="image-caption"><em>Figure 2: Pitting Corrosion</em></figcaption></figure></div></li><li><p><strong>Crevice Corrosion</strong>: Occurs in shielded areas such as under insulation or at joints, where stagnant moisture and corrosive agents concentrate.</p><div class="captioned-image-container"><figure><a class="image-link image2" target="_blank" href="https://substackcdn.com/image/fetch/$s_!v-D8!,f_auto,q_auto:good,fl_progressive:steep/https%3A%2F%2Fsubstack-post-media.s3.amazonaws.com%2Fpublic%2Fimages%2F0dc3fe3c-6ba9-4002-bc23-831997cfe5ac_229x156.png" data-component-name="Image2ToDOM"><div class="image2-inset"><picture><source type="image/webp" srcset="https://substackcdn.com/image/fetch/$s_!v-D8!,w_424,c_limit,f_webp,q_auto:good,fl_progressive:steep/https%3A%2F%2Fsubstack-post-media.s3.amazonaws.com%2Fpublic%2Fimages%2F0dc3fe3c-6ba9-4002-bc23-831997cfe5ac_229x156.png 424w, https://substackcdn.com/image/fetch/$s_!v-D8!,w_848,c_limit,f_webp,q_auto:good,fl_progressive:steep/https%3A%2F%2Fsubstack-post-media.s3.amazonaws.com%2Fpublic%2Fimages%2F0dc3fe3c-6ba9-4002-bc23-831997cfe5ac_229x156.png 848w, https://substackcdn.com/image/fetch/$s_!v-D8!,w_1272,c_limit,f_webp,q_auto:good,fl_progressive:steep/https%3A%2F%2Fsubstack-post-media.s3.amazonaws.com%2Fpublic%2Fimages%2F0dc3fe3c-6ba9-4002-bc23-831997cfe5ac_229x156.png 1272w, https://substackcdn.com/image/fetch/$s_!v-D8!,w_1456,c_limit,f_webp,q_auto:good,fl_progressive:steep/https%3A%2F%2Fsubstack-post-media.s3.amazonaws.com%2Fpublic%2Fimages%2F0dc3fe3c-6ba9-4002-bc23-831997cfe5ac_229x156.png 1456w" sizes="100vw"><img src="https://substackcdn.com/image/fetch/$s_!v-D8!,w_1456,c_limit,f_auto,q_auto:good,fl_progressive:steep/https%3A%2F%2Fsubstack-post-media.s3.amazonaws.com%2Fpublic%2Fimages%2F0dc3fe3c-6ba9-4002-bc23-831997cfe5ac_229x156.png" width="229" height="156" data-attrs="{&quot;src&quot;:&quot;https://substack-post-media.s3.amazonaws.com/public/images/0dc3fe3c-6ba9-4002-bc23-831997cfe5ac_229x156.png&quot;,&quot;srcNoWatermark&quot;:null,&quot;fullscreen&quot;:null,&quot;imageSize&quot;:null,&quot;height&quot;:156,&quot;width&quot;:229,&quot;resizeWidth&quot;:null,&quot;bytes&quot;:95282,&quot;alt&quot;:null,&quot;title&quot;:null,&quot;type&quot;:&quot;image/png&quot;,&quot;href&quot;:null,&quot;belowTheFold&quot;:true,&quot;topImage&quot;:false,&quot;internalRedirect&quot;:&quot;https://www.precisionnewsletter.com/i/158996033?img=https%3A%2F%2Fsubstack-post-media.s3.amazonaws.com%2Fpublic%2Fimages%2F0dc3fe3c-6ba9-4002-bc23-831997cfe5ac_229x156.png&quot;,&quot;isProcessing&quot;:false,&quot;align&quot;:null,&quot;offset&quot;:false}" class="sizing-normal" alt="" srcset="https://substackcdn.com/image/fetch/$s_!v-D8!,w_424,c_limit,f_auto,q_auto:good,fl_progressive:steep/https%3A%2F%2Fsubstack-post-media.s3.amazonaws.com%2Fpublic%2Fimages%2F0dc3fe3c-6ba9-4002-bc23-831997cfe5ac_229x156.png 424w, https://substackcdn.com/image/fetch/$s_!v-D8!,w_848,c_limit,f_auto,q_auto:good,fl_progressive:steep/https%3A%2F%2Fsubstack-post-media.s3.amazonaws.com%2Fpublic%2Fimages%2F0dc3fe3c-6ba9-4002-bc23-831997cfe5ac_229x156.png 848w, https://substackcdn.com/image/fetch/$s_!v-D8!,w_1272,c_limit,f_auto,q_auto:good,fl_progressive:steep/https%3A%2F%2Fsubstack-post-media.s3.amazonaws.com%2Fpublic%2Fimages%2F0dc3fe3c-6ba9-4002-bc23-831997cfe5ac_229x156.png 1272w, https://substackcdn.com/image/fetch/$s_!v-D8!,w_1456,c_limit,f_auto,q_auto:good,fl_progressive:steep/https%3A%2F%2Fsubstack-post-media.s3.amazonaws.com%2Fpublic%2Fimages%2F0dc3fe3c-6ba9-4002-bc23-831997cfe5ac_229x156.png 1456w" sizes="100vw" loading="lazy"></picture><div></div></div></a><figcaption class="image-caption">Figure 3: Crevice Corrosion</figcaption></figure></div></li><li><p><strong>Stress Corrosion Cracking (SCC)</strong>: A combination of tensile stress and a corrosive environment causes cracks to form, particularly in alloys exposed to high temperatures and chloride-rich conditions</p><div class="captioned-image-container"><figure><a class="image-link image2" target="_blank" href="https://substackcdn.com/image/fetch/$s_!oYHT!,f_auto,q_auto:good,fl_progressive:steep/https%3A%2F%2Fsubstack-post-media.s3.amazonaws.com%2Fpublic%2Fimages%2Fe888f0af-8139-4f74-a219-262c00b3dee4_260x171.png" data-component-name="Image2ToDOM"><div class="image2-inset"><picture><source type="image/webp" srcset="https://substackcdn.com/image/fetch/$s_!oYHT!,w_424,c_limit,f_webp,q_auto:good,fl_progressive:steep/https%3A%2F%2Fsubstack-post-media.s3.amazonaws.com%2Fpublic%2Fimages%2Fe888f0af-8139-4f74-a219-262c00b3dee4_260x171.png 424w, https://substackcdn.com/image/fetch/$s_!oYHT!,w_848,c_limit,f_webp,q_auto:good,fl_progressive:steep/https%3A%2F%2Fsubstack-post-media.s3.amazonaws.com%2Fpublic%2Fimages%2Fe888f0af-8139-4f74-a219-262c00b3dee4_260x171.png 848w, https://substackcdn.com/image/fetch/$s_!oYHT!,w_1272,c_limit,f_webp,q_auto:good,fl_progressive:steep/https%3A%2F%2Fsubstack-post-media.s3.amazonaws.com%2Fpublic%2Fimages%2Fe888f0af-8139-4f74-a219-262c00b3dee4_260x171.png 1272w, https://substackcdn.com/image/fetch/$s_!oYHT!,w_1456,c_limit,f_webp,q_auto:good,fl_progressive:steep/https%3A%2F%2Fsubstack-post-media.s3.amazonaws.com%2Fpublic%2Fimages%2Fe888f0af-8139-4f74-a219-262c00b3dee4_260x171.png 1456w" sizes="100vw"><img src="https://substackcdn.com/image/fetch/$s_!oYHT!,w_1456,c_limit,f_auto,q_auto:good,fl_progressive:steep/https%3A%2F%2Fsubstack-post-media.s3.amazonaws.com%2Fpublic%2Fimages%2Fe888f0af-8139-4f74-a219-262c00b3dee4_260x171.png" width="260" height="171" data-attrs="{&quot;src&quot;:&quot;https://substack-post-media.s3.amazonaws.com/public/images/e888f0af-8139-4f74-a219-262c00b3dee4_260x171.png&quot;,&quot;srcNoWatermark&quot;:null,&quot;fullscreen&quot;:null,&quot;imageSize&quot;:null,&quot;height&quot;:171,&quot;width&quot;:260,&quot;resizeWidth&quot;:null,&quot;bytes&quot;:119614,&quot;alt&quot;:null,&quot;title&quot;:null,&quot;type&quot;:&quot;image/png&quot;,&quot;href&quot;:null,&quot;belowTheFold&quot;:true,&quot;topImage&quot;:false,&quot;internalRedirect&quot;:&quot;https://www.precisionnewsletter.com/i/158996033?img=https%3A%2F%2Fsubstack-post-media.s3.amazonaws.com%2Fpublic%2Fimages%2Fe888f0af-8139-4f74-a219-262c00b3dee4_260x171.png&quot;,&quot;isProcessing&quot;:false,&quot;align&quot;:null,&quot;offset&quot;:false}" class="sizing-normal" alt="" srcset="https://substackcdn.com/image/fetch/$s_!oYHT!,w_424,c_limit,f_auto,q_auto:good,fl_progressive:steep/https%3A%2F%2Fsubstack-post-media.s3.amazonaws.com%2Fpublic%2Fimages%2Fe888f0af-8139-4f74-a219-262c00b3dee4_260x171.png 424w, https://substackcdn.com/image/fetch/$s_!oYHT!,w_848,c_limit,f_auto,q_auto:good,fl_progressive:steep/https%3A%2F%2Fsubstack-post-media.s3.amazonaws.com%2Fpublic%2Fimages%2Fe888f0af-8139-4f74-a219-262c00b3dee4_260x171.png 848w, https://substackcdn.com/image/fetch/$s_!oYHT!,w_1272,c_limit,f_auto,q_auto:good,fl_progressive:steep/https%3A%2F%2Fsubstack-post-media.s3.amazonaws.com%2Fpublic%2Fimages%2Fe888f0af-8139-4f74-a219-262c00b3dee4_260x171.png 1272w, https://substackcdn.com/image/fetch/$s_!oYHT!,w_1456,c_limit,f_auto,q_auto:good,fl_progressive:steep/https%3A%2F%2Fsubstack-post-media.s3.amazonaws.com%2Fpublic%2Fimages%2Fe888f0af-8139-4f74-a219-262c00b3dee4_260x171.png 1456w" sizes="100vw" loading="lazy"></picture><div></div></div></a><figcaption class="image-caption"><em>Figure 4: Stress Corrosion</em></figcaption></figure></div></li><li><p><strong>Oxidation</strong>: At high temperatures, metals react with oxygen to form oxides, which reduce the material's thermal and mechanical properties.</p><div class="captioned-image-container"><figure><a class="image-link image2" target="_blank" href="https://substackcdn.com/image/fetch/$s_!kz5J!,f_auto,q_auto:good,fl_progressive:steep/https%3A%2F%2Fsubstack-post-media.s3.amazonaws.com%2Fpublic%2Fimages%2F5e7933df-d089-40e7-96c0-07457cc31627_293x192.png" data-component-name="Image2ToDOM"><div class="image2-inset"><picture><source type="image/webp" srcset="https://substackcdn.com/image/fetch/$s_!kz5J!,w_424,c_limit,f_webp,q_auto:good,fl_progressive:steep/https%3A%2F%2Fsubstack-post-media.s3.amazonaws.com%2Fpublic%2Fimages%2F5e7933df-d089-40e7-96c0-07457cc31627_293x192.png 424w, https://substackcdn.com/image/fetch/$s_!kz5J!,w_848,c_limit,f_webp,q_auto:good,fl_progressive:steep/https%3A%2F%2Fsubstack-post-media.s3.amazonaws.com%2Fpublic%2Fimages%2F5e7933df-d089-40e7-96c0-07457cc31627_293x192.png 848w, https://substackcdn.com/image/fetch/$s_!kz5J!,w_1272,c_limit,f_webp,q_auto:good,fl_progressive:steep/https%3A%2F%2Fsubstack-post-media.s3.amazonaws.com%2Fpublic%2Fimages%2F5e7933df-d089-40e7-96c0-07457cc31627_293x192.png 1272w, https://substackcdn.com/image/fetch/$s_!kz5J!,w_1456,c_limit,f_webp,q_auto:good,fl_progressive:steep/https%3A%2F%2Fsubstack-post-media.s3.amazonaws.com%2Fpublic%2Fimages%2F5e7933df-d089-40e7-96c0-07457cc31627_293x192.png 1456w" sizes="100vw"><img src="https://substackcdn.com/image/fetch/$s_!kz5J!,w_1456,c_limit,f_auto,q_auto:good,fl_progressive:steep/https%3A%2F%2Fsubstack-post-media.s3.amazonaws.com%2Fpublic%2Fimages%2F5e7933df-d089-40e7-96c0-07457cc31627_293x192.png" width="293" height="192" data-attrs="{&quot;src&quot;:&quot;https://substack-post-media.s3.amazonaws.com/public/images/5e7933df-d089-40e7-96c0-07457cc31627_293x192.png&quot;,&quot;srcNoWatermark&quot;:null,&quot;fullscreen&quot;:null,&quot;imageSize&quot;:null,&quot;height&quot;:192,&quot;width&quot;:293,&quot;resizeWidth&quot;:null,&quot;bytes&quot;:163673,&quot;alt&quot;:null,&quot;title&quot;:null,&quot;type&quot;:&quot;image/png&quot;,&quot;href&quot;:null,&quot;belowTheFold&quot;:true,&quot;topImage&quot;:false,&quot;internalRedirect&quot;:&quot;https://www.precisionnewsletter.com/i/158996033?img=https%3A%2F%2Fsubstack-post-media.s3.amazonaws.com%2Fpublic%2Fimages%2F5e7933df-d089-40e7-96c0-07457cc31627_293x192.png&quot;,&quot;isProcessing&quot;:false,&quot;align&quot;:null,&quot;offset&quot;:false}" class="sizing-normal" alt="" srcset="https://substackcdn.com/image/fetch/$s_!kz5J!,w_424,c_limit,f_auto,q_auto:good,fl_progressive:steep/https%3A%2F%2Fsubstack-post-media.s3.amazonaws.com%2Fpublic%2Fimages%2F5e7933df-d089-40e7-96c0-07457cc31627_293x192.png 424w, https://substackcdn.com/image/fetch/$s_!kz5J!,w_848,c_limit,f_auto,q_auto:good,fl_progressive:steep/https%3A%2F%2Fsubstack-post-media.s3.amazonaws.com%2Fpublic%2Fimages%2F5e7933df-d089-40e7-96c0-07457cc31627_293x192.png 848w, https://substackcdn.com/image/fetch/$s_!kz5J!,w_1272,c_limit,f_auto,q_auto:good,fl_progressive:steep/https%3A%2F%2Fsubstack-post-media.s3.amazonaws.com%2Fpublic%2Fimages%2F5e7933df-d089-40e7-96c0-07457cc31627_293x192.png 1272w, https://substackcdn.com/image/fetch/$s_!kz5J!,w_1456,c_limit,f_auto,q_auto:good,fl_progressive:steep/https%3A%2F%2Fsubstack-post-media.s3.amazonaws.com%2Fpublic%2Fimages%2F5e7933df-d089-40e7-96c0-07457cc31627_293x192.png 1456w" sizes="100vw" loading="lazy"></picture><div></div></div></a><figcaption class="image-caption"><em>Figure 5: Effects of Oxidation</em></figcaption></figure></div></li><li><p><strong>Galvanic Corrosion: </strong>Occurs when two dissimilar metals are electrically connected in the presence of an electrolyte (e.g., water). The less noble metal corrodes preferentially.</p><div class="captioned-image-container"><figure><a class="image-link image2" target="_blank" href="https://substackcdn.com/image/fetch/$s_!KuH6!,f_auto,q_auto:good,fl_progressive:steep/https%3A%2F%2Fsubstack-post-media.s3.amazonaws.com%2Fpublic%2Fimages%2F13690e3c-2766-4600-9ad3-0bc3d8a1aa4b_242x160.png" data-component-name="Image2ToDOM"><div class="image2-inset"><picture><source type="image/webp" srcset="https://substackcdn.com/image/fetch/$s_!KuH6!,w_424,c_limit,f_webp,q_auto:good,fl_progressive:steep/https%3A%2F%2Fsubstack-post-media.s3.amazonaws.com%2Fpublic%2Fimages%2F13690e3c-2766-4600-9ad3-0bc3d8a1aa4b_242x160.png 424w, https://substackcdn.com/image/fetch/$s_!KuH6!,w_848,c_limit,f_webp,q_auto:good,fl_progressive:steep/https%3A%2F%2Fsubstack-post-media.s3.amazonaws.com%2Fpublic%2Fimages%2F13690e3c-2766-4600-9ad3-0bc3d8a1aa4b_242x160.png 848w, https://substackcdn.com/image/fetch/$s_!KuH6!,w_1272,c_limit,f_webp,q_auto:good,fl_progressive:steep/https%3A%2F%2Fsubstack-post-media.s3.amazonaws.com%2Fpublic%2Fimages%2F13690e3c-2766-4600-9ad3-0bc3d8a1aa4b_242x160.png 1272w, https://substackcdn.com/image/fetch/$s_!KuH6!,w_1456,c_limit,f_webp,q_auto:good,fl_progressive:steep/https%3A%2F%2Fsubstack-post-media.s3.amazonaws.com%2Fpublic%2Fimages%2F13690e3c-2766-4600-9ad3-0bc3d8a1aa4b_242x160.png 1456w" sizes="100vw"><img src="https://substackcdn.com/image/fetch/$s_!KuH6!,w_1456,c_limit,f_auto,q_auto:good,fl_progressive:steep/https%3A%2F%2Fsubstack-post-media.s3.amazonaws.com%2Fpublic%2Fimages%2F13690e3c-2766-4600-9ad3-0bc3d8a1aa4b_242x160.png" width="242" height="160" data-attrs="{&quot;src&quot;:&quot;https://substack-post-media.s3.amazonaws.com/public/images/13690e3c-2766-4600-9ad3-0bc3d8a1aa4b_242x160.png&quot;,&quot;srcNoWatermark&quot;:null,&quot;fullscreen&quot;:null,&quot;imageSize&quot;:null,&quot;height&quot;:160,&quot;width&quot;:242,&quot;resizeWidth&quot;:null,&quot;bytes&quot;:122424,&quot;alt&quot;:null,&quot;title&quot;:null,&quot;type&quot;:&quot;image/png&quot;,&quot;href&quot;:null,&quot;belowTheFold&quot;:true,&quot;topImage&quot;:false,&quot;internalRedirect&quot;:&quot;https://www.precisionnewsletter.com/i/158996033?img=https%3A%2F%2Fsubstack-post-media.s3.amazonaws.com%2Fpublic%2Fimages%2F13690e3c-2766-4600-9ad3-0bc3d8a1aa4b_242x160.png&quot;,&quot;isProcessing&quot;:false,&quot;align&quot;:null,&quot;offset&quot;:false}" class="sizing-normal" alt="" srcset="https://substackcdn.com/image/fetch/$s_!KuH6!,w_424,c_limit,f_auto,q_auto:good,fl_progressive:steep/https%3A%2F%2Fsubstack-post-media.s3.amazonaws.com%2Fpublic%2Fimages%2F13690e3c-2766-4600-9ad3-0bc3d8a1aa4b_242x160.png 424w, https://substackcdn.com/image/fetch/$s_!KuH6!,w_848,c_limit,f_auto,q_auto:good,fl_progressive:steep/https%3A%2F%2Fsubstack-post-media.s3.amazonaws.com%2Fpublic%2Fimages%2F13690e3c-2766-4600-9ad3-0bc3d8a1aa4b_242x160.png 848w, https://substackcdn.com/image/fetch/$s_!KuH6!,w_1272,c_limit,f_auto,q_auto:good,fl_progressive:steep/https%3A%2F%2Fsubstack-post-media.s3.amazonaws.com%2Fpublic%2Fimages%2F13690e3c-2766-4600-9ad3-0bc3d8a1aa4b_242x160.png 1272w, https://substackcdn.com/image/fetch/$s_!KuH6!,w_1456,c_limit,f_auto,q_auto:good,fl_progressive:steep/https%3A%2F%2Fsubstack-post-media.s3.amazonaws.com%2Fpublic%2Fimages%2F13690e3c-2766-4600-9ad3-0bc3d8a1aa4b_242x160.png 1456w" sizes="100vw" loading="lazy"></picture><div></div></div></a><figcaption class="image-caption"><em>Figure 6: Galvanic Corrosion on Heat Exchangers</em></figcaption></figure></div></li></ol><p><strong>The Impact of Corrosion on Electric Heat Tracing Systems</strong></p><p>Electric heat tracing systems maintain or raise the temperature of pipes, vessels, and equipment in industrial environments. However, if not constructed from corrosion-resistant materials, they are vulnerable to damage.</p><p><strong>What Happens Without Corrosion Resistance?</strong></p><p>Non-corrosion-resistant heat tracing systems are vulnerable to environmental factors like moisture, chemicals, and temperature fluctuations. Over time, this leads to:</p><ul><li><p><strong>Material Degradation</strong>: The metal in heating cables corrodes, weakening the structure.</p></li><li><p><strong>Reduced Efficiency</strong>: Corrosion affects thermal conductivity, reducing heat transfer efficiency.</p></li><li><p><strong>System Failures</strong>: Advanced corrosion can cause electrical short circuits, breakages, or complete system failure.</p><div class="captioned-image-container"><figure><a class="image-link image2" target="_blank" href="https://substackcdn.com/image/fetch/$s_!sW9f!,f_auto,q_auto:good,fl_progressive:steep/https%3A%2F%2Fsubstack-post-media.s3.amazonaws.com%2Fpublic%2Fimages%2F255c63d3-b7e5-442b-b8eb-623bd5e14174_263x131.png" data-component-name="Image2ToDOM"><div class="image2-inset"><picture><source type="image/webp" srcset="https://substackcdn.com/image/fetch/$s_!sW9f!,w_424,c_limit,f_webp,q_auto:good,fl_progressive:steep/https%3A%2F%2Fsubstack-post-media.s3.amazonaws.com%2Fpublic%2Fimages%2F255c63d3-b7e5-442b-b8eb-623bd5e14174_263x131.png 424w, https://substackcdn.com/image/fetch/$s_!sW9f!,w_848,c_limit,f_webp,q_auto:good,fl_progressive:steep/https%3A%2F%2Fsubstack-post-media.s3.amazonaws.com%2Fpublic%2Fimages%2F255c63d3-b7e5-442b-b8eb-623bd5e14174_263x131.png 848w, https://substackcdn.com/image/fetch/$s_!sW9f!,w_1272,c_limit,f_webp,q_auto:good,fl_progressive:steep/https%3A%2F%2Fsubstack-post-media.s3.amazonaws.com%2Fpublic%2Fimages%2F255c63d3-b7e5-442b-b8eb-623bd5e14174_263x131.png 1272w, https://substackcdn.com/image/fetch/$s_!sW9f!,w_1456,c_limit,f_webp,q_auto:good,fl_progressive:steep/https%3A%2F%2Fsubstack-post-media.s3.amazonaws.com%2Fpublic%2Fimages%2F255c63d3-b7e5-442b-b8eb-623bd5e14174_263x131.png 1456w" sizes="100vw"><img src="https://substackcdn.com/image/fetch/$s_!sW9f!,w_1456,c_limit,f_auto,q_auto:good,fl_progressive:steep/https%3A%2F%2Fsubstack-post-media.s3.amazonaws.com%2Fpublic%2Fimages%2F255c63d3-b7e5-442b-b8eb-623bd5e14174_263x131.png" width="263" height="131" data-attrs="{&quot;src&quot;:&quot;https://substack-post-media.s3.amazonaws.com/public/images/255c63d3-b7e5-442b-b8eb-623bd5e14174_263x131.png&quot;,&quot;srcNoWatermark&quot;:null,&quot;fullscreen&quot;:null,&quot;imageSize&quot;:null,&quot;height&quot;:131,&quot;width&quot;:263,&quot;resizeWidth&quot;:null,&quot;bytes&quot;:106568,&quot;alt&quot;:null,&quot;title&quot;:null,&quot;type&quot;:&quot;image/png&quot;,&quot;href&quot;:null,&quot;belowTheFold&quot;:true,&quot;topImage&quot;:false,&quot;internalRedirect&quot;:&quot;https://www.precisionnewsletter.com/i/158996033?img=https%3A%2F%2Fsubstack-post-media.s3.amazonaws.com%2Fpublic%2Fimages%2F255c63d3-b7e5-442b-b8eb-623bd5e14174_263x131.png&quot;,&quot;isProcessing&quot;:false,&quot;align&quot;:null,&quot;offset&quot;:false}" class="sizing-normal" alt="" srcset="https://substackcdn.com/image/fetch/$s_!sW9f!,w_424,c_limit,f_auto,q_auto:good,fl_progressive:steep/https%3A%2F%2Fsubstack-post-media.s3.amazonaws.com%2Fpublic%2Fimages%2F255c63d3-b7e5-442b-b8eb-623bd5e14174_263x131.png 424w, https://substackcdn.com/image/fetch/$s_!sW9f!,w_848,c_limit,f_auto,q_auto:good,fl_progressive:steep/https%3A%2F%2Fsubstack-post-media.s3.amazonaws.com%2Fpublic%2Fimages%2F255c63d3-b7e5-442b-b8eb-623bd5e14174_263x131.png 848w, https://substackcdn.com/image/fetch/$s_!sW9f!,w_1272,c_limit,f_auto,q_auto:good,fl_progressive:steep/https%3A%2F%2Fsubstack-post-media.s3.amazonaws.com%2Fpublic%2Fimages%2F255c63d3-b7e5-442b-b8eb-623bd5e14174_263x131.png 1272w, https://substackcdn.com/image/fetch/$s_!sW9f!,w_1456,c_limit,f_auto,q_auto:good,fl_progressive:steep/https%3A%2F%2Fsubstack-post-media.s3.amazonaws.com%2Fpublic%2Fimages%2F255c63d3-b7e5-442b-b8eb-623bd5e14174_263x131.png 1456w" sizes="100vw" loading="lazy"></picture><div></div></div></a><figcaption class="image-caption"><em>Figure 7: Corroded Cable</em></figcaption></figure></div><div class="captioned-image-container"><figure><a class="image-link image2" target="_blank" href="https://substackcdn.com/image/fetch/$s_!O7PR!,f_auto,q_auto:good,fl_progressive:steep/https%3A%2F%2Fsubstack-post-media.s3.amazonaws.com%2Fpublic%2Fimages%2F515fa25f-3c2e-4d26-9bba-581a1a779c01_274x141.png" data-component-name="Image2ToDOM"><div class="image2-inset"><picture><source type="image/webp" srcset="https://substackcdn.com/image/fetch/$s_!O7PR!,w_424,c_limit,f_webp,q_auto:good,fl_progressive:steep/https%3A%2F%2Fsubstack-post-media.s3.amazonaws.com%2Fpublic%2Fimages%2F515fa25f-3c2e-4d26-9bba-581a1a779c01_274x141.png 424w, https://substackcdn.com/image/fetch/$s_!O7PR!,w_848,c_limit,f_webp,q_auto:good,fl_progressive:steep/https%3A%2F%2Fsubstack-post-media.s3.amazonaws.com%2Fpublic%2Fimages%2F515fa25f-3c2e-4d26-9bba-581a1a779c01_274x141.png 848w, https://substackcdn.com/image/fetch/$s_!O7PR!,w_1272,c_limit,f_webp,q_auto:good,fl_progressive:steep/https%3A%2F%2Fsubstack-post-media.s3.amazonaws.com%2Fpublic%2Fimages%2F515fa25f-3c2e-4d26-9bba-581a1a779c01_274x141.png 1272w, https://substackcdn.com/image/fetch/$s_!O7PR!,w_1456,c_limit,f_webp,q_auto:good,fl_progressive:steep/https%3A%2F%2Fsubstack-post-media.s3.amazonaws.com%2Fpublic%2Fimages%2F515fa25f-3c2e-4d26-9bba-581a1a779c01_274x141.png 1456w" sizes="100vw"><img src="https://substackcdn.com/image/fetch/$s_!O7PR!,w_1456,c_limit,f_auto,q_auto:good,fl_progressive:steep/https%3A%2F%2Fsubstack-post-media.s3.amazonaws.com%2Fpublic%2Fimages%2F515fa25f-3c2e-4d26-9bba-581a1a779c01_274x141.png" width="274" height="141" data-attrs="{&quot;src&quot;:&quot;https://substack-post-media.s3.amazonaws.com/public/images/515fa25f-3c2e-4d26-9bba-581a1a779c01_274x141.png&quot;,&quot;srcNoWatermark&quot;:null,&quot;fullscreen&quot;:null,&quot;imageSize&quot;:null,&quot;height&quot;:141,&quot;width&quot;:274,&quot;resizeWidth&quot;:null,&quot;bytes&quot;:63153,&quot;alt&quot;:null,&quot;title&quot;:null,&quot;type&quot;:&quot;image/png&quot;,&quot;href&quot;:null,&quot;belowTheFold&quot;:true,&quot;topImage&quot;:false,&quot;internalRedirect&quot;:&quot;https://www.precisionnewsletter.com/i/158996033?img=https%3A%2F%2Fsubstack-post-media.s3.amazonaws.com%2Fpublic%2Fimages%2F515fa25f-3c2e-4d26-9bba-581a1a779c01_274x141.png&quot;,&quot;isProcessing&quot;:false,&quot;align&quot;:null,&quot;offset&quot;:false}" class="sizing-normal" alt="" srcset="https://substackcdn.com/image/fetch/$s_!O7PR!,w_424,c_limit,f_auto,q_auto:good,fl_progressive:steep/https%3A%2F%2Fsubstack-post-media.s3.amazonaws.com%2Fpublic%2Fimages%2F515fa25f-3c2e-4d26-9bba-581a1a779c01_274x141.png 424w, https://substackcdn.com/image/fetch/$s_!O7PR!,w_848,c_limit,f_auto,q_auto:good,fl_progressive:steep/https%3A%2F%2Fsubstack-post-media.s3.amazonaws.com%2Fpublic%2Fimages%2F515fa25f-3c2e-4d26-9bba-581a1a779c01_274x141.png 848w, https://substackcdn.com/image/fetch/$s_!O7PR!,w_1272,c_limit,f_auto,q_auto:good,fl_progressive:steep/https%3A%2F%2Fsubstack-post-media.s3.amazonaws.com%2Fpublic%2Fimages%2F515fa25f-3c2e-4d26-9bba-581a1a779c01_274x141.png 1272w, https://substackcdn.com/image/fetch/$s_!O7PR!,w_1456,c_limit,f_auto,q_auto:good,fl_progressive:steep/https%3A%2F%2Fsubstack-post-media.s3.amazonaws.com%2Fpublic%2Fimages%2F515fa25f-3c2e-4d26-9bba-581a1a779c01_274x141.png 1456w" sizes="100vw" loading="lazy"></picture><div></div></div></a><figcaption class="image-caption"><em>Figure 7: Corroded Cable</em></figcaption></figure></div></li></ul><h4>When heating elements corrode, several critical issues arise:</h4><ol><li><p><strong>Thermal Conductivity Loss</strong>: Corroded heating elements develop layers of oxides and other compounds on their surface. These layers act as insulators, reducing the ability of the heating element to transfer heat effectively. This inefficiency leads to uneven heating or insufficient temperature maintenance.</p></li><li><p><strong>Structural Weakness</strong>: Corrosion eats away at the metal, leading to thinning and weakening of the heating element. Over time, this structural degradation can cause breakages, exposing electrical components and creating safety hazards.</p></li><li><p><strong>Electrical Failures</strong>: Corrosion can compromise the insulation of heating cables. When moisture or corrosive agents penetrate the insulation, it leads to short circuits and potential fire risks.</p></li><li><p><strong>Increased Downtime and Maintenance</strong>: Systems with corroded components require frequent repairs or replacements, leading to operational disruptions and higher maintenance costs.</p></li></ol><p>For instance, in a marine environment, chloride ions from saltwater accelerate the corrosion process, leading to pitting and structural damage. In chemical processing plants, exposure to acids or alkalis can result in rapid material degradation. The lack of corrosion resistance compromises both safety and performance, leading to frequent replacements and increased operational costs.</p><h4><strong>The Solution: Mineral-Insulated (MI) Cables with Corrosion-Resistant Materials</strong></h4><p>To combat corrosion challenges in heat tracing systems, the use of mineral-insulated (MI) cables with corrosion-resistant alloys has become essential. These cables are designed to withstand harsh industrial conditions, providing durability and efficiency.</p><h4><strong>What Are Corrosion-Resistant Alloys?</strong></h4><p>Corrosion-resistant alloys (CRAs) are specialized metallic materials engineered to withstand degradation caused by environmental factors such as oxidation, moisture, and chemical exposure. Their unique chemistry includes elements that impart exceptional resistance to corrosive processes, making them essential in environments where standard materials would fail.</p><h4>The key to the effectiveness of CRAs lies in their chemical composition:</h4><ol><li><p><strong>Chromium (Cr)</strong>: A vital component, chromium forms a thin, stable oxide layer (chromium oxide) on the surface of the alloy. This passive layer acts as a barrier, preventing further oxidation and corrosion.</p></li><li><p><strong>Nickel (Ni)</strong>: Enhances the alloy&#8217;s resistance to chemical attack, especially in acidic environments, and improves ductility and toughness.</p></li><li><p><strong>Molybdenum (Mo)</strong>: Provides resistance to pitting and crevice corrosion, particularly in chloride-rich environments.</p></li><li><p><strong>Titanium (Ti) and Niobium (Nb)</strong>: Stabilize the alloy structure, reducing the risk of intergranular corrosion.</p></li><li><p><strong>Iron (Fe)</strong>: Forms the base metal in many CRAs, providing strength and durability.</p></li></ol><p>CRAs are indispensable in industrial applications where harsh conditions prevail. Their importance stems from the following factors:</p><ul><li><p><strong>Resistance to Degradation</strong>: In aggressive environments, such as those containing salts, acids, or high humidity, standard materials corrode rapidly. CRAs maintain their integrity, ensuring reliable operation.</p></li><li><p><strong>Longevity and Cost Efficiency</strong>: The use of CRAs reduces the frequency of replacements and maintenance, leading to significant cost savings over the lifespan of equipment.</p></li><li><p><strong>Safety</strong>: Corroded materials can lead to catastrophic failures in critical systems, posing risks to personnel and operations. CRAs mitigate such hazards.</p></li><li><p><strong>Efficiency in Heat Tracing Systems</strong>: Corrosion negatively impacts the thermal conductivity and structural integrity of materials. CRAs ensure consistent heat transfer and system performance.</p></li></ul><h4><strong>Types of Corrosion-Resistant Alloys Used in MI Heating Cables</strong></h4><p>The electric heat tracing industry relies on a variety of corrosion-resistant alloys to ensure the durability and efficiency of heating cables. Each alloy is chosen based on its unique properties and the specific environmental conditions it can withstand. Here are the most used alloys and why they are preferred:</p><h4><strong>Stainless Steel Alloys (304, 316, and 321)</strong></h4><ul><li><p><strong>Properties</strong>:<br>Stainless steel alloys, especially 316, have high chromium (18-20%) and nickel (8-12%) content, with molybdenum (2-3%) added to enhance resistance against chloride-induced pitting and crevice corrosion.</p></li><li><p><strong>Applications in Heat Tracing</strong>:<br>These alloys are effective in environments with moderate exposure to moisture, mild chemicals, and salts, such as food processing plants and water treatment facilities.</p><ul><li><p><strong>Corrosion Resistance Factor</strong>: Stainless steel braided layers protect against uniform corrosion and chloride pitting. The molybdenum content in the alloy ensures resistance to localized corrosion in moderately salty or wet environments.</p></li><li><p><strong>Corrosive Conditions</strong>: Used in environments prone to condensation, wet pipe insulation, or minor salt contamination, such as water processing pipelines. The stainless-steel braid ensures mechanical durability while preventing material degradation.</p></li></ul></li></ul><h4><strong>Inconel Alloys (Inconel 600, 625)</strong></h4><ul><li><p><strong>Properties</strong>:<br>Composed mainly of nickel with chromium and iron, Inconel alloys offer excellent resistance to oxidation, high-temperature corrosion, and chloride-induced stress corrosion cracking (SCC).</p></li><li><p><strong>Applications in Heat Tracing</strong>:<br>Inconel alloys are preferred for high-temperature environments, such as oil refineries, chemical processing plants, and offshore platforms exposed to aggressive chemicals.</p><ul><li><p><strong>Corrosion Resistance Factor</strong>: Inconel&#8217;s high nickel content resists chloride SCC and oxidation at elevated temperatures (up to 1000&#176;C).</p></li><li><p><strong>Corrosive Conditions</strong>: Used in conditions where hot piping systems face exposure to chloride-rich atmospheres or sulfur-based chemicals, such as in oil and gas refineries. Inconel components ensure sustained performance despite aggressive chemical vapors and high thermal stress.</p></li></ul></li></ul><h4><strong>Monel Alloys (Monel 400, 500)</strong></h4><ul><li><p><strong>Properties</strong>:<br>Monel is a nickel-copper alloy with excellent resistance to seawater, hydrofluoric acid, and sulfuric acid. Its high ductility ensures resistance to stress corrosion cracking under mechanical stress.</p></li><li><p><strong>Applications in Heat Tracing</strong>:<br>Ideal for marine applications, offshore platforms, and storage tanks exposed to acidic or saline environments.</p><ul><li><p><strong>Corrosion Resistance Factor</strong>: Monel&#8217;s unique combination of nickel and copper ensures superior resistance to seawater corrosion and acidic environments.</p></li><li><p><strong>Corrosive Conditions</strong>: Applied in offshore platforms with high exposure to saline spray, moisture ingress, and acidic by-products from petrochemical processes. The alloy&#8217;s stress corrosion cracking resistance ensures durability under fluctuating mechanical loads.</p></li></ul></li></ul><h4><strong>Hastelloy Alloys (C-22, C-276)</strong></h4><ul><li><p><strong>Properties</strong>:<br>Hastelloy alloys, with high molybdenum and chromium content, exhibit superior resistance to pitting, crevice corrosion, and oxidation. They maintain structural integrity under high stress and extreme temperatures.</p></li><li><p><strong>Applications in Heat Tracing</strong>:<br>Commonly used in chemical processing facilities handling aggressive agents like hydrochloric acid and sulfuric acid.</p><ul><li><p><strong>Corrosion Resistance Factor</strong>: Hastelloy&#8217;s molybdenum provides exceptional pitting resistance, while chromium ensures protection against oxidizing agents.</p></li><li><p><strong>Corrosive Conditions</strong>: Suitable for environments where heating systems encounter concentrated acidic vapors, such as chemical reactors or acid storage pipelines. The alloy prevents crevice corrosion under insulation or joints, ensuring operational reliability.</p></li></ul></li></ul><h4><strong>Titanium Alloys</strong></h4><ul><li><p><strong>Properties</strong>:<br>Titanium is known for its outstanding resistance to chloride-induced corrosion, particularly in seawater, and its lightweight, high-strength nature makes it ideal for specialized applications.</p></li><li><p><strong>Applications in Heat Tracing</strong>:<br>Primarily used in desalination plants, marine structures, and highly corrosive chloride environments.</p><ul><li><p><strong>Corrosion Resistance Factor</strong>: Titanium components resist chloride ion attack, even in highly saline or brackish water environments.</p></li><li><p><strong>Corrosive Conditions</strong>: Installed in coastal or offshore locations with constant exposure to seawater and salt-laden air. Titanium ensures long-term reliability and resistance to uniform and pitting corrosion, even under extreme saline exposure.</p></li></ul></li></ul><h4><strong>Maximizing Performance: MI Heating Cables for Corrosive Environments</strong></h4><h4><strong>1. Alloy 825 Sheathed Mineral-Insulated (MI) Heating Cable</strong></h4><ul><li><p><strong>Why Corrosion Resistant</strong>: This cable&#8217;s sheath is made from Alloy 825, a nickel-iron-chromium alloy with molybdenum and copper. The molybdenum enhances resistance to pitting and crevice corrosion, while the chromium forms a protective oxide layer that guards against oxidation.</p></li><li><p><strong>Corrosion Resistance Significance</strong>: This cable is exceptionally resistant to chloride-induced stress corrosion cracking and acidic environments, making it suitable for offshore oil rigs and chemical plants.</p></li><li><p><strong>Example Usage</strong>: Successfully deployed in offshore oil platforms to prevent frost and ensure flow assurance in pipelines exposed to chloride-rich seawater. The Alloy 825 sheath provides long-term durability under constant exposure to harsh marine conditions.</p></li></ul><div class="captioned-image-container"><figure><a class="image-link image2" target="_blank" href="https://substackcdn.com/image/fetch/$s_!_gMx!,f_auto,q_auto:good,fl_progressive:steep/https%3A%2F%2Fsubstack-post-media.s3.amazonaws.com%2Fpublic%2Fimages%2Fdd555eb5-af34-4863-9361-15988f509b27_269x225.png" data-component-name="Image2ToDOM"><div class="image2-inset"><picture><source type="image/webp" srcset="https://substackcdn.com/image/fetch/$s_!_gMx!,w_424,c_limit,f_webp,q_auto:good,fl_progressive:steep/https%3A%2F%2Fsubstack-post-media.s3.amazonaws.com%2Fpublic%2Fimages%2Fdd555eb5-af34-4863-9361-15988f509b27_269x225.png 424w, https://substackcdn.com/image/fetch/$s_!_gMx!,w_848,c_limit,f_webp,q_auto:good,fl_progressive:steep/https%3A%2F%2Fsubstack-post-media.s3.amazonaws.com%2Fpublic%2Fimages%2Fdd555eb5-af34-4863-9361-15988f509b27_269x225.png 848w, https://substackcdn.com/image/fetch/$s_!_gMx!,w_1272,c_limit,f_webp,q_auto:good,fl_progressive:steep/https%3A%2F%2Fsubstack-post-media.s3.amazonaws.com%2Fpublic%2Fimages%2Fdd555eb5-af34-4863-9361-15988f509b27_269x225.png 1272w, https://substackcdn.com/image/fetch/$s_!_gMx!,w_1456,c_limit,f_webp,q_auto:good,fl_progressive:steep/https%3A%2F%2Fsubstack-post-media.s3.amazonaws.com%2Fpublic%2Fimages%2Fdd555eb5-af34-4863-9361-15988f509b27_269x225.png 1456w" sizes="100vw"><img src="https://substackcdn.com/image/fetch/$s_!_gMx!,w_1456,c_limit,f_auto,q_auto:good,fl_progressive:steep/https%3A%2F%2Fsubstack-post-media.s3.amazonaws.com%2Fpublic%2Fimages%2Fdd555eb5-af34-4863-9361-15988f509b27_269x225.png" width="269" height="225" data-attrs="{&quot;src&quot;:&quot;https://substack-post-media.s3.amazonaws.com/public/images/dd555eb5-af34-4863-9361-15988f509b27_269x225.png&quot;,&quot;srcNoWatermark&quot;:null,&quot;fullscreen&quot;:null,&quot;imageSize&quot;:null,&quot;height&quot;:225,&quot;width&quot;:269,&quot;resizeWidth&quot;:null,&quot;bytes&quot;:12278,&quot;alt&quot;:null,&quot;title&quot;:null,&quot;type&quot;:&quot;image/png&quot;,&quot;href&quot;:null,&quot;belowTheFold&quot;:true,&quot;topImage&quot;:false,&quot;internalRedirect&quot;:&quot;https://www.precisionnewsletter.com/i/158996033?img=https%3A%2F%2Fsubstack-post-media.s3.amazonaws.com%2Fpublic%2Fimages%2Fdd555eb5-af34-4863-9361-15988f509b27_269x225.png&quot;,&quot;isProcessing&quot;:false,&quot;align&quot;:null,&quot;offset&quot;:false}" class="sizing-normal" alt="" srcset="https://substackcdn.com/image/fetch/$s_!_gMx!,w_424,c_limit,f_auto,q_auto:good,fl_progressive:steep/https%3A%2F%2Fsubstack-post-media.s3.amazonaws.com%2Fpublic%2Fimages%2Fdd555eb5-af34-4863-9361-15988f509b27_269x225.png 424w, https://substackcdn.com/image/fetch/$s_!_gMx!,w_848,c_limit,f_auto,q_auto:good,fl_progressive:steep/https%3A%2F%2Fsubstack-post-media.s3.amazonaws.com%2Fpublic%2Fimages%2Fdd555eb5-af34-4863-9361-15988f509b27_269x225.png 848w, https://substackcdn.com/image/fetch/$s_!_gMx!,w_1272,c_limit,f_auto,q_auto:good,fl_progressive:steep/https%3A%2F%2Fsubstack-post-media.s3.amazonaws.com%2Fpublic%2Fimages%2Fdd555eb5-af34-4863-9361-15988f509b27_269x225.png 1272w, https://substackcdn.com/image/fetch/$s_!_gMx!,w_1456,c_limit,f_auto,q_auto:good,fl_progressive:steep/https%3A%2F%2Fsubstack-post-media.s3.amazonaws.com%2Fpublic%2Fimages%2Fdd555eb5-af34-4863-9361-15988f509b27_269x225.png 1456w" sizes="100vw" loading="lazy"></picture><div></div></div></a><figcaption class="image-caption"><em>Figure 9:</em><strong> </strong><em>Alloy 825 Sheathed Mineral-Insulated (MI) Heating Cable</em></figcaption></figure></div><h4><strong>2. Inconel 625 Sheathed Mineral-Insulated (MI) Heating Cable</strong></h4><ul><li><p><strong>Why Corrosion Resistant</strong>: This cable utilizes Inconel 625, a nickel-based alloy with high chromium and molybdenum content. The alloy is highly resistant to oxidation, stress corrosion cracking, and pitting in chloride-laden environments.</p></li><li><p><strong>Corrosion Resistance Significance</strong>: It performs exceptionally well in environments with fluctuating temperatures and aggressive chemicals. The high nickel content ensures structural integrity even at elevated temperatures.</p></li><li><p><strong>Example Usage</strong>: Used in chemical processing facilities to maintain the temperature of pipelines carrying aggressive acids, ensuring reliable operation despite exposure to highly corrosive agents.</p></li></ul><div class="captioned-image-container"><figure><a class="image-link image2" target="_blank" href="https://substackcdn.com/image/fetch/$s_!RPE2!,f_auto,q_auto:good,fl_progressive:steep/https%3A%2F%2Fsubstack-post-media.s3.amazonaws.com%2Fpublic%2Fimages%2Ff2d1b462-3b91-429e-9f49-4d8b967294ed_269x209.png" data-component-name="Image2ToDOM"><div class="image2-inset"><picture><source type="image/webp" srcset="https://substackcdn.com/image/fetch/$s_!RPE2!,w_424,c_limit,f_webp,q_auto:good,fl_progressive:steep/https%3A%2F%2Fsubstack-post-media.s3.amazonaws.com%2Fpublic%2Fimages%2Ff2d1b462-3b91-429e-9f49-4d8b967294ed_269x209.png 424w, https://substackcdn.com/image/fetch/$s_!RPE2!,w_848,c_limit,f_webp,q_auto:good,fl_progressive:steep/https%3A%2F%2Fsubstack-post-media.s3.amazonaws.com%2Fpublic%2Fimages%2Ff2d1b462-3b91-429e-9f49-4d8b967294ed_269x209.png 848w, https://substackcdn.com/image/fetch/$s_!RPE2!,w_1272,c_limit,f_webp,q_auto:good,fl_progressive:steep/https%3A%2F%2Fsubstack-post-media.s3.amazonaws.com%2Fpublic%2Fimages%2Ff2d1b462-3b91-429e-9f49-4d8b967294ed_269x209.png 1272w, https://substackcdn.com/image/fetch/$s_!RPE2!,w_1456,c_limit,f_webp,q_auto:good,fl_progressive:steep/https%3A%2F%2Fsubstack-post-media.s3.amazonaws.com%2Fpublic%2Fimages%2Ff2d1b462-3b91-429e-9f49-4d8b967294ed_269x209.png 1456w" sizes="100vw"><img src="https://substackcdn.com/image/fetch/$s_!RPE2!,w_1456,c_limit,f_auto,q_auto:good,fl_progressive:steep/https%3A%2F%2Fsubstack-post-media.s3.amazonaws.com%2Fpublic%2Fimages%2Ff2d1b462-3b91-429e-9f49-4d8b967294ed_269x209.png" width="269" height="209" data-attrs="{&quot;src&quot;:&quot;https://substack-post-media.s3.amazonaws.com/public/images/f2d1b462-3b91-429e-9f49-4d8b967294ed_269x209.png&quot;,&quot;srcNoWatermark&quot;:null,&quot;fullscreen&quot;:null,&quot;imageSize&quot;:null,&quot;height&quot;:209,&quot;width&quot;:269,&quot;resizeWidth&quot;:null,&quot;bytes&quot;:6296,&quot;alt&quot;:null,&quot;title&quot;:null,&quot;type&quot;:&quot;image/png&quot;,&quot;href&quot;:null,&quot;belowTheFold&quot;:true,&quot;topImage&quot;:false,&quot;internalRedirect&quot;:&quot;https://www.precisionnewsletter.com/i/158996033?img=https%3A%2F%2Fsubstack-post-media.s3.amazonaws.com%2Fpublic%2Fimages%2Ff2d1b462-3b91-429e-9f49-4d8b967294ed_269x209.png&quot;,&quot;isProcessing&quot;:false,&quot;align&quot;:null,&quot;offset&quot;:false}" class="sizing-normal" alt="" srcset="https://substackcdn.com/image/fetch/$s_!RPE2!,w_424,c_limit,f_auto,q_auto:good,fl_progressive:steep/https%3A%2F%2Fsubstack-post-media.s3.amazonaws.com%2Fpublic%2Fimages%2Ff2d1b462-3b91-429e-9f49-4d8b967294ed_269x209.png 424w, https://substackcdn.com/image/fetch/$s_!RPE2!,w_848,c_limit,f_auto,q_auto:good,fl_progressive:steep/https%3A%2F%2Fsubstack-post-media.s3.amazonaws.com%2Fpublic%2Fimages%2Ff2d1b462-3b91-429e-9f49-4d8b967294ed_269x209.png 848w, https://substackcdn.com/image/fetch/$s_!RPE2!,w_1272,c_limit,f_auto,q_auto:good,fl_progressive:steep/https%3A%2F%2Fsubstack-post-media.s3.amazonaws.com%2Fpublic%2Fimages%2Ff2d1b462-3b91-429e-9f49-4d8b967294ed_269x209.png 1272w, https://substackcdn.com/image/fetch/$s_!RPE2!,w_1456,c_limit,f_auto,q_auto:good,fl_progressive:steep/https%3A%2F%2Fsubstack-post-media.s3.amazonaws.com%2Fpublic%2Fimages%2Ff2d1b462-3b91-429e-9f49-4d8b967294ed_269x209.png 1456w" sizes="100vw" loading="lazy"></picture><div></div></div></a><figcaption class="image-caption"><em>Figure 10: Inconel 625 Sheathed Mineral-Insulated (MI) Heating Cable</em></figcaption></figure></div><p>These examples highlight how the choice of corrosion-resistant alloys directly influences the durability, efficiency, and safety of electric heat tracing systems in challenging industrial environments. The use of advanced materials like Alloy 825 and Inconel 625 ensures these systems can withstand extreme conditions while maintaining consistent performance in offshore oil platforms to prevent frost formation and maintain flow assurance in pipelines exposed to chloride-rich seawater. The Alloy 825 sheath provides long-term durability under these harsh marine conditions, ensuring uninterrupted operation.</p><h4><strong>Comparison of Corrosion Resistant Alloys used in MI cables</strong></h4><div class="captioned-image-container"><figure><a class="image-link image2 is-viewable-img" target="_blank" href="https://substackcdn.com/image/fetch/$s_!I_SH!,f_auto,q_auto:good,fl_progressive:steep/https%3A%2F%2Fsubstack-post-media.s3.amazonaws.com%2Fpublic%2Fimages%2F83afd032-aaac-471b-bd6a-8ff55b1177f4_641x244.png" data-component-name="Image2ToDOM"><div class="image2-inset"><picture><source type="image/webp" srcset="https://substackcdn.com/image/fetch/$s_!I_SH!,w_424,c_limit,f_webp,q_auto:good,fl_progressive:steep/https%3A%2F%2Fsubstack-post-media.s3.amazonaws.com%2Fpublic%2Fimages%2F83afd032-aaac-471b-bd6a-8ff55b1177f4_641x244.png 424w, https://substackcdn.com/image/fetch/$s_!I_SH!,w_848,c_limit,f_webp,q_auto:good,fl_progressive:steep/https%3A%2F%2Fsubstack-post-media.s3.amazonaws.com%2Fpublic%2Fimages%2F83afd032-aaac-471b-bd6a-8ff55b1177f4_641x244.png 848w, https://substackcdn.com/image/fetch/$s_!I_SH!,w_1272,c_limit,f_webp,q_auto:good,fl_progressive:steep/https%3A%2F%2Fsubstack-post-media.s3.amazonaws.com%2Fpublic%2Fimages%2F83afd032-aaac-471b-bd6a-8ff55b1177f4_641x244.png 1272w, https://substackcdn.com/image/fetch/$s_!I_SH!,w_1456,c_limit,f_webp,q_auto:good,fl_progressive:steep/https%3A%2F%2Fsubstack-post-media.s3.amazonaws.com%2Fpublic%2Fimages%2F83afd032-aaac-471b-bd6a-8ff55b1177f4_641x244.png 1456w" sizes="100vw"><img src="https://substackcdn.com/image/fetch/$s_!I_SH!,w_1456,c_limit,f_auto,q_auto:good,fl_progressive:steep/https%3A%2F%2Fsubstack-post-media.s3.amazonaws.com%2Fpublic%2Fimages%2F83afd032-aaac-471b-bd6a-8ff55b1177f4_641x244.png" width="641" height="244" data-attrs="{&quot;src&quot;:&quot;https://substack-post-media.s3.amazonaws.com/public/images/83afd032-aaac-471b-bd6a-8ff55b1177f4_641x244.png&quot;,&quot;srcNoWatermark&quot;:null,&quot;fullscreen&quot;:null,&quot;imageSize&quot;:null,&quot;height&quot;:244,&quot;width&quot;:641,&quot;resizeWidth&quot;:null,&quot;bytes&quot;:37850,&quot;alt&quot;:null,&quot;title&quot;:null,&quot;type&quot;:&quot;image/png&quot;,&quot;href&quot;:null,&quot;belowTheFold&quot;:true,&quot;topImage&quot;:false,&quot;internalRedirect&quot;:&quot;https://www.precisionnewsletter.com/i/158996033?img=https%3A%2F%2Fsubstack-post-media.s3.amazonaws.com%2Fpublic%2Fimages%2F83afd032-aaac-471b-bd6a-8ff55b1177f4_641x244.png&quot;,&quot;isProcessing&quot;:false,&quot;align&quot;:null,&quot;offset&quot;:false}" class="sizing-normal" alt="" srcset="https://substackcdn.com/image/fetch/$s_!I_SH!,w_424,c_limit,f_auto,q_auto:good,fl_progressive:steep/https%3A%2F%2Fsubstack-post-media.s3.amazonaws.com%2Fpublic%2Fimages%2F83afd032-aaac-471b-bd6a-8ff55b1177f4_641x244.png 424w, https://substackcdn.com/image/fetch/$s_!I_SH!,w_848,c_limit,f_auto,q_auto:good,fl_progressive:steep/https%3A%2F%2Fsubstack-post-media.s3.amazonaws.com%2Fpublic%2Fimages%2F83afd032-aaac-471b-bd6a-8ff55b1177f4_641x244.png 848w, https://substackcdn.com/image/fetch/$s_!I_SH!,w_1272,c_limit,f_auto,q_auto:good,fl_progressive:steep/https%3A%2F%2Fsubstack-post-media.s3.amazonaws.com%2Fpublic%2Fimages%2F83afd032-aaac-471b-bd6a-8ff55b1177f4_641x244.png 1272w, https://substackcdn.com/image/fetch/$s_!I_SH!,w_1456,c_limit,f_auto,q_auto:good,fl_progressive:steep/https%3A%2F%2Fsubstack-post-media.s3.amazonaws.com%2Fpublic%2Fimages%2F83afd032-aaac-471b-bd6a-8ff55b1177f4_641x244.png 1456w" sizes="100vw" loading="lazy"></picture><div class="image-link-expand"><div class="pencraft pc-display-flex pc-gap-8 pc-reset"><button tabindex="0" type="button" class="pencraft pc-reset pencraft icon-container restack-image"><svg role="img" width="20" height="20" viewBox="0 0 20 20" fill="none" stroke-width="1.5" stroke="var(--color-fg-primary)" stroke-linecap="round" stroke-linejoin="round" xmlns="http://www.w3.org/2000/svg"><g><title></title><path d="M2.53001 7.81595C3.49179 4.73911 6.43281 2.5 9.91173 2.5C13.1684 2.5 15.9537 4.46214 17.0852 7.23684L17.6179 8.67647M17.6179 8.67647L18.5002 4.26471M17.6179 8.67647L13.6473 6.91176M17.4995 12.1841C16.5378 15.2609 13.5967 17.5 10.1178 17.5C6.86118 17.5 4.07589 15.5379 2.94432 12.7632L2.41165 11.3235M2.41165 11.3235L1.5293 15.7353M2.41165 11.3235L6.38224 13.0882"></path></g></svg></button><button tabindex="0" type="button" class="pencraft pc-reset pencraft icon-container view-image"><svg xmlns="http://www.w3.org/2000/svg" width="20" height="20" viewBox="0 0 24 24" fill="none" stroke="currentColor" stroke-width="2" stroke-linecap="round" stroke-linejoin="round" class="lucide lucide-maximize2 lucide-maximize-2"><polyline points="15 3 21 3 21 9"></polyline><polyline points="9 21 3 21 3 15"></polyline><line x1="21" x2="14" y1="3" y2="10"></line><line x1="3" x2="10" y1="21" y2="14"></line></svg></button></div></div></div></a></figure></div><div><hr></div><h3><strong>Conclusion</strong></h3><p>The use of corrosion-resistant alloys in electric heat tracing systems is crucial for their longevity, efficiency, and reliability. By leveraging advanced materials like Alloy 825, Inconel 625, and others, manufacturers can ensure that heating cables withstand the harshest environments, from offshore platforms to chemical plants. These alloys not only protect against various forms of corrosion but also optimize the thermal and mechanical performance of heat tracing systems.</p><p>The integration of corrosion-resistant alloys extends the lifespan of heating cables, reduces maintenance costs, and ensures operational safety in critical industrial applications. As industries continue to face increasingly demanding environmental conditions, the role of these specialized alloys in heat tracing systems will remain indispensable, ensuring seamless performance and durability in even the harshest environments.</p><h4>Reference</h4><ol><li><p>Electrical heat tracing with MI cable</p><p><a href="https://eltherm.com/products-and-systems/mi-cable">Link 1</a></p></li><li><p>Materials Applications: Corrosion Resistant Alloys</p><p><a href="https://www.metaltek.com/blog/material-applications-corrosion-resistance/">Link 2</a></p></li><li><p>Monel, Inconel Incoloy, Hastelloy, vs Stainless Steel</p><p><a href="https://www.aeether.com/AEETHER/media/media-82/media.html">Link 3</a></p></li><li><p>RAYCHEM-DS-EU1391-HAX-EN</p><p><a href="https://www.nvent.com/en-om/raychem/products/mi-series-alloy-825-xmi-hax-heating-cable-0">Link 4</a></p></li><li><p>RAYCHEM-DS-EU1392-HIQ-EN</p><p><a href="http://&#8226;&#9;RAYCHEM-DS-EU1392-HIQ-EN">Link 5</a></p></li></ol><div class="subscription-widget-wrap-editor" data-attrs="{&quot;url&quot;:&quot;https://www.precisionnewsletter.com/subscribe?&quot;,&quot;text&quot;:&quot;Subscribe&quot;,&quot;language&quot;:&quot;en&quot;}" data-component-name="SubscribeWidgetToDOM"><div class="subscription-widget show-subscribe"><div class="preamble"><p class="cta-caption">Thanks for reading Precision Newsletter! Subscribe for free to receive new posts and support my work.</p></div><form class="subscription-widget-subscribe"><input type="email" class="email-input" name="email" placeholder="Type your email&#8230;" tabindex="-1"><input type="submit" class="button primary" value="Subscribe"><div class="fake-input-wrapper"><div class="fake-input"></div><div class="fake-button"></div></div></form></div></div>]]></content:encoded></item><item><title><![CDATA[Role of Electrical Insulation Materials in Heating Cables: A Comparative Study of Internal and External Insulation]]></title><description><![CDATA[How can the unseen layers of insulation, delicate yet powerful, shape the safety, efficiency, and longevity of heating cables, ensuring they endure the harshest environments while silently performing]]></description><link>https://www.precisionnewsletter.com/p/role-of-electrical-insulation-materials</link><guid isPermaLink="false">https://www.precisionnewsletter.com/p/role-of-electrical-insulation-materials</guid><dc:creator><![CDATA[Jinwook Jung]]></dc:creator><pubDate>Fri, 04 Apr 2025 10:31:15 GMT</pubDate><enclosure url="https://substack-post-media.s3.amazonaws.com/public/images/efdacec1-a35f-4fca-9cee-15da380f58bb_704x1408.jpeg" length="0" type="image/jpeg"/><content:encoded><![CDATA[<h3><strong>Abstract</strong></h3><p>In the intricate world of heating cables, the insulation materials&#8212;both internal and external&#8212;play a pivotal role in ensuring not only the safe operation of the cables but also their long-term efficiency and reliability. This study delves into the complex dynamics between internal and external insulation, offering a detailed comparison of the materials that govern the core functionality of these cables. From preventing electrical hazards to safeguarding against environmental factors, this exploration reveals how these materials, though seemingly simple, form the backbone of heating cable technology, guaranteeing both safety and sustainability in diverse environments.</p><h4><strong>Introduction</strong></h4><p>Electrical insulation materials serve to electrically isolate the heating element from its surroundings, preventing short circuits and electrical hazards. Additionally, they protect the cables from environmental factors such as moisture, UV radiation, and extreme temperatures, which could compromise performance and safety. By maintaining the integrity of the heating system, electrical insulation materials not only enhance operational efficiency but also contribute to the longevity of the system.</p><div class="subscription-widget-wrap-editor" data-attrs="{&quot;url&quot;:&quot;https://www.precisionnewsletter.com/subscribe?&quot;,&quot;text&quot;:&quot;Subscribe&quot;,&quot;language&quot;:&quot;en&quot;}" data-component-name="SubscribeWidgetToDOM"><div class="subscription-widget show-subscribe"><div class="preamble"><p class="cta-caption">Thanks for reading Precision Newsletter! Subscribe for free to receive new posts and support my work.</p></div><form class="subscription-widget-subscribe"><input type="email" class="email-input" name="email" placeholder="Type your email&#8230;" tabindex="-1"><input type="submit" class="button primary" value="Subscribe"><div class="fake-input-wrapper"><div class="fake-input"></div><div class="fake-button"></div></div></form></div></div><h4><strong>Electrical Insulation Materials</strong></h4><p>The three main insulation materials are <strong>Plastic</strong>, <strong>Rubber</strong>, and <strong>Fluoropolymer.</strong> These materials have <strong>high dielectric strength</strong>, meaning they can withstand the electrical voltage without breaking down. This ensures that the cable can safely carry electrical current to the heating element without causing electrical leakage or failure.</p><p>1. <strong>Plastic insulation materials</strong> are synthetic polymers used to protect electrical cables by preventing electrical leakage and shielding the conductors from environmental factors like moisture, chemicals, and physical damage. These materials offer excellent electrical insulation, durability, and flexibility, with common types including PVC, polyethylene, and PTFE. They are versatile and widely used in residential, commercial, and industrial applications for efficient and safe electrical wiring.</p><p>2. <strong>Rubber insulation materials</strong> are flexible and elastic polymers, often used in applications requiring high flexibility and resistance to environmental factors like moisture, ozone, and UV light. Unlike plastics, which are typically more rigid, rubber provides superior mechanical flexibility, making it ideal for dynamic applications. Compared to fluoropolymers, which offer high temperature and chemical resistance, rubber insulation is more cost-effective and suited for moderate temperature and general-purpose applications like seals and gaskets.</p><p>3. <strong>Fluoropolymer insulation materials</strong> are high-performance polymers that contain fluorine atoms in their molecular structure, providing exceptional resistance to extreme temperatures, chemicals, and environmental factors. Unlike <strong>rubber</strong>, which is more flexible, and <strong>plastic</strong>, which is often rigid, fluoropolymers maintain their strength and electrical insulating properties at temperatures ranging from <strong>-200&#176;C to 260&#176;C</strong> and are resistant to almost all chemicals. This makes them ideal for high-temperature, corrosive, and high-performance applications, such as aerospace, chemical processing, and electrical wiring in harsh environments. Fluoropolymers are more expensive but provide superior durability and reliability in extreme conditions.</p><h4><strong>1. Plastic Insulation Types</strong></h4><p>In electrical heat tracing systems, <strong>plastic insulation materials</strong> provide electrical isolation, ensuring safe current flow and preventing short circuits. They also offer thermal protection by retaining heat, while shielding the cables from moisture, abrasion, and environmental factors, enhancing durability and installation flexibility.</p><p>There are various plastic insulation types. Comparison table of their properties is given below:</p><p>The <strong>temperature range</strong> in the table refers to the range of temperatures at which a material can perform effectively without losing its essential properties. If a material is exposed to temperatures outside its specified range, it may lose its functional integrity (e.g., insulation properties, chemical resistance, flexibility), leading to failure in its intended application.</p><div class="captioned-image-container"><figure><a class="image-link image2 is-viewable-img" target="_blank" href="https://substackcdn.com/image/fetch/$s_!Jj3S!,f_auto,q_auto:good,fl_progressive:steep/https%3A%2F%2Fsubstack-post-media.s3.amazonaws.com%2Fpublic%2Fimages%2F98a93372-0146-42b8-a414-77dfc6ecf9d9_763x341.png" data-component-name="Image2ToDOM"><div class="image2-inset"><picture><source type="image/webp" srcset="https://substackcdn.com/image/fetch/$s_!Jj3S!,w_424,c_limit,f_webp,q_auto:good,fl_progressive:steep/https%3A%2F%2Fsubstack-post-media.s3.amazonaws.com%2Fpublic%2Fimages%2F98a93372-0146-42b8-a414-77dfc6ecf9d9_763x341.png 424w, https://substackcdn.com/image/fetch/$s_!Jj3S!,w_848,c_limit,f_webp,q_auto:good,fl_progressive:steep/https%3A%2F%2Fsubstack-post-media.s3.amazonaws.com%2Fpublic%2Fimages%2F98a93372-0146-42b8-a414-77dfc6ecf9d9_763x341.png 848w, https://substackcdn.com/image/fetch/$s_!Jj3S!,w_1272,c_limit,f_webp,q_auto:good,fl_progressive:steep/https%3A%2F%2Fsubstack-post-media.s3.amazonaws.com%2Fpublic%2Fimages%2F98a93372-0146-42b8-a414-77dfc6ecf9d9_763x341.png 1272w, https://substackcdn.com/image/fetch/$s_!Jj3S!,w_1456,c_limit,f_webp,q_auto:good,fl_progressive:steep/https%3A%2F%2Fsubstack-post-media.s3.amazonaws.com%2Fpublic%2Fimages%2F98a93372-0146-42b8-a414-77dfc6ecf9d9_763x341.png 1456w" sizes="100vw"><img src="https://substackcdn.com/image/fetch/$s_!Jj3S!,w_1456,c_limit,f_auto,q_auto:good,fl_progressive:steep/https%3A%2F%2Fsubstack-post-media.s3.amazonaws.com%2Fpublic%2Fimages%2F98a93372-0146-42b8-a414-77dfc6ecf9d9_763x341.png" width="763" height="341" data-attrs="{&quot;src&quot;:&quot;https://substack-post-media.s3.amazonaws.com/public/images/98a93372-0146-42b8-a414-77dfc6ecf9d9_763x341.png&quot;,&quot;srcNoWatermark&quot;:null,&quot;fullscreen&quot;:null,&quot;imageSize&quot;:null,&quot;height&quot;:341,&quot;width&quot;:763,&quot;resizeWidth&quot;:null,&quot;bytes&quot;:43047,&quot;alt&quot;:null,&quot;title&quot;:null,&quot;type&quot;:&quot;image/png&quot;,&quot;href&quot;:null,&quot;belowTheFold&quot;:true,&quot;topImage&quot;:false,&quot;internalRedirect&quot;:&quot;https://www.precisionnewsletter.com/i/159003299?img=https%3A%2F%2Fsubstack-post-media.s3.amazonaws.com%2Fpublic%2Fimages%2F98a93372-0146-42b8-a414-77dfc6ecf9d9_763x341.png&quot;,&quot;isProcessing&quot;:false,&quot;align&quot;:null,&quot;offset&quot;:false}" class="sizing-normal" alt="" srcset="https://substackcdn.com/image/fetch/$s_!Jj3S!,w_424,c_limit,f_auto,q_auto:good,fl_progressive:steep/https%3A%2F%2Fsubstack-post-media.s3.amazonaws.com%2Fpublic%2Fimages%2F98a93372-0146-42b8-a414-77dfc6ecf9d9_763x341.png 424w, https://substackcdn.com/image/fetch/$s_!Jj3S!,w_848,c_limit,f_auto,q_auto:good,fl_progressive:steep/https%3A%2F%2Fsubstack-post-media.s3.amazonaws.com%2Fpublic%2Fimages%2F98a93372-0146-42b8-a414-77dfc6ecf9d9_763x341.png 848w, https://substackcdn.com/image/fetch/$s_!Jj3S!,w_1272,c_limit,f_auto,q_auto:good,fl_progressive:steep/https%3A%2F%2Fsubstack-post-media.s3.amazonaws.com%2Fpublic%2Fimages%2F98a93372-0146-42b8-a414-77dfc6ecf9d9_763x341.png 1272w, https://substackcdn.com/image/fetch/$s_!Jj3S!,w_1456,c_limit,f_auto,q_auto:good,fl_progressive:steep/https%3A%2F%2Fsubstack-post-media.s3.amazonaws.com%2Fpublic%2Fimages%2F98a93372-0146-42b8-a414-77dfc6ecf9d9_763x341.png 1456w" sizes="100vw" loading="lazy"></picture><div class="image-link-expand"><div class="pencraft pc-display-flex pc-gap-8 pc-reset"><button tabindex="0" type="button" class="pencraft pc-reset pencraft icon-container restack-image"><svg role="img" width="20" height="20" viewBox="0 0 20 20" fill="none" stroke-width="1.5" stroke="var(--color-fg-primary)" stroke-linecap="round" stroke-linejoin="round" xmlns="http://www.w3.org/2000/svg"><g><title></title><path d="M2.53001 7.81595C3.49179 4.73911 6.43281 2.5 9.91173 2.5C13.1684 2.5 15.9537 4.46214 17.0852 7.23684L17.6179 8.67647M17.6179 8.67647L18.5002 4.26471M17.6179 8.67647L13.6473 6.91176M17.4995 12.1841C16.5378 15.2609 13.5967 17.5 10.1178 17.5C6.86118 17.5 4.07589 15.5379 2.94432 12.7632L2.41165 11.3235M2.41165 11.3235L1.5293 15.7353M2.41165 11.3235L6.38224 13.0882"></path></g></svg></button><button tabindex="0" type="button" class="pencraft pc-reset pencraft icon-container view-image"><svg xmlns="http://www.w3.org/2000/svg" width="20" height="20" viewBox="0 0 24 24" fill="none" stroke="currentColor" stroke-width="2" stroke-linecap="round" stroke-linejoin="round" class="lucide lucide-maximize2 lucide-maximize-2"><polyline points="15 3 21 3 21 9"></polyline><polyline points="9 21 3 21 3 15"></polyline><line x1="21" x2="14" y1="3" y2="10"></line><line x1="3" x2="10" y1="21" y2="14"></line></svg></button></div></div></div></a></figure></div><div class="captioned-image-container"><figure><a class="image-link image2 is-viewable-img" target="_blank" href="https://substackcdn.com/image/fetch/$s_!in79!,f_auto,q_auto:good,fl_progressive:steep/https%3A%2F%2Fsubstack-post-media.s3.amazonaws.com%2Fpublic%2Fimages%2Fde0b5aef-bc23-4784-a4fa-1070e1e34ef9_762x453.png" data-component-name="Image2ToDOM"><div class="image2-inset"><picture><source type="image/webp" srcset="https://substackcdn.com/image/fetch/$s_!in79!,w_424,c_limit,f_webp,q_auto:good,fl_progressive:steep/https%3A%2F%2Fsubstack-post-media.s3.amazonaws.com%2Fpublic%2Fimages%2Fde0b5aef-bc23-4784-a4fa-1070e1e34ef9_762x453.png 424w, https://substackcdn.com/image/fetch/$s_!in79!,w_848,c_limit,f_webp,q_auto:good,fl_progressive:steep/https%3A%2F%2Fsubstack-post-media.s3.amazonaws.com%2Fpublic%2Fimages%2Fde0b5aef-bc23-4784-a4fa-1070e1e34ef9_762x453.png 848w, https://substackcdn.com/image/fetch/$s_!in79!,w_1272,c_limit,f_webp,q_auto:good,fl_progressive:steep/https%3A%2F%2Fsubstack-post-media.s3.amazonaws.com%2Fpublic%2Fimages%2Fde0b5aef-bc23-4784-a4fa-1070e1e34ef9_762x453.png 1272w, https://substackcdn.com/image/fetch/$s_!in79!,w_1456,c_limit,f_webp,q_auto:good,fl_progressive:steep/https%3A%2F%2Fsubstack-post-media.s3.amazonaws.com%2Fpublic%2Fimages%2Fde0b5aef-bc23-4784-a4fa-1070e1e34ef9_762x453.png 1456w" sizes="100vw"><img src="https://substackcdn.com/image/fetch/$s_!in79!,w_1456,c_limit,f_auto,q_auto:good,fl_progressive:steep/https%3A%2F%2Fsubstack-post-media.s3.amazonaws.com%2Fpublic%2Fimages%2Fde0b5aef-bc23-4784-a4fa-1070e1e34ef9_762x453.png" width="762" height="453" data-attrs="{&quot;src&quot;:&quot;https://substack-post-media.s3.amazonaws.com/public/images/de0b5aef-bc23-4784-a4fa-1070e1e34ef9_762x453.png&quot;,&quot;srcNoWatermark&quot;:null,&quot;fullscreen&quot;:null,&quot;imageSize&quot;:null,&quot;height&quot;:453,&quot;width&quot;:762,&quot;resizeWidth&quot;:null,&quot;bytes&quot;:71291,&quot;alt&quot;:null,&quot;title&quot;:null,&quot;type&quot;:&quot;image/png&quot;,&quot;href&quot;:null,&quot;belowTheFold&quot;:true,&quot;topImage&quot;:false,&quot;internalRedirect&quot;:&quot;https://www.precisionnewsletter.com/i/159003299?img=https%3A%2F%2Fsubstack-post-media.s3.amazonaws.com%2Fpublic%2Fimages%2Fde0b5aef-bc23-4784-a4fa-1070e1e34ef9_762x453.png&quot;,&quot;isProcessing&quot;:false,&quot;align&quot;:null,&quot;offset&quot;:false}" class="sizing-normal" alt="" srcset="https://substackcdn.com/image/fetch/$s_!in79!,w_424,c_limit,f_auto,q_auto:good,fl_progressive:steep/https%3A%2F%2Fsubstack-post-media.s3.amazonaws.com%2Fpublic%2Fimages%2Fde0b5aef-bc23-4784-a4fa-1070e1e34ef9_762x453.png 424w, https://substackcdn.com/image/fetch/$s_!in79!,w_848,c_limit,f_auto,q_auto:good,fl_progressive:steep/https%3A%2F%2Fsubstack-post-media.s3.amazonaws.com%2Fpublic%2Fimages%2Fde0b5aef-bc23-4784-a4fa-1070e1e34ef9_762x453.png 848w, https://substackcdn.com/image/fetch/$s_!in79!,w_1272,c_limit,f_auto,q_auto:good,fl_progressive:steep/https%3A%2F%2Fsubstack-post-media.s3.amazonaws.com%2Fpublic%2Fimages%2Fde0b5aef-bc23-4784-a4fa-1070e1e34ef9_762x453.png 1272w, https://substackcdn.com/image/fetch/$s_!in79!,w_1456,c_limit,f_auto,q_auto:good,fl_progressive:steep/https%3A%2F%2Fsubstack-post-media.s3.amazonaws.com%2Fpublic%2Fimages%2Fde0b5aef-bc23-4784-a4fa-1070e1e34ef9_762x453.png 1456w" sizes="100vw" loading="lazy"></picture><div class="image-link-expand"><div class="pencraft pc-display-flex pc-gap-8 pc-reset"><button tabindex="0" type="button" class="pencraft pc-reset pencraft icon-container restack-image"><svg role="img" width="20" height="20" viewBox="0 0 20 20" fill="none" stroke-width="1.5" stroke="var(--color-fg-primary)" stroke-linecap="round" stroke-linejoin="round" xmlns="http://www.w3.org/2000/svg"><g><title></title><path d="M2.53001 7.81595C3.49179 4.73911 6.43281 2.5 9.91173 2.5C13.1684 2.5 15.9537 4.46214 17.0852 7.23684L17.6179 8.67647M17.6179 8.67647L18.5002 4.26471M17.6179 8.67647L13.6473 6.91176M17.4995 12.1841C16.5378 15.2609 13.5967 17.5 10.1178 17.5C6.86118 17.5 4.07589 15.5379 2.94432 12.7632L2.41165 11.3235M2.41165 11.3235L1.5293 15.7353M2.41165 11.3235L6.38224 13.0882"></path></g></svg></button><button tabindex="0" type="button" class="pencraft pc-reset pencraft icon-container view-image"><svg xmlns="http://www.w3.org/2000/svg" width="20" height="20" viewBox="0 0 24 24" fill="none" stroke="currentColor" stroke-width="2" stroke-linecap="round" stroke-linejoin="round" class="lucide lucide-maximize2 lucide-maximize-2"><polyline points="15 3 21 3 21 9"></polyline><polyline points="9 21 3 21 3 15"></polyline><line x1="21" x2="14" y1="3" y2="10"></line><line x1="3" x2="10" y1="21" y2="14"></line></svg></button></div></div></div></a></figure></div><p>Ultimately, the best material choice depends on the specific needs of the application, including <strong>temperature range</strong>, <strong>flexibility</strong>, <strong>chemical exposure</strong>, <strong>flame resistance</strong>, and <strong>performance</strong>. For general use, <strong>PVC</strong> is often preferred, but for <strong>extreme environments</strong> or specific applications, other materials like <strong>PE</strong>, <strong>PP</strong>, <strong>PUR</strong>, and <strong>CPE</strong> may be more suitable.</p><blockquote><ul><li><p> <strong>CPE </strong>is best suited for chemical plant use, areas with exposure to ozone and UV degradation, or underground applications. It offers excellent protection against water, chemicals, and abrasion, making it ideal for harsh conditions and outdoor environments where both chemical resistance and temperature stability are crucial.</p></li><li><p><strong>PUR </strong>Ideal for environments where abrasion resistance is key, such as in retractile cords or mining cables. PUR offers excellent oxidation, oil resistance, and abrasion resistance, making it suitable for high-demand environments like heavy machinery, construction, and outdoor applications.</p></li><li><p><strong>PE </strong>is a good choice for environments requiring excellent moisture resistance and weather resistance, particularly in outdoor settings. However, its temperature range limits its application in environments exceeding 80&#176;C. It works well in low to moderate temperatures where flexibility and moisture resistance are essential.</p></li><li><p><strong>PVC </strong>is best suited for underground feeders, aerial cables, and applications requiring moisture and abrasion resistance. PVC is also used for plenum-rated cables in environments with fire hazards due to its flame-retardant properties. It's not ideal for high or low-temperature extremes but offers great protection in moderate conditions.</p></li></ul><div class="captioned-image-container"><figure><a class="image-link image2" target="_blank" href="https://substackcdn.com/image/fetch/$s_!Wx1z!,f_auto,q_auto:good,fl_progressive:steep/https%3A%2F%2Fsubstack-post-media.s3.amazonaws.com%2Fpublic%2Fimages%2F60e3223b-8d45-4c78-8f3f-794fc7eb1969_613x357.jpeg" data-component-name="Image2ToDOM"><div class="image2-inset"><picture><source type="image/webp" srcset="https://substackcdn.com/image/fetch/$s_!Wx1z!,w_424,c_limit,f_webp,q_auto:good,fl_progressive:steep/https%3A%2F%2Fsubstack-post-media.s3.amazonaws.com%2Fpublic%2Fimages%2F60e3223b-8d45-4c78-8f3f-794fc7eb1969_613x357.jpeg 424w, https://substackcdn.com/image/fetch/$s_!Wx1z!,w_848,c_limit,f_webp,q_auto:good,fl_progressive:steep/https%3A%2F%2Fsubstack-post-media.s3.amazonaws.com%2Fpublic%2Fimages%2F60e3223b-8d45-4c78-8f3f-794fc7eb1969_613x357.jpeg 848w, https://substackcdn.com/image/fetch/$s_!Wx1z!,w_1272,c_limit,f_webp,q_auto:good,fl_progressive:steep/https%3A%2F%2Fsubstack-post-media.s3.amazonaws.com%2Fpublic%2Fimages%2F60e3223b-8d45-4c78-8f3f-794fc7eb1969_613x357.jpeg 1272w, https://substackcdn.com/image/fetch/$s_!Wx1z!,w_1456,c_limit,f_webp,q_auto:good,fl_progressive:steep/https%3A%2F%2Fsubstack-post-media.s3.amazonaws.com%2Fpublic%2Fimages%2F60e3223b-8d45-4c78-8f3f-794fc7eb1969_613x357.jpeg 1456w" sizes="100vw"><img src="https://substackcdn.com/image/fetch/$s_!Wx1z!,w_1456,c_limit,f_auto,q_auto:good,fl_progressive:steep/https%3A%2F%2Fsubstack-post-media.s3.amazonaws.com%2Fpublic%2Fimages%2F60e3223b-8d45-4c78-8f3f-794fc7eb1969_613x357.jpeg" width="289" height="168.3083197389886" data-attrs="{&quot;src&quot;:&quot;https://substack-post-media.s3.amazonaws.com/public/images/60e3223b-8d45-4c78-8f3f-794fc7eb1969_613x357.jpeg&quot;,&quot;srcNoWatermark&quot;:null,&quot;fullscreen&quot;:null,&quot;imageSize&quot;:null,&quot;height&quot;:357,&quot;width&quot;:613,&quot;resizeWidth&quot;:289,&quot;bytes&quot;:29654,&quot;alt&quot;:null,&quot;title&quot;:null,&quot;type&quot;:&quot;image/jpeg&quot;,&quot;href&quot;:null,&quot;belowTheFold&quot;:true,&quot;topImage&quot;:false,&quot;internalRedirect&quot;:&quot;https://www.precisionnewsletter.com/i/159003299?img=https%3A%2F%2Fsubstack-post-media.s3.amazonaws.com%2Fpublic%2Fimages%2F60e3223b-8d45-4c78-8f3f-794fc7eb1969_613x357.jpeg&quot;,&quot;isProcessing&quot;:false,&quot;align&quot;:null,&quot;offset&quot;:false}" class="sizing-normal" alt="" srcset="https://substackcdn.com/image/fetch/$s_!Wx1z!,w_424,c_limit,f_auto,q_auto:good,fl_progressive:steep/https%3A%2F%2Fsubstack-post-media.s3.amazonaws.com%2Fpublic%2Fimages%2F60e3223b-8d45-4c78-8f3f-794fc7eb1969_613x357.jpeg 424w, https://substackcdn.com/image/fetch/$s_!Wx1z!,w_848,c_limit,f_auto,q_auto:good,fl_progressive:steep/https%3A%2F%2Fsubstack-post-media.s3.amazonaws.com%2Fpublic%2Fimages%2F60e3223b-8d45-4c78-8f3f-794fc7eb1969_613x357.jpeg 848w, https://substackcdn.com/image/fetch/$s_!Wx1z!,w_1272,c_limit,f_auto,q_auto:good,fl_progressive:steep/https%3A%2F%2Fsubstack-post-media.s3.amazonaws.com%2Fpublic%2Fimages%2F60e3223b-8d45-4c78-8f3f-794fc7eb1969_613x357.jpeg 1272w, https://substackcdn.com/image/fetch/$s_!Wx1z!,w_1456,c_limit,f_auto,q_auto:good,fl_progressive:steep/https%3A%2F%2Fsubstack-post-media.s3.amazonaws.com%2Fpublic%2Fimages%2F60e3223b-8d45-4c78-8f3f-794fc7eb1969_613x357.jpeg 1456w" sizes="100vw" loading="lazy"></picture><div></div></div></a><figcaption class="image-caption">PVC materials</figcaption></figure></div><div class="captioned-image-container"><figure><a class="image-link image2" target="_blank" href="https://substackcdn.com/image/fetch/$s_!_eTW!,f_auto,q_auto:good,fl_progressive:steep/https%3A%2F%2Fsubstack-post-media.s3.amazonaws.com%2Fpublic%2Fimages%2Fc432555e-bece-483e-9648-281b4ed8fcb7_225x225.jpeg" data-component-name="Image2ToDOM"><div class="image2-inset"><picture><source type="image/webp" srcset="https://substackcdn.com/image/fetch/$s_!_eTW!,w_424,c_limit,f_webp,q_auto:good,fl_progressive:steep/https%3A%2F%2Fsubstack-post-media.s3.amazonaws.com%2Fpublic%2Fimages%2Fc432555e-bece-483e-9648-281b4ed8fcb7_225x225.jpeg 424w, https://substackcdn.com/image/fetch/$s_!_eTW!,w_848,c_limit,f_webp,q_auto:good,fl_progressive:steep/https%3A%2F%2Fsubstack-post-media.s3.amazonaws.com%2Fpublic%2Fimages%2Fc432555e-bece-483e-9648-281b4ed8fcb7_225x225.jpeg 848w, https://substackcdn.com/image/fetch/$s_!_eTW!,w_1272,c_limit,f_webp,q_auto:good,fl_progressive:steep/https%3A%2F%2Fsubstack-post-media.s3.amazonaws.com%2Fpublic%2Fimages%2Fc432555e-bece-483e-9648-281b4ed8fcb7_225x225.jpeg 1272w, https://substackcdn.com/image/fetch/$s_!_eTW!,w_1456,c_limit,f_webp,q_auto:good,fl_progressive:steep/https%3A%2F%2Fsubstack-post-media.s3.amazonaws.com%2Fpublic%2Fimages%2Fc432555e-bece-483e-9648-281b4ed8fcb7_225x225.jpeg 1456w" sizes="100vw"><img src="https://substackcdn.com/image/fetch/$s_!_eTW!,w_1456,c_limit,f_auto,q_auto:good,fl_progressive:steep/https%3A%2F%2Fsubstack-post-media.s3.amazonaws.com%2Fpublic%2Fimages%2Fc432555e-bece-483e-9648-281b4ed8fcb7_225x225.jpeg" width="225" height="225" data-attrs="{&quot;src&quot;:&quot;https://substack-post-media.s3.amazonaws.com/public/images/c432555e-bece-483e-9648-281b4ed8fcb7_225x225.jpeg&quot;,&quot;srcNoWatermark&quot;:null,&quot;fullscreen&quot;:null,&quot;imageSize&quot;:null,&quot;height&quot;:225,&quot;width&quot;:225,&quot;resizeWidth&quot;:null,&quot;bytes&quot;:11628,&quot;alt&quot;:null,&quot;title&quot;:null,&quot;type&quot;:&quot;image/jpeg&quot;,&quot;href&quot;:null,&quot;belowTheFold&quot;:true,&quot;topImage&quot;:false,&quot;internalRedirect&quot;:&quot;https://www.precisionnewsletter.com/i/159003299?img=https%3A%2F%2Fsubstack-post-media.s3.amazonaws.com%2Fpublic%2Fimages%2Fc432555e-bece-483e-9648-281b4ed8fcb7_225x225.jpeg&quot;,&quot;isProcessing&quot;:false,&quot;align&quot;:null,&quot;offset&quot;:false}" class="sizing-normal" alt="" srcset="https://substackcdn.com/image/fetch/$s_!_eTW!,w_424,c_limit,f_auto,q_auto:good,fl_progressive:steep/https%3A%2F%2Fsubstack-post-media.s3.amazonaws.com%2Fpublic%2Fimages%2Fc432555e-bece-483e-9648-281b4ed8fcb7_225x225.jpeg 424w, https://substackcdn.com/image/fetch/$s_!_eTW!,w_848,c_limit,f_auto,q_auto:good,fl_progressive:steep/https%3A%2F%2Fsubstack-post-media.s3.amazonaws.com%2Fpublic%2Fimages%2Fc432555e-bece-483e-9648-281b4ed8fcb7_225x225.jpeg 848w, https://substackcdn.com/image/fetch/$s_!_eTW!,w_1272,c_limit,f_auto,q_auto:good,fl_progressive:steep/https%3A%2F%2Fsubstack-post-media.s3.amazonaws.com%2Fpublic%2Fimages%2Fc432555e-bece-483e-9648-281b4ed8fcb7_225x225.jpeg 1272w, https://substackcdn.com/image/fetch/$s_!_eTW!,w_1456,c_limit,f_auto,q_auto:good,fl_progressive:steep/https%3A%2F%2Fsubstack-post-media.s3.amazonaws.com%2Fpublic%2Fimages%2Fc432555e-bece-483e-9648-281b4ed8fcb7_225x225.jpeg 1456w" sizes="100vw" loading="lazy"></picture><div></div></div></a><figcaption class="image-caption"><em><strong>Polyethylene insulated material</strong></em></figcaption></figure></div><ol start="2"><li><p><strong> Rubber Insulation Types</strong></p></li></ol><p>In electrical heat tracing systems, rubber insulation materials offer superior flexibility and abrasion resistance, making them ideal for environments with movement or physical stress. They also provide better low-temperature performance and are more resistant to oils, solvents, and weathering, making them suitable for harsh outdoor conditions.</p><p>Various plastic insulation types and their comparison table is given below</p></blockquote><div class="captioned-image-container"><figure><a class="image-link image2 is-viewable-img" target="_blank" href="https://substackcdn.com/image/fetch/$s_!Jwb_!,f_auto,q_auto:good,fl_progressive:steep/https%3A%2F%2Fsubstack-post-media.s3.amazonaws.com%2Fpublic%2Fimages%2Fcf67a00a-17d7-4066-8eac-074f180c216b_755x391.png" data-component-name="Image2ToDOM"><div class="image2-inset"><picture><source type="image/webp" srcset="https://substackcdn.com/image/fetch/$s_!Jwb_!,w_424,c_limit,f_webp,q_auto:good,fl_progressive:steep/https%3A%2F%2Fsubstack-post-media.s3.amazonaws.com%2Fpublic%2Fimages%2Fcf67a00a-17d7-4066-8eac-074f180c216b_755x391.png 424w, https://substackcdn.com/image/fetch/$s_!Jwb_!,w_848,c_limit,f_webp,q_auto:good,fl_progressive:steep/https%3A%2F%2Fsubstack-post-media.s3.amazonaws.com%2Fpublic%2Fimages%2Fcf67a00a-17d7-4066-8eac-074f180c216b_755x391.png 848w, https://substackcdn.com/image/fetch/$s_!Jwb_!,w_1272,c_limit,f_webp,q_auto:good,fl_progressive:steep/https%3A%2F%2Fsubstack-post-media.s3.amazonaws.com%2Fpublic%2Fimages%2Fcf67a00a-17d7-4066-8eac-074f180c216b_755x391.png 1272w, https://substackcdn.com/image/fetch/$s_!Jwb_!,w_1456,c_limit,f_webp,q_auto:good,fl_progressive:steep/https%3A%2F%2Fsubstack-post-media.s3.amazonaws.com%2Fpublic%2Fimages%2Fcf67a00a-17d7-4066-8eac-074f180c216b_755x391.png 1456w" sizes="100vw"><img src="https://substackcdn.com/image/fetch/$s_!Jwb_!,w_1456,c_limit,f_auto,q_auto:good,fl_progressive:steep/https%3A%2F%2Fsubstack-post-media.s3.amazonaws.com%2Fpublic%2Fimages%2Fcf67a00a-17d7-4066-8eac-074f180c216b_755x391.png" width="504" height="261.01192052980133" data-attrs="{&quot;src&quot;:&quot;https://substack-post-media.s3.amazonaws.com/public/images/cf67a00a-17d7-4066-8eac-074f180c216b_755x391.png&quot;,&quot;srcNoWatermark&quot;:null,&quot;fullscreen&quot;:null,&quot;imageSize&quot;:null,&quot;height&quot;:391,&quot;width&quot;:755,&quot;resizeWidth&quot;:504,&quot;bytes&quot;:74609,&quot;alt&quot;:null,&quot;title&quot;:null,&quot;type&quot;:&quot;image/png&quot;,&quot;href&quot;:null,&quot;belowTheFold&quot;:true,&quot;topImage&quot;:false,&quot;internalRedirect&quot;:&quot;https://www.precisionnewsletter.com/i/159003299?img=https%3A%2F%2Fsubstack-post-media.s3.amazonaws.com%2Fpublic%2Fimages%2Fcf67a00a-17d7-4066-8eac-074f180c216b_755x391.png&quot;,&quot;isProcessing&quot;:false,&quot;align&quot;:null,&quot;offset&quot;:false}" class="sizing-normal" alt="" srcset="https://substackcdn.com/image/fetch/$s_!Jwb_!,w_424,c_limit,f_auto,q_auto:good,fl_progressive:steep/https%3A%2F%2Fsubstack-post-media.s3.amazonaws.com%2Fpublic%2Fimages%2Fcf67a00a-17d7-4066-8eac-074f180c216b_755x391.png 424w, https://substackcdn.com/image/fetch/$s_!Jwb_!,w_848,c_limit,f_auto,q_auto:good,fl_progressive:steep/https%3A%2F%2Fsubstack-post-media.s3.amazonaws.com%2Fpublic%2Fimages%2Fcf67a00a-17d7-4066-8eac-074f180c216b_755x391.png 848w, https://substackcdn.com/image/fetch/$s_!Jwb_!,w_1272,c_limit,f_auto,q_auto:good,fl_progressive:steep/https%3A%2F%2Fsubstack-post-media.s3.amazonaws.com%2Fpublic%2Fimages%2Fcf67a00a-17d7-4066-8eac-074f180c216b_755x391.png 1272w, https://substackcdn.com/image/fetch/$s_!Jwb_!,w_1456,c_limit,f_auto,q_auto:good,fl_progressive:steep/https%3A%2F%2Fsubstack-post-media.s3.amazonaws.com%2Fpublic%2Fimages%2Fcf67a00a-17d7-4066-8eac-074f180c216b_755x391.png 1456w" sizes="100vw" loading="lazy"></picture><div class="image-link-expand"><div class="pencraft pc-display-flex pc-gap-8 pc-reset"><button tabindex="0" type="button" class="pencraft pc-reset pencraft icon-container restack-image"><svg role="img" width="20" height="20" viewBox="0 0 20 20" fill="none" stroke-width="1.5" stroke="var(--color-fg-primary)" stroke-linecap="round" stroke-linejoin="round" xmlns="http://www.w3.org/2000/svg"><g><title></title><path d="M2.53001 7.81595C3.49179 4.73911 6.43281 2.5 9.91173 2.5C13.1684 2.5 15.9537 4.46214 17.0852 7.23684L17.6179 8.67647M17.6179 8.67647L18.5002 4.26471M17.6179 8.67647L13.6473 6.91176M17.4995 12.1841C16.5378 15.2609 13.5967 17.5 10.1178 17.5C6.86118 17.5 4.07589 15.5379 2.94432 12.7632L2.41165 11.3235M2.41165 11.3235L1.5293 15.7353M2.41165 11.3235L6.38224 13.0882"></path></g></svg></button><button tabindex="0" type="button" class="pencraft pc-reset pencraft icon-container view-image"><svg xmlns="http://www.w3.org/2000/svg" width="20" height="20" viewBox="0 0 24 24" fill="none" stroke="currentColor" stroke-width="2" stroke-linecap="round" stroke-linejoin="round" class="lucide lucide-maximize2 lucide-maximize-2"><polyline points="15 3 21 3 21 9"></polyline><polyline points="9 21 3 21 3 15"></polyline><line x1="21" x2="14" y1="3" y2="10"></line><line x1="3" x2="10" y1="21" y2="14"></line></svg></button></div></div></div></a></figure></div><div class="captioned-image-container"><figure><a class="image-link image2 is-viewable-img" target="_blank" href="https://substackcdn.com/image/fetch/$s_!fmZd!,f_auto,q_auto:good,fl_progressive:steep/https%3A%2F%2Fsubstack-post-media.s3.amazonaws.com%2Fpublic%2Fimages%2Fa5ad9147-a6e5-4432-9f33-f1259d96f272_755x391.png" data-component-name="Image2ToDOM"><div class="image2-inset"><picture><source type="image/webp" srcset="https://substackcdn.com/image/fetch/$s_!fmZd!,w_424,c_limit,f_webp,q_auto:good,fl_progressive:steep/https%3A%2F%2Fsubstack-post-media.s3.amazonaws.com%2Fpublic%2Fimages%2Fa5ad9147-a6e5-4432-9f33-f1259d96f272_755x391.png 424w, https://substackcdn.com/image/fetch/$s_!fmZd!,w_848,c_limit,f_webp,q_auto:good,fl_progressive:steep/https%3A%2F%2Fsubstack-post-media.s3.amazonaws.com%2Fpublic%2Fimages%2Fa5ad9147-a6e5-4432-9f33-f1259d96f272_755x391.png 848w, https://substackcdn.com/image/fetch/$s_!fmZd!,w_1272,c_limit,f_webp,q_auto:good,fl_progressive:steep/https%3A%2F%2Fsubstack-post-media.s3.amazonaws.com%2Fpublic%2Fimages%2Fa5ad9147-a6e5-4432-9f33-f1259d96f272_755x391.png 1272w, https://substackcdn.com/image/fetch/$s_!fmZd!,w_1456,c_limit,f_webp,q_auto:good,fl_progressive:steep/https%3A%2F%2Fsubstack-post-media.s3.amazonaws.com%2Fpublic%2Fimages%2Fa5ad9147-a6e5-4432-9f33-f1259d96f272_755x391.png 1456w" sizes="100vw"><img src="https://substackcdn.com/image/fetch/$s_!fmZd!,w_1456,c_limit,f_auto,q_auto:good,fl_progressive:steep/https%3A%2F%2Fsubstack-post-media.s3.amazonaws.com%2Fpublic%2Fimages%2Fa5ad9147-a6e5-4432-9f33-f1259d96f272_755x391.png" width="512" height="265.15496688741723" data-attrs="{&quot;src&quot;:&quot;https://substack-post-media.s3.amazonaws.com/public/images/a5ad9147-a6e5-4432-9f33-f1259d96f272_755x391.png&quot;,&quot;srcNoWatermark&quot;:null,&quot;fullscreen&quot;:null,&quot;imageSize&quot;:null,&quot;height&quot;:391,&quot;width&quot;:755,&quot;resizeWidth&quot;:512,&quot;bytes&quot;:74609,&quot;alt&quot;:null,&quot;title&quot;:null,&quot;type&quot;:&quot;image/png&quot;,&quot;href&quot;:null,&quot;belowTheFold&quot;:true,&quot;topImage&quot;:false,&quot;internalRedirect&quot;:&quot;https://www.precisionnewsletter.com/i/159003299?img=https%3A%2F%2Fsubstack-post-media.s3.amazonaws.com%2Fpublic%2Fimages%2Fa5ad9147-a6e5-4432-9f33-f1259d96f272_755x391.png&quot;,&quot;isProcessing&quot;:false,&quot;align&quot;:null,&quot;offset&quot;:false}" class="sizing-normal" alt="" srcset="https://substackcdn.com/image/fetch/$s_!fmZd!,w_424,c_limit,f_auto,q_auto:good,fl_progressive:steep/https%3A%2F%2Fsubstack-post-media.s3.amazonaws.com%2Fpublic%2Fimages%2Fa5ad9147-a6e5-4432-9f33-f1259d96f272_755x391.png 424w, https://substackcdn.com/image/fetch/$s_!fmZd!,w_848,c_limit,f_auto,q_auto:good,fl_progressive:steep/https%3A%2F%2Fsubstack-post-media.s3.amazonaws.com%2Fpublic%2Fimages%2Fa5ad9147-a6e5-4432-9f33-f1259d96f272_755x391.png 848w, https://substackcdn.com/image/fetch/$s_!fmZd!,w_1272,c_limit,f_auto,q_auto:good,fl_progressive:steep/https%3A%2F%2Fsubstack-post-media.s3.amazonaws.com%2Fpublic%2Fimages%2Fa5ad9147-a6e5-4432-9f33-f1259d96f272_755x391.png 1272w, https://substackcdn.com/image/fetch/$s_!fmZd!,w_1456,c_limit,f_auto,q_auto:good,fl_progressive:steep/https%3A%2F%2Fsubstack-post-media.s3.amazonaws.com%2Fpublic%2Fimages%2Fa5ad9147-a6e5-4432-9f33-f1259d96f272_755x391.png 1456w" sizes="100vw" loading="lazy"></picture><div class="image-link-expand"><div class="pencraft pc-display-flex pc-gap-8 pc-reset"><button tabindex="0" type="button" class="pencraft pc-reset pencraft icon-container restack-image"><svg role="img" width="20" height="20" viewBox="0 0 20 20" fill="none" stroke-width="1.5" stroke="var(--color-fg-primary)" stroke-linecap="round" stroke-linejoin="round" xmlns="http://www.w3.org/2000/svg"><g><title></title><path d="M2.53001 7.81595C3.49179 4.73911 6.43281 2.5 9.91173 2.5C13.1684 2.5 15.9537 4.46214 17.0852 7.23684L17.6179 8.67647M17.6179 8.67647L18.5002 4.26471M17.6179 8.67647L13.6473 6.91176M17.4995 12.1841C16.5378 15.2609 13.5967 17.5 10.1178 17.5C6.86118 17.5 4.07589 15.5379 2.94432 12.7632L2.41165 11.3235M2.41165 11.3235L1.5293 15.7353M2.41165 11.3235L6.38224 13.0882"></path></g></svg></button><button tabindex="0" type="button" class="pencraft pc-reset pencraft icon-container view-image"><svg xmlns="http://www.w3.org/2000/svg" width="20" height="20" viewBox="0 0 24 24" fill="none" stroke="currentColor" stroke-width="2" stroke-linecap="round" stroke-linejoin="round" class="lucide lucide-maximize2 lucide-maximize-2"><polyline points="15 3 21 3 21 9"></polyline><polyline points="9 21 3 21 3 15"></polyline><line x1="21" x2="14" y1="3" y2="10"></line><line x1="3" x2="10" y1="21" y2="14"></line></svg></button></div></div></div></a></figure></div><p>For electrical heat tracing systems, <strong>Neoprene (Poly-chloroprene)</strong> and <strong>Ethylene Propylene Diene Monomer (EPDM)</strong> are the preferred choices due to their excellent heat, abrasion, chemical, and flame resistance. Neoprene is particularly favored for its superior <strong>abrasion resistance</strong> and <strong>flame retardancy</strong>, while EPDM is ideal for outdoor and high-temperature environments requiring <strong>flexibility</strong> and <strong>environmental resistance</strong>.</p><p>However, other materials, such as TPR (Thermoplastic Rubber) and Silicone, are also used in specific applications.<strong>TPR</strong> is durable, weather resistant and can handle temperature extremes well. These characteristics lead TPR to be used in harsh environments. <strong>Silicone</strong>, on the other hand, is known for its exceptional flexibility and outstanding high-temperature resistance (up to +180&#176;C). It is widely used in high-temperature applications such as heat treating, foundries, and aluminum processing, where it provides excellent electrical properties and moisture resistance.</p><div class="captioned-image-container"><figure><a class="image-link image2" target="_blank" href="https://substackcdn.com/image/fetch/$s_!DkCY!,f_auto,q_auto:good,fl_progressive:steep/https%3A%2F%2Fsubstack-post-media.s3.amazonaws.com%2Fpublic%2Fimages%2F301bd195-443c-458c-b1a6-4f5b49a39b1e_345x105.gif" data-component-name="Image2ToDOM"><div class="image2-inset"><picture><source type="image/webp" srcset="https://substackcdn.com/image/fetch/$s_!DkCY!,w_424,c_limit,f_webp,q_auto:good,fl_progressive:steep/https%3A%2F%2Fsubstack-post-media.s3.amazonaws.com%2Fpublic%2Fimages%2F301bd195-443c-458c-b1a6-4f5b49a39b1e_345x105.gif 424w, https://substackcdn.com/image/fetch/$s_!DkCY!,w_848,c_limit,f_webp,q_auto:good,fl_progressive:steep/https%3A%2F%2Fsubstack-post-media.s3.amazonaws.com%2Fpublic%2Fimages%2F301bd195-443c-458c-b1a6-4f5b49a39b1e_345x105.gif 848w, https://substackcdn.com/image/fetch/$s_!DkCY!,w_1272,c_limit,f_webp,q_auto:good,fl_progressive:steep/https%3A%2F%2Fsubstack-post-media.s3.amazonaws.com%2Fpublic%2Fimages%2F301bd195-443c-458c-b1a6-4f5b49a39b1e_345x105.gif 1272w, https://substackcdn.com/image/fetch/$s_!DkCY!,w_1456,c_limit,f_webp,q_auto:good,fl_progressive:steep/https%3A%2F%2Fsubstack-post-media.s3.amazonaws.com%2Fpublic%2Fimages%2F301bd195-443c-458c-b1a6-4f5b49a39b1e_345x105.gif 1456w" sizes="100vw"><img src="https://substackcdn.com/image/fetch/$s_!DkCY!,w_1456,c_limit,f_auto,q_auto:good,fl_progressive:steep/https%3A%2F%2Fsubstack-post-media.s3.amazonaws.com%2Fpublic%2Fimages%2F301bd195-443c-458c-b1a6-4f5b49a39b1e_345x105.gif" width="345" height="105" data-attrs="{&quot;src&quot;:&quot;https://substack-post-media.s3.amazonaws.com/public/images/301bd195-443c-458c-b1a6-4f5b49a39b1e_345x105.gif&quot;,&quot;srcNoWatermark&quot;:null,&quot;fullscreen&quot;:null,&quot;imageSize&quot;:null,&quot;height&quot;:105,&quot;width&quot;:345,&quot;resizeWidth&quot;:null,&quot;bytes&quot;:14329,&quot;alt&quot;:null,&quot;title&quot;:null,&quot;type&quot;:&quot;image/gif&quot;,&quot;href&quot;:null,&quot;belowTheFold&quot;:true,&quot;topImage&quot;:false,&quot;internalRedirect&quot;:&quot;https://www.precisionnewsletter.com/i/159003299?img=https%3A%2F%2Fsubstack-post-media.s3.amazonaws.com%2Fpublic%2Fimages%2F301bd195-443c-458c-b1a6-4f5b49a39b1e_345x105.gif&quot;,&quot;isProcessing&quot;:false,&quot;align&quot;:null,&quot;offset&quot;:false}" class="sizing-normal" alt="" srcset="https://substackcdn.com/image/fetch/$s_!DkCY!,w_424,c_limit,f_auto,q_auto:good,fl_progressive:steep/https%3A%2F%2Fsubstack-post-media.s3.amazonaws.com%2Fpublic%2Fimages%2F301bd195-443c-458c-b1a6-4f5b49a39b1e_345x105.gif 424w, https://substackcdn.com/image/fetch/$s_!DkCY!,w_848,c_limit,f_auto,q_auto:good,fl_progressive:steep/https%3A%2F%2Fsubstack-post-media.s3.amazonaws.com%2Fpublic%2Fimages%2F301bd195-443c-458c-b1a6-4f5b49a39b1e_345x105.gif 848w, https://substackcdn.com/image/fetch/$s_!DkCY!,w_1272,c_limit,f_auto,q_auto:good,fl_progressive:steep/https%3A%2F%2Fsubstack-post-media.s3.amazonaws.com%2Fpublic%2Fimages%2F301bd195-443c-458c-b1a6-4f5b49a39b1e_345x105.gif 1272w, https://substackcdn.com/image/fetch/$s_!DkCY!,w_1456,c_limit,f_auto,q_auto:good,fl_progressive:steep/https%3A%2F%2Fsubstack-post-media.s3.amazonaws.com%2Fpublic%2Fimages%2F301bd195-443c-458c-b1a6-4f5b49a39b1e_345x105.gif 1456w" sizes="100vw" loading="lazy"></picture><div></div></div></a><figcaption class="image-caption">Neoprene (Poly-chloroprene) material</figcaption></figure></div><div class="captioned-image-container"><figure><a class="image-link image2" target="_blank" href="https://substackcdn.com/image/fetch/$s_!Vytp!,f_auto,q_auto:good,fl_progressive:steep/https%3A%2F%2Fsubstack-post-media.s3.amazonaws.com%2Fpublic%2Fimages%2Fe6816b74-1e28-4201-a479-2cb3e3d1fafd_256x168.png" data-component-name="Image2ToDOM"><div class="image2-inset"><picture><source type="image/webp" srcset="https://substackcdn.com/image/fetch/$s_!Vytp!,w_424,c_limit,f_webp,q_auto:good,fl_progressive:steep/https%3A%2F%2Fsubstack-post-media.s3.amazonaws.com%2Fpublic%2Fimages%2Fe6816b74-1e28-4201-a479-2cb3e3d1fafd_256x168.png 424w, https://substackcdn.com/image/fetch/$s_!Vytp!,w_848,c_limit,f_webp,q_auto:good,fl_progressive:steep/https%3A%2F%2Fsubstack-post-media.s3.amazonaws.com%2Fpublic%2Fimages%2Fe6816b74-1e28-4201-a479-2cb3e3d1fafd_256x168.png 848w, https://substackcdn.com/image/fetch/$s_!Vytp!,w_1272,c_limit,f_webp,q_auto:good,fl_progressive:steep/https%3A%2F%2Fsubstack-post-media.s3.amazonaws.com%2Fpublic%2Fimages%2Fe6816b74-1e28-4201-a479-2cb3e3d1fafd_256x168.png 1272w, https://substackcdn.com/image/fetch/$s_!Vytp!,w_1456,c_limit,f_webp,q_auto:good,fl_progressive:steep/https%3A%2F%2Fsubstack-post-media.s3.amazonaws.com%2Fpublic%2Fimages%2Fe6816b74-1e28-4201-a479-2cb3e3d1fafd_256x168.png 1456w" sizes="100vw"><img src="https://substackcdn.com/image/fetch/$s_!Vytp!,w_1456,c_limit,f_auto,q_auto:good,fl_progressive:steep/https%3A%2F%2Fsubstack-post-media.s3.amazonaws.com%2Fpublic%2Fimages%2Fe6816b74-1e28-4201-a479-2cb3e3d1fafd_256x168.png" width="256" height="168" data-attrs="{&quot;src&quot;:&quot;https://substack-post-media.s3.amazonaws.com/public/images/e6816b74-1e28-4201-a479-2cb3e3d1fafd_256x168.png&quot;,&quot;srcNoWatermark&quot;:null,&quot;fullscreen&quot;:null,&quot;imageSize&quot;:null,&quot;height&quot;:168,&quot;width&quot;:256,&quot;resizeWidth&quot;:null,&quot;bytes&quot;:89669,&quot;alt&quot;:null,&quot;title&quot;:null,&quot;type&quot;:&quot;image/png&quot;,&quot;href&quot;:null,&quot;belowTheFold&quot;:true,&quot;topImage&quot;:false,&quot;internalRedirect&quot;:&quot;https://www.precisionnewsletter.com/i/159003299?img=https%3A%2F%2Fsubstack-post-media.s3.amazonaws.com%2Fpublic%2Fimages%2Fe6816b74-1e28-4201-a479-2cb3e3d1fafd_256x168.png&quot;,&quot;isProcessing&quot;:false,&quot;align&quot;:null,&quot;offset&quot;:false}" class="sizing-normal" alt="" srcset="https://substackcdn.com/image/fetch/$s_!Vytp!,w_424,c_limit,f_auto,q_auto:good,fl_progressive:steep/https%3A%2F%2Fsubstack-post-media.s3.amazonaws.com%2Fpublic%2Fimages%2Fe6816b74-1e28-4201-a479-2cb3e3d1fafd_256x168.png 424w, https://substackcdn.com/image/fetch/$s_!Vytp!,w_848,c_limit,f_auto,q_auto:good,fl_progressive:steep/https%3A%2F%2Fsubstack-post-media.s3.amazonaws.com%2Fpublic%2Fimages%2Fe6816b74-1e28-4201-a479-2cb3e3d1fafd_256x168.png 848w, https://substackcdn.com/image/fetch/$s_!Vytp!,w_1272,c_limit,f_auto,q_auto:good,fl_progressive:steep/https%3A%2F%2Fsubstack-post-media.s3.amazonaws.com%2Fpublic%2Fimages%2Fe6816b74-1e28-4201-a479-2cb3e3d1fafd_256x168.png 1272w, https://substackcdn.com/image/fetch/$s_!Vytp!,w_1456,c_limit,f_auto,q_auto:good,fl_progressive:steep/https%3A%2F%2Fsubstack-post-media.s3.amazonaws.com%2Fpublic%2Fimages%2Fe6816b74-1e28-4201-a479-2cb3e3d1fafd_256x168.png 1456w" sizes="100vw" loading="lazy"></picture><div></div></div></a><figcaption class="image-caption">Ethylene Propylene Diene Monomer</figcaption></figure></div><div class="captioned-image-container"><figure><a class="image-link image2" target="_blank" href="https://substackcdn.com/image/fetch/$s_!PcR7!,f_auto,q_auto:good,fl_progressive:steep/https%3A%2F%2Fsubstack-post-media.s3.amazonaws.com%2Fpublic%2Fimages%2Fea989203-4a75-4755-842f-93139c877e87_275x202.png" data-component-name="Image2ToDOM"><div class="image2-inset"><picture><source type="image/webp" srcset="https://substackcdn.com/image/fetch/$s_!PcR7!,w_424,c_limit,f_webp,q_auto:good,fl_progressive:steep/https%3A%2F%2Fsubstack-post-media.s3.amazonaws.com%2Fpublic%2Fimages%2Fea989203-4a75-4755-842f-93139c877e87_275x202.png 424w, https://substackcdn.com/image/fetch/$s_!PcR7!,w_848,c_limit,f_webp,q_auto:good,fl_progressive:steep/https%3A%2F%2Fsubstack-post-media.s3.amazonaws.com%2Fpublic%2Fimages%2Fea989203-4a75-4755-842f-93139c877e87_275x202.png 848w, https://substackcdn.com/image/fetch/$s_!PcR7!,w_1272,c_limit,f_webp,q_auto:good,fl_progressive:steep/https%3A%2F%2Fsubstack-post-media.s3.amazonaws.com%2Fpublic%2Fimages%2Fea989203-4a75-4755-842f-93139c877e87_275x202.png 1272w, https://substackcdn.com/image/fetch/$s_!PcR7!,w_1456,c_limit,f_webp,q_auto:good,fl_progressive:steep/https%3A%2F%2Fsubstack-post-media.s3.amazonaws.com%2Fpublic%2Fimages%2Fea989203-4a75-4755-842f-93139c877e87_275x202.png 1456w" sizes="100vw"><img src="https://substackcdn.com/image/fetch/$s_!PcR7!,w_1456,c_limit,f_auto,q_auto:good,fl_progressive:steep/https%3A%2F%2Fsubstack-post-media.s3.amazonaws.com%2Fpublic%2Fimages%2Fea989203-4a75-4755-842f-93139c877e87_275x202.png" width="275" height="202" data-attrs="{&quot;src&quot;:&quot;https://substack-post-media.s3.amazonaws.com/public/images/ea989203-4a75-4755-842f-93139c877e87_275x202.png&quot;,&quot;srcNoWatermark&quot;:null,&quot;fullscreen&quot;:null,&quot;imageSize&quot;:null,&quot;height&quot;:202,&quot;width&quot;:275,&quot;resizeWidth&quot;:null,&quot;bytes&quot;:78368,&quot;alt&quot;:null,&quot;title&quot;:null,&quot;type&quot;:&quot;image/png&quot;,&quot;href&quot;:null,&quot;belowTheFold&quot;:true,&quot;topImage&quot;:false,&quot;internalRedirect&quot;:&quot;https://www.precisionnewsletter.com/i/159003299?img=https%3A%2F%2Fsubstack-post-media.s3.amazonaws.com%2Fpublic%2Fimages%2Fea989203-4a75-4755-842f-93139c877e87_275x202.png&quot;,&quot;isProcessing&quot;:false,&quot;align&quot;:null,&quot;offset&quot;:false}" class="sizing-normal" alt="" srcset="https://substackcdn.com/image/fetch/$s_!PcR7!,w_424,c_limit,f_auto,q_auto:good,fl_progressive:steep/https%3A%2F%2Fsubstack-post-media.s3.amazonaws.com%2Fpublic%2Fimages%2Fea989203-4a75-4755-842f-93139c877e87_275x202.png 424w, https://substackcdn.com/image/fetch/$s_!PcR7!,w_848,c_limit,f_auto,q_auto:good,fl_progressive:steep/https%3A%2F%2Fsubstack-post-media.s3.amazonaws.com%2Fpublic%2Fimages%2Fea989203-4a75-4755-842f-93139c877e87_275x202.png 848w, https://substackcdn.com/image/fetch/$s_!PcR7!,w_1272,c_limit,f_auto,q_auto:good,fl_progressive:steep/https%3A%2F%2Fsubstack-post-media.s3.amazonaws.com%2Fpublic%2Fimages%2Fea989203-4a75-4755-842f-93139c877e87_275x202.png 1272w, https://substackcdn.com/image/fetch/$s_!PcR7!,w_1456,c_limit,f_auto,q_auto:good,fl_progressive:steep/https%3A%2F%2Fsubstack-post-media.s3.amazonaws.com%2Fpublic%2Fimages%2Fea989203-4a75-4755-842f-93139c877e87_275x202.png 1456w" sizes="100vw" loading="lazy"></picture><div></div></div></a><figcaption class="image-caption">Flame Retardant Rubber Sheathed TPR Cable</figcaption></figure></div><div class="captioned-image-container"><figure><a class="image-link image2" target="_blank" href="https://substackcdn.com/image/fetch/$s_!GUmS!,f_auto,q_auto:good,fl_progressive:steep/https%3A%2F%2Fsubstack-post-media.s3.amazonaws.com%2Fpublic%2Fimages%2Fa5375a99-6ffe-4ad3-8ffc-5d53592ac234_232x232.jpeg" data-component-name="Image2ToDOM"><div class="image2-inset"><picture><source type="image/webp" srcset="https://substackcdn.com/image/fetch/$s_!GUmS!,w_424,c_limit,f_webp,q_auto:good,fl_progressive:steep/https%3A%2F%2Fsubstack-post-media.s3.amazonaws.com%2Fpublic%2Fimages%2Fa5375a99-6ffe-4ad3-8ffc-5d53592ac234_232x232.jpeg 424w, https://substackcdn.com/image/fetch/$s_!GUmS!,w_848,c_limit,f_webp,q_auto:good,fl_progressive:steep/https%3A%2F%2Fsubstack-post-media.s3.amazonaws.com%2Fpublic%2Fimages%2Fa5375a99-6ffe-4ad3-8ffc-5d53592ac234_232x232.jpeg 848w, https://substackcdn.com/image/fetch/$s_!GUmS!,w_1272,c_limit,f_webp,q_auto:good,fl_progressive:steep/https%3A%2F%2Fsubstack-post-media.s3.amazonaws.com%2Fpublic%2Fimages%2Fa5375a99-6ffe-4ad3-8ffc-5d53592ac234_232x232.jpeg 1272w, https://substackcdn.com/image/fetch/$s_!GUmS!,w_1456,c_limit,f_webp,q_auto:good,fl_progressive:steep/https%3A%2F%2Fsubstack-post-media.s3.amazonaws.com%2Fpublic%2Fimages%2Fa5375a99-6ffe-4ad3-8ffc-5d53592ac234_232x232.jpeg 1456w" sizes="100vw"><img src="https://substackcdn.com/image/fetch/$s_!GUmS!,w_1456,c_limit,f_auto,q_auto:good,fl_progressive:steep/https%3A%2F%2Fsubstack-post-media.s3.amazonaws.com%2Fpublic%2Fimages%2Fa5375a99-6ffe-4ad3-8ffc-5d53592ac234_232x232.jpeg" width="232" height="232" data-attrs="{&quot;src&quot;:&quot;https://substack-post-media.s3.amazonaws.com/public/images/a5375a99-6ffe-4ad3-8ffc-5d53592ac234_232x232.jpeg&quot;,&quot;srcNoWatermark&quot;:null,&quot;fullscreen&quot;:null,&quot;imageSize&quot;:null,&quot;height&quot;:232,&quot;width&quot;:232,&quot;resizeWidth&quot;:null,&quot;bytes&quot;:8745,&quot;alt&quot;:null,&quot;title&quot;:null,&quot;type&quot;:&quot;image/jpeg&quot;,&quot;href&quot;:null,&quot;belowTheFold&quot;:true,&quot;topImage&quot;:false,&quot;internalRedirect&quot;:&quot;https://www.precisionnewsletter.com/i/159003299?img=https%3A%2F%2Fsubstack-post-media.s3.amazonaws.com%2Fpublic%2Fimages%2Fa5375a99-6ffe-4ad3-8ffc-5d53592ac234_232x232.jpeg&quot;,&quot;isProcessing&quot;:false,&quot;align&quot;:null,&quot;offset&quot;:false}" class="sizing-normal" alt="" srcset="https://substackcdn.com/image/fetch/$s_!GUmS!,w_424,c_limit,f_auto,q_auto:good,fl_progressive:steep/https%3A%2F%2Fsubstack-post-media.s3.amazonaws.com%2Fpublic%2Fimages%2Fa5375a99-6ffe-4ad3-8ffc-5d53592ac234_232x232.jpeg 424w, https://substackcdn.com/image/fetch/$s_!GUmS!,w_848,c_limit,f_auto,q_auto:good,fl_progressive:steep/https%3A%2F%2Fsubstack-post-media.s3.amazonaws.com%2Fpublic%2Fimages%2Fa5375a99-6ffe-4ad3-8ffc-5d53592ac234_232x232.jpeg 848w, https://substackcdn.com/image/fetch/$s_!GUmS!,w_1272,c_limit,f_auto,q_auto:good,fl_progressive:steep/https%3A%2F%2Fsubstack-post-media.s3.amazonaws.com%2Fpublic%2Fimages%2Fa5375a99-6ffe-4ad3-8ffc-5d53592ac234_232x232.jpeg 1272w, https://substackcdn.com/image/fetch/$s_!GUmS!,w_1456,c_limit,f_auto,q_auto:good,fl_progressive:steep/https%3A%2F%2Fsubstack-post-media.s3.amazonaws.com%2Fpublic%2Fimages%2Fa5375a99-6ffe-4ad3-8ffc-5d53592ac234_232x232.jpeg 1456w" sizes="100vw" loading="lazy"></picture><div></div></div></a><figcaption class="image-caption"><strong>Silicone Rubber insulated power cable</strong></figcaption></figure></div><h4><strong>3. Fluoropolymer Insulation Types</strong></h4><p>In electrical heat tracing systems, <strong>fluoropolymer insulation materials</strong> provide superior <strong>chemical resistance, high-temperature stability</strong>, and <strong>UV protection</strong>, making them ideal for harsh environments. They offer excellent <strong>dielectric strength</strong> and <strong>thermal efficiency</strong>, ensuring long-term durability in extreme conditions.</p><p>Various fluoropolymer insulation types and their comparison table is given below:</p><div class="captioned-image-container"><figure><a class="image-link image2 is-viewable-img" target="_blank" href="https://substackcdn.com/image/fetch/$s_!uK8b!,f_auto,q_auto:good,fl_progressive:steep/https%3A%2F%2Fsubstack-post-media.s3.amazonaws.com%2Fpublic%2Fimages%2F1bb89b7f-05ac-462e-ab0c-16fe1503a2b1_610x520.png" data-component-name="Image2ToDOM"><div class="image2-inset"><picture><source type="image/webp" srcset="https://substackcdn.com/image/fetch/$s_!uK8b!,w_424,c_limit,f_webp,q_auto:good,fl_progressive:steep/https%3A%2F%2Fsubstack-post-media.s3.amazonaws.com%2Fpublic%2Fimages%2F1bb89b7f-05ac-462e-ab0c-16fe1503a2b1_610x520.png 424w, https://substackcdn.com/image/fetch/$s_!uK8b!,w_848,c_limit,f_webp,q_auto:good,fl_progressive:steep/https%3A%2F%2Fsubstack-post-media.s3.amazonaws.com%2Fpublic%2Fimages%2F1bb89b7f-05ac-462e-ab0c-16fe1503a2b1_610x520.png 848w, https://substackcdn.com/image/fetch/$s_!uK8b!,w_1272,c_limit,f_webp,q_auto:good,fl_progressive:steep/https%3A%2F%2Fsubstack-post-media.s3.amazonaws.com%2Fpublic%2Fimages%2F1bb89b7f-05ac-462e-ab0c-16fe1503a2b1_610x520.png 1272w, https://substackcdn.com/image/fetch/$s_!uK8b!,w_1456,c_limit,f_webp,q_auto:good,fl_progressive:steep/https%3A%2F%2Fsubstack-post-media.s3.amazonaws.com%2Fpublic%2Fimages%2F1bb89b7f-05ac-462e-ab0c-16fe1503a2b1_610x520.png 1456w" sizes="100vw"><img src="https://substackcdn.com/image/fetch/$s_!uK8b!,w_1456,c_limit,f_auto,q_auto:good,fl_progressive:steep/https%3A%2F%2Fsubstack-post-media.s3.amazonaws.com%2Fpublic%2Fimages%2F1bb89b7f-05ac-462e-ab0c-16fe1503a2b1_610x520.png" width="610" height="520" data-attrs="{&quot;src&quot;:&quot;https://substack-post-media.s3.amazonaws.com/public/images/1bb89b7f-05ac-462e-ab0c-16fe1503a2b1_610x520.png&quot;,&quot;srcNoWatermark&quot;:null,&quot;fullscreen&quot;:null,&quot;imageSize&quot;:null,&quot;height&quot;:520,&quot;width&quot;:610,&quot;resizeWidth&quot;:null,&quot;bytes&quot;:87986,&quot;alt&quot;:null,&quot;title&quot;:null,&quot;type&quot;:&quot;image/png&quot;,&quot;href&quot;:null,&quot;belowTheFold&quot;:true,&quot;topImage&quot;:false,&quot;internalRedirect&quot;:&quot;https://www.precisionnewsletter.com/i/159003299?img=https%3A%2F%2Fsubstack-post-media.s3.amazonaws.com%2Fpublic%2Fimages%2F1bb89b7f-05ac-462e-ab0c-16fe1503a2b1_610x520.png&quot;,&quot;isProcessing&quot;:false,&quot;align&quot;:null,&quot;offset&quot;:false}" class="sizing-normal" alt="" srcset="https://substackcdn.com/image/fetch/$s_!uK8b!,w_424,c_limit,f_auto,q_auto:good,fl_progressive:steep/https%3A%2F%2Fsubstack-post-media.s3.amazonaws.com%2Fpublic%2Fimages%2F1bb89b7f-05ac-462e-ab0c-16fe1503a2b1_610x520.png 424w, https://substackcdn.com/image/fetch/$s_!uK8b!,w_848,c_limit,f_auto,q_auto:good,fl_progressive:steep/https%3A%2F%2Fsubstack-post-media.s3.amazonaws.com%2Fpublic%2Fimages%2F1bb89b7f-05ac-462e-ab0c-16fe1503a2b1_610x520.png 848w, https://substackcdn.com/image/fetch/$s_!uK8b!,w_1272,c_limit,f_auto,q_auto:good,fl_progressive:steep/https%3A%2F%2Fsubstack-post-media.s3.amazonaws.com%2Fpublic%2Fimages%2F1bb89b7f-05ac-462e-ab0c-16fe1503a2b1_610x520.png 1272w, https://substackcdn.com/image/fetch/$s_!uK8b!,w_1456,c_limit,f_auto,q_auto:good,fl_progressive:steep/https%3A%2F%2Fsubstack-post-media.s3.amazonaws.com%2Fpublic%2Fimages%2F1bb89b7f-05ac-462e-ab0c-16fe1503a2b1_610x520.png 1456w" sizes="100vw" loading="lazy"></picture><div class="image-link-expand"><div class="pencraft pc-display-flex pc-gap-8 pc-reset"><button tabindex="0" type="button" class="pencraft pc-reset pencraft icon-container restack-image"><svg role="img" width="20" height="20" viewBox="0 0 20 20" fill="none" stroke-width="1.5" stroke="var(--color-fg-primary)" stroke-linecap="round" stroke-linejoin="round" xmlns="http://www.w3.org/2000/svg"><g><title></title><path d="M2.53001 7.81595C3.49179 4.73911 6.43281 2.5 9.91173 2.5C13.1684 2.5 15.9537 4.46214 17.0852 7.23684L17.6179 8.67647M17.6179 8.67647L18.5002 4.26471M17.6179 8.67647L13.6473 6.91176M17.4995 12.1841C16.5378 15.2609 13.5967 17.5 10.1178 17.5C6.86118 17.5 4.07589 15.5379 2.94432 12.7632L2.41165 11.3235M2.41165 11.3235L1.5293 15.7353M2.41165 11.3235L6.38224 13.0882"></path></g></svg></button><button tabindex="0" type="button" class="pencraft pc-reset pencraft icon-container view-image"><svg xmlns="http://www.w3.org/2000/svg" width="20" height="20" viewBox="0 0 24 24" fill="none" stroke="currentColor" stroke-width="2" stroke-linecap="round" stroke-linejoin="round" class="lucide lucide-maximize2 lucide-maximize-2"><polyline points="15 3 21 3 21 9"></polyline><polyline points="9 21 3 21 3 15"></polyline><line x1="21" x2="14" y1="3" y2="10"></line><line x1="3" x2="10" y1="21" y2="14"></line></svg></button></div></div></div></a></figure></div><p><strong>FEP</strong> and <strong>PTFE</strong> are the most preferred fluoropolymer insulation materials for electrical heat tracing systems due to their high temperature tolerance, chemical resistance, UV resistance, flame retardancy, and electrical efficiency.</p><p>PFA is a type of <strong>high-performance fluoropolymer</strong> characterized by its outstanding chemical resistance, high purity, and excellent temperature stability. Derived from the polymerization of perfluoropropyl vinyl ether, <strong>PFA shares similarities with FEP but boasts a higher working temperature, making it suitable for applications requiring advanced chemical resistance and elevated temperature performance, such as medical tubing, heat exchangers, semiconductor components, and various industrial uses</strong>. PFA is also one of the few plastics that are both suitable for high and low-temperature applications and can be used over the range of temperatures -268&#176;C to 260&#176;C. But it has higher cost than PTFE and FEP.</p><div class="captioned-image-container"><figure><a class="image-link image2" target="_blank" href="https://substackcdn.com/image/fetch/$s_!IzUb!,f_auto,q_auto:good,fl_progressive:steep/https%3A%2F%2Fsubstack-post-media.s3.amazonaws.com%2Fpublic%2Fimages%2F97f963ec-457f-4219-9cf4-3314aa79101e_248x187.png" data-component-name="Image2ToDOM"><div class="image2-inset"><picture><source type="image/webp" srcset="https://substackcdn.com/image/fetch/$s_!IzUb!,w_424,c_limit,f_webp,q_auto:good,fl_progressive:steep/https%3A%2F%2Fsubstack-post-media.s3.amazonaws.com%2Fpublic%2Fimages%2F97f963ec-457f-4219-9cf4-3314aa79101e_248x187.png 424w, https://substackcdn.com/image/fetch/$s_!IzUb!,w_848,c_limit,f_webp,q_auto:good,fl_progressive:steep/https%3A%2F%2Fsubstack-post-media.s3.amazonaws.com%2Fpublic%2Fimages%2F97f963ec-457f-4219-9cf4-3314aa79101e_248x187.png 848w, https://substackcdn.com/image/fetch/$s_!IzUb!,w_1272,c_limit,f_webp,q_auto:good,fl_progressive:steep/https%3A%2F%2Fsubstack-post-media.s3.amazonaws.com%2Fpublic%2Fimages%2F97f963ec-457f-4219-9cf4-3314aa79101e_248x187.png 1272w, https://substackcdn.com/image/fetch/$s_!IzUb!,w_1456,c_limit,f_webp,q_auto:good,fl_progressive:steep/https%3A%2F%2Fsubstack-post-media.s3.amazonaws.com%2Fpublic%2Fimages%2F97f963ec-457f-4219-9cf4-3314aa79101e_248x187.png 1456w" sizes="100vw"><img src="https://substackcdn.com/image/fetch/$s_!IzUb!,w_1456,c_limit,f_auto,q_auto:good,fl_progressive:steep/https%3A%2F%2Fsubstack-post-media.s3.amazonaws.com%2Fpublic%2Fimages%2F97f963ec-457f-4219-9cf4-3314aa79101e_248x187.png" width="248" height="187" data-attrs="{&quot;src&quot;:&quot;https://substack-post-media.s3.amazonaws.com/public/images/97f963ec-457f-4219-9cf4-3314aa79101e_248x187.png&quot;,&quot;srcNoWatermark&quot;:null,&quot;fullscreen&quot;:null,&quot;imageSize&quot;:null,&quot;height&quot;:187,&quot;width&quot;:248,&quot;resizeWidth&quot;:null,&quot;bytes&quot;:53380,&quot;alt&quot;:null,&quot;title&quot;:null,&quot;type&quot;:&quot;image/png&quot;,&quot;href&quot;:null,&quot;belowTheFold&quot;:true,&quot;topImage&quot;:false,&quot;internalRedirect&quot;:&quot;https://www.precisionnewsletter.com/i/159003299?img=https%3A%2F%2Fsubstack-post-media.s3.amazonaws.com%2Fpublic%2Fimages%2F97f963ec-457f-4219-9cf4-3314aa79101e_248x187.png&quot;,&quot;isProcessing&quot;:false,&quot;align&quot;:null,&quot;offset&quot;:false}" class="sizing-normal" alt="" srcset="https://substackcdn.com/image/fetch/$s_!IzUb!,w_424,c_limit,f_auto,q_auto:good,fl_progressive:steep/https%3A%2F%2Fsubstack-post-media.s3.amazonaws.com%2Fpublic%2Fimages%2F97f963ec-457f-4219-9cf4-3314aa79101e_248x187.png 424w, https://substackcdn.com/image/fetch/$s_!IzUb!,w_848,c_limit,f_auto,q_auto:good,fl_progressive:steep/https%3A%2F%2Fsubstack-post-media.s3.amazonaws.com%2Fpublic%2Fimages%2F97f963ec-457f-4219-9cf4-3314aa79101e_248x187.png 848w, https://substackcdn.com/image/fetch/$s_!IzUb!,w_1272,c_limit,f_auto,q_auto:good,fl_progressive:steep/https%3A%2F%2Fsubstack-post-media.s3.amazonaws.com%2Fpublic%2Fimages%2F97f963ec-457f-4219-9cf4-3314aa79101e_248x187.png 1272w, https://substackcdn.com/image/fetch/$s_!IzUb!,w_1456,c_limit,f_auto,q_auto:good,fl_progressive:steep/https%3A%2F%2Fsubstack-post-media.s3.amazonaws.com%2Fpublic%2Fimages%2F97f963ec-457f-4219-9cf4-3314aa79101e_248x187.png 1456w" sizes="100vw" loading="lazy"></picture><div></div></div></a></figure></div><div class="captioned-image-container"><figure><a class="image-link image2" target="_blank" href="https://substackcdn.com/image/fetch/$s_!jVnp!,f_auto,q_auto:good,fl_progressive:steep/https%3A%2F%2Fsubstack-post-media.s3.amazonaws.com%2Fpublic%2Fimages%2Fe892a43c-8065-4421-83fb-0508d98e123a_564x469.jpeg" data-component-name="Image2ToDOM"><div class="image2-inset"><picture><source type="image/webp" srcset="https://substackcdn.com/image/fetch/$s_!jVnp!,w_424,c_limit,f_webp,q_auto:good,fl_progressive:steep/https%3A%2F%2Fsubstack-post-media.s3.amazonaws.com%2Fpublic%2Fimages%2Fe892a43c-8065-4421-83fb-0508d98e123a_564x469.jpeg 424w, https://substackcdn.com/image/fetch/$s_!jVnp!,w_848,c_limit,f_webp,q_auto:good,fl_progressive:steep/https%3A%2F%2Fsubstack-post-media.s3.amazonaws.com%2Fpublic%2Fimages%2Fe892a43c-8065-4421-83fb-0508d98e123a_564x469.jpeg 848w, https://substackcdn.com/image/fetch/$s_!jVnp!,w_1272,c_limit,f_webp,q_auto:good,fl_progressive:steep/https%3A%2F%2Fsubstack-post-media.s3.amazonaws.com%2Fpublic%2Fimages%2Fe892a43c-8065-4421-83fb-0508d98e123a_564x469.jpeg 1272w, https://substackcdn.com/image/fetch/$s_!jVnp!,w_1456,c_limit,f_webp,q_auto:good,fl_progressive:steep/https%3A%2F%2Fsubstack-post-media.s3.amazonaws.com%2Fpublic%2Fimages%2Fe892a43c-8065-4421-83fb-0508d98e123a_564x469.jpeg 1456w" sizes="100vw"><img src="https://substackcdn.com/image/fetch/$s_!jVnp!,w_1456,c_limit,f_auto,q_auto:good,fl_progressive:steep/https%3A%2F%2Fsubstack-post-media.s3.amazonaws.com%2Fpublic%2Fimages%2Fe892a43c-8065-4421-83fb-0508d98e123a_564x469.jpeg" width="246" height="204.56382978723406" data-attrs="{&quot;src&quot;:&quot;https://substack-post-media.s3.amazonaws.com/public/images/e892a43c-8065-4421-83fb-0508d98e123a_564x469.jpeg&quot;,&quot;srcNoWatermark&quot;:null,&quot;fullscreen&quot;:null,&quot;imageSize&quot;:null,&quot;height&quot;:469,&quot;width&quot;:564,&quot;resizeWidth&quot;:246,&quot;bytes&quot;:31582,&quot;alt&quot;:null,&quot;title&quot;:null,&quot;type&quot;:&quot;image/jpeg&quot;,&quot;href&quot;:null,&quot;belowTheFold&quot;:true,&quot;topImage&quot;:false,&quot;internalRedirect&quot;:&quot;https://www.precisionnewsletter.com/i/159003299?img=https%3A%2F%2Fsubstack-post-media.s3.amazonaws.com%2Fpublic%2Fimages%2Fe892a43c-8065-4421-83fb-0508d98e123a_564x469.jpeg&quot;,&quot;isProcessing&quot;:false,&quot;align&quot;:null,&quot;offset&quot;:false}" class="sizing-normal" alt="" srcset="https://substackcdn.com/image/fetch/$s_!jVnp!,w_424,c_limit,f_auto,q_auto:good,fl_progressive:steep/https%3A%2F%2Fsubstack-post-media.s3.amazonaws.com%2Fpublic%2Fimages%2Fe892a43c-8065-4421-83fb-0508d98e123a_564x469.jpeg 424w, https://substackcdn.com/image/fetch/$s_!jVnp!,w_848,c_limit,f_auto,q_auto:good,fl_progressive:steep/https%3A%2F%2Fsubstack-post-media.s3.amazonaws.com%2Fpublic%2Fimages%2Fe892a43c-8065-4421-83fb-0508d98e123a_564x469.jpeg 848w, https://substackcdn.com/image/fetch/$s_!jVnp!,w_1272,c_limit,f_auto,q_auto:good,fl_progressive:steep/https%3A%2F%2Fsubstack-post-media.s3.amazonaws.com%2Fpublic%2Fimages%2Fe892a43c-8065-4421-83fb-0508d98e123a_564x469.jpeg 1272w, https://substackcdn.com/image/fetch/$s_!jVnp!,w_1456,c_limit,f_auto,q_auto:good,fl_progressive:steep/https%3A%2F%2Fsubstack-post-media.s3.amazonaws.com%2Fpublic%2Fimages%2Fe892a43c-8065-4421-83fb-0508d98e123a_564x469.jpeg 1456w" sizes="100vw" loading="lazy"></picture><div></div></div></a></figure></div><h4><strong>Comparison of Internal and External Insulation Materials</strong></h4><h4><strong>1) Internal Insulation Materials:</strong></h4><p><strong>Thermoplastic materials</strong> such as Polyvinyl Chloride (PVC) and Polyurethane (PUR) are commonly used for internal insulation. These materials provide good electrical insulation and heat retention around the heating element.</p><h4><strong>2) External Insulation Materials:</strong></h4><p>For <strong>external insulation</strong>, <strong>fluoropolymers</strong> such as <strong>FEP (Fluorinated Ethylene Propylene)</strong> and <strong>PTFE (Polytetrafluoroethylene)</strong> are often preferred due to their high-temperature resistance, chemical resistance, and UV protection.</p><blockquote><p>o <strong>FEP</strong>: Offers excellent UV resistance, chemical resistance, and can maintain high thermal stability, making it ideal for external insulation in harsh environments.</p><p>o <strong>PTFE</strong>: Highly resistant to heat, chemicals, and abrasion, making it suitable for protecting the cable from environmental exposure, ensuring that the heating system remains effective even under extreme conditions.</p></blockquote><h4><strong>Electrical Insulation Materials in various heating cables</strong></h4><h4><strong>Polymeric Core Materials:</strong></h4><p>In flexible Series Resistance heat tracing use <strong>fluoropolymer</strong> which is rated for <strong>600 Vac</strong> and can withstand continuous exposure to temperatures up to <strong>500&#176;F</strong> when the cable is de-energized. Additionally, for temperatures greater than <strong>400&#176;F</strong>, the cable shall have a <strong>fiberglass composite</strong> between the conductor and the jacket .(refer to sample pdf mentioned in references). This material has a significant role in controlling the heat output and maintaining uniform temperature across the cable. The polymeric core materials respond to temperature changes by altering the resistance, thus regulating the power output as the temperature changes.</p><ul><li><p><strong>Fluoropolymer Outer Jacket (e.g., Modified Polyolefins)</strong>: These materials protect the <strong>internal components of the heating cable</strong> from environmental factors such as chemicals, UV radiation, and mechanical stress. The fluoropolymer outer jacket is particularly effective at providing resistance to chemical attacks, weathering, and abrasion. It ensures that the heating cable remains durable and functional even in harsh industrial environments.<br>For higher applications, <strong>MI(Mineral Insulated)</strong> heating cables use <strong>Magnesium oxide</strong> MgO as an internal insulation, designed to operate at temperatures above <strong>300&#176;F</strong> (150&#176;C). <br>All heat-tracing applications with continuous operating (maintain) temperatures above 300&#176;F (150&#176;C) to 455&#176;F (230&#176;C), depending on power output required, or intermittent exposure temperatures above 500&#176;F (260&#176;C) shall use factory-terminated, mineral insulated (MI) cables.These cables provide excellent heat resistance and long-term reliability.</p></li></ul><p>Power-limiting heating cable shall use a metallic heating element that varies its power output relative to the temperature of the surface of the pipe or the vessel. The cable shall be a parallel-zoned heating cable with a positive temperature coefficient heating element spirally wound around a <strong>flexible glass fiber core</strong> (fiber glass is used for core insulation).</p><p><strong>Raychem</strong> self-regulating heating cables often use <strong>FEP (Fluorinated Ethylene Propylene)</strong> as the external insulation. These cables are used in chemical processing plants, oil pipelines, and food processing industries. <strong>Raychem's XTV and KTV series cables </strong>use fluoropolymer-based materials, such as FEP or PTFE, as external jackets. These cables are used for high-temperature applications where flexibility and protection against moisture and abrasion are critical.</p><ul><li><p><strong>Silicone</strong> is used as an external insulation material in some heat trace cables. These cables are designed to withstand <strong>extreme cold temperatures</strong> and provide flexibility in applications where low temperature is a concern. The <strong>silicone insulation</strong> provides excellent <strong>heat resistance</strong>, with a maximum operating temperature of <strong>200&#176;C (392&#176;F)</strong> and a minimum of <strong>-30&#176;C (-22&#176;F)</strong>, making it ideal for <strong>high-temperature and flexible heating applications</strong>.</p></li></ul><div class="captioned-image-container"><figure><a class="image-link image2 is-viewable-img" target="_blank" href="https://substackcdn.com/image/fetch/$s_!Se_Z!,f_auto,q_auto:good,fl_progressive:steep/https%3A%2F%2Fsubstack-post-media.s3.amazonaws.com%2Fpublic%2Fimages%2F1ae6f3f7-6731-4718-94e9-14dcd764c90e_163x297.jpeg" data-component-name="Image2ToDOM"><div class="image2-inset"><picture><source type="image/webp" srcset="https://substackcdn.com/image/fetch/$s_!Se_Z!,w_424,c_limit,f_webp,q_auto:good,fl_progressive:steep/https%3A%2F%2Fsubstack-post-media.s3.amazonaws.com%2Fpublic%2Fimages%2F1ae6f3f7-6731-4718-94e9-14dcd764c90e_163x297.jpeg 424w, https://substackcdn.com/image/fetch/$s_!Se_Z!,w_848,c_limit,f_webp,q_auto:good,fl_progressive:steep/https%3A%2F%2Fsubstack-post-media.s3.amazonaws.com%2Fpublic%2Fimages%2F1ae6f3f7-6731-4718-94e9-14dcd764c90e_163x297.jpeg 848w, https://substackcdn.com/image/fetch/$s_!Se_Z!,w_1272,c_limit,f_webp,q_auto:good,fl_progressive:steep/https%3A%2F%2Fsubstack-post-media.s3.amazonaws.com%2Fpublic%2Fimages%2F1ae6f3f7-6731-4718-94e9-14dcd764c90e_163x297.jpeg 1272w, https://substackcdn.com/image/fetch/$s_!Se_Z!,w_1456,c_limit,f_webp,q_auto:good,fl_progressive:steep/https%3A%2F%2Fsubstack-post-media.s3.amazonaws.com%2Fpublic%2Fimages%2F1ae6f3f7-6731-4718-94e9-14dcd764c90e_163x297.jpeg 1456w" sizes="100vw"><img src="https://substackcdn.com/image/fetch/$s_!Se_Z!,w_1456,c_limit,f_auto,q_auto:good,fl_progressive:steep/https%3A%2F%2Fsubstack-post-media.s3.amazonaws.com%2Fpublic%2Fimages%2F1ae6f3f7-6731-4718-94e9-14dcd764c90e_163x297.jpeg" width="163" height="297" data-attrs="{&quot;src&quot;:&quot;https://substack-post-media.s3.amazonaws.com/public/images/1ae6f3f7-6731-4718-94e9-14dcd764c90e_163x297.jpeg&quot;,&quot;srcNoWatermark&quot;:null,&quot;fullscreen&quot;:null,&quot;imageSize&quot;:null,&quot;height&quot;:297,&quot;width&quot;:163,&quot;resizeWidth&quot;:null,&quot;bytes&quot;:7314,&quot;alt&quot;:null,&quot;title&quot;:null,&quot;type&quot;:&quot;image/jpeg&quot;,&quot;href&quot;:null,&quot;belowTheFold&quot;:true,&quot;topImage&quot;:false,&quot;internalRedirect&quot;:&quot;https://www.precisionnewsletter.com/i/159003299?img=https%3A%2F%2Fsubstack-post-media.s3.amazonaws.com%2Fpublic%2Fimages%2F1ae6f3f7-6731-4718-94e9-14dcd764c90e_163x297.jpeg&quot;,&quot;isProcessing&quot;:false,&quot;align&quot;:null,&quot;offset&quot;:false}" class="sizing-normal" alt="" srcset="https://substackcdn.com/image/fetch/$s_!Se_Z!,w_424,c_limit,f_auto,q_auto:good,fl_progressive:steep/https%3A%2F%2Fsubstack-post-media.s3.amazonaws.com%2Fpublic%2Fimages%2F1ae6f3f7-6731-4718-94e9-14dcd764c90e_163x297.jpeg 424w, https://substackcdn.com/image/fetch/$s_!Se_Z!,w_848,c_limit,f_auto,q_auto:good,fl_progressive:steep/https%3A%2F%2Fsubstack-post-media.s3.amazonaws.com%2Fpublic%2Fimages%2F1ae6f3f7-6731-4718-94e9-14dcd764c90e_163x297.jpeg 848w, https://substackcdn.com/image/fetch/$s_!Se_Z!,w_1272,c_limit,f_auto,q_auto:good,fl_progressive:steep/https%3A%2F%2Fsubstack-post-media.s3.amazonaws.com%2Fpublic%2Fimages%2F1ae6f3f7-6731-4718-94e9-14dcd764c90e_163x297.jpeg 1272w, https://substackcdn.com/image/fetch/$s_!Se_Z!,w_1456,c_limit,f_auto,q_auto:good,fl_progressive:steep/https%3A%2F%2Fsubstack-post-media.s3.amazonaws.com%2Fpublic%2Fimages%2F1ae6f3f7-6731-4718-94e9-14dcd764c90e_163x297.jpeg 1456w" sizes="100vw" loading="lazy"></picture><div class="image-link-expand"><div class="pencraft pc-display-flex pc-gap-8 pc-reset"><button tabindex="0" type="button" class="pencraft pc-reset pencraft icon-container restack-image"><svg role="img" width="20" height="20" viewBox="0 0 20 20" fill="none" stroke-width="1.5" stroke="var(--color-fg-primary)" stroke-linecap="round" stroke-linejoin="round" xmlns="http://www.w3.org/2000/svg"><g><title></title><path d="M2.53001 7.81595C3.49179 4.73911 6.43281 2.5 9.91173 2.5C13.1684 2.5 15.9537 4.46214 17.0852 7.23684L17.6179 8.67647M17.6179 8.67647L18.5002 4.26471M17.6179 8.67647L13.6473 6.91176M17.4995 12.1841C16.5378 15.2609 13.5967 17.5 10.1178 17.5C6.86118 17.5 4.07589 15.5379 2.94432 12.7632L2.41165 11.3235M2.41165 11.3235L1.5293 15.7353M2.41165 11.3235L6.38224 13.0882"></path></g></svg></button><button tabindex="0" type="button" class="pencraft pc-reset pencraft icon-container view-image"><svg xmlns="http://www.w3.org/2000/svg" width="20" height="20" viewBox="0 0 24 24" fill="none" stroke="currentColor" stroke-width="2" stroke-linecap="round" stroke-linejoin="round" class="lucide lucide-maximize2 lucide-maximize-2"><polyline points="15 3 21 3 21 9"></polyline><polyline points="9 21 3 21 3 15"></polyline><line x1="21" x2="14" y1="3" y2="10"></line><line x1="3" x2="10" y1="21" y2="14"></line></svg></button></div></div></div></a><figcaption class="image-caption">Silicone insulated heating cable</figcaption></figure></div><div><hr></div><h4><strong>Conclusion</strong></h4><p>The silent yet essential layers of insulation within heating cables not only ensure safe operation but also drive their efficiency, longevity, and resilience in the face of the harshest conditions. Through this comparative study, we see how the choice of materials&#8212;whether plastic, rubber, or fluoropolymer&#8212;has profound implications on the cable&#8217;s ability to withstand extreme temperatures, mechanical stress, and environmental threats. <strong>Internal insulation</strong> materials govern the power distribution and safety of the system, while <strong>external insulation</strong> shields the cable from the elements, ensuring continuous, uninterrupted performance. From the durability of <strong>Neoprene</strong> to the high-performance capabilities of <strong>FEP</strong>, these materials are the backbone of reliable heating cable systems that not only perform effectively but do so safely for years to come.</p><h4><strong>References</strong></h4><p><em>Silicone cable characteristics</em></p><ul><li><p><a href="http://&#8226;&#9;https://www.galaxywire.com/custom-wire-cable/jacket-insulation/tpr-thermoplastic-rubber/">https://www.galaxywire.com/custom-wire-cable/jacket-insulation/tpr-thermoplastic-rubber/</a></p></li><li><p><a href="https://aeincable.en.made-in-china.com/product/TOYfgXlcOaAV/China-Flame-Retardant-Curly-Flex-Cable-Rubber-Sheathed-TPR-Cable-300-500V.html">https://aeincable.en.made-in-china.com/product/TOYfgXlcOaAV/China-Flame-Retardant-Curly-Flex-Cable-Rubber-Sheathed-TPR-Cable-300-500V.html</a></p></li><li><p><a href="https://peaksensors.com/blog/technical-information/ptfe-fep-pfa-differences-definitions/?srsltid=AfmBOorp8oI5sEDNvWEs2WQZrR0WHy_AB0cSXCchPV3XvneklF8ms9Gr">https://peaksensors.com/blog/technical-information/ptfe-fep-pfa-differences-definitions/?srsltid=AfmBOorp8oI5sEDNvWEs2WQZrR0WHy_AB0cSXCchPV3XvneklF8ms9Gr</a></p><p></p></li></ul><div class="subscription-widget-wrap-editor" data-attrs="{&quot;url&quot;:&quot;https://www.precisionnewsletter.com/subscribe?&quot;,&quot;text&quot;:&quot;Subscribe&quot;,&quot;language&quot;:&quot;en&quot;}" data-component-name="SubscribeWidgetToDOM"><div class="subscription-widget show-subscribe"><div class="preamble"><p class="cta-caption">Thanks for reading Precision Newsletter! Subscribe for free to receive new posts and support my work.</p></div><form class="subscription-widget-subscribe"><input type="email" class="email-input" name="email" placeholder="Type your email&#8230;" tabindex="-1"><input type="submit" class="button primary" value="Subscribe"><div class="fake-input-wrapper"><div class="fake-input"></div><div class="fake-button"></div></div></form></div></div>]]></content:encoded></item><item><title><![CDATA[Role of Thermal Insulation Materials in Heating Cables: A Comparative Study of Fiberglass and Mineral Wool as an Internal or External Insulation]]></title><description><![CDATA[Ever wondered how the right insulation could make your heating cables work smarter, not harder?]]></description><link>https://www.precisionnewsletter.com/p/role-of-thermal-insulation-materials</link><guid isPermaLink="false">https://www.precisionnewsletter.com/p/role-of-thermal-insulation-materials</guid><dc:creator><![CDATA[Jinwook Jung]]></dc:creator><pubDate>Fri, 04 Apr 2025 10:25:27 GMT</pubDate><enclosure url="https://substack-post-media.s3.amazonaws.com/public/images/7b9860c7-2210-4d42-897f-f8683d540db1_704x1408.jpeg" length="0" type="image/jpeg"/><content:encoded><![CDATA[<h3><strong>Abstract</strong></h3><p>In electrical heat tracing systems, the choice of thermal insulation materials plays a pivotal role in enhancing efficiency and performance. This article explores the importance of thermal insulation in heating cables, focusing on the internal and external part of cable, materials that help retain heat and protect the system from environmental elements. By materials like fiberglass, mineral wool, we highlight how each contributes to minimizing energy loss, preventing damage, and optimizing heating performance. The study provides insights into the unique advantages of thermal insulation materials, guiding readers to understand how proper insulation can lead to smarter, more effective heating solutions.</p><h4><strong>Introduction</strong></h4><p>Insulation materials in heating cables are typically applied in two primary areas: <strong>internally</strong>, to protect the conductive core and prevent heat dissipation, and <strong>externally</strong>, to shield the cable from environmental factors and mechanical stress. Understanding the properties of different thermal insulation materials and their applications is essential for selecting the right material to optimize the heating cable's performance.</p><div class="subscription-widget-wrap-editor" data-attrs="{&quot;url&quot;:&quot;https://www.precisionnewsletter.com/subscribe?&quot;,&quot;text&quot;:&quot;Subscribe&quot;,&quot;language&quot;:&quot;en&quot;}" data-component-name="SubscribeWidgetToDOM"><div class="subscription-widget show-subscribe"><div class="preamble"><p class="cta-caption">Thanks for reading Precision Newsletter! Subscribe for free to receive new posts and support my work.</p></div><form class="subscription-widget-subscribe"><input type="email" class="email-input" name="email" placeholder="Type your email&#8230;" tabindex="-1"><input type="submit" class="button primary" value="Subscribe"><div class="fake-input-wrapper"><div class="fake-input"></div><div class="fake-button"></div></div></form></div></div><p>Key factors such as thermal conductivity(k), temperature resistance, and mechanical properties are explored to identify the most suitable materials for industrial and residential applications.</p><div class="captioned-image-container"><figure><a class="image-link image2 is-viewable-img" target="_blank" href="https://substackcdn.com/image/fetch/$s_!x0jJ!,f_auto,q_auto:good,fl_progressive:steep/https%3A%2F%2Fsubstack-post-media.s3.amazonaws.com%2Fpublic%2Fimages%2F559fee98-879b-4d1e-96fb-bdc983284400_374x248.jpeg" data-component-name="Image2ToDOM"><div class="image2-inset"><picture><source type="image/webp" srcset="https://substackcdn.com/image/fetch/$s_!x0jJ!,w_424,c_limit,f_webp,q_auto:good,fl_progressive:steep/https%3A%2F%2Fsubstack-post-media.s3.amazonaws.com%2Fpublic%2Fimages%2F559fee98-879b-4d1e-96fb-bdc983284400_374x248.jpeg 424w, https://substackcdn.com/image/fetch/$s_!x0jJ!,w_848,c_limit,f_webp,q_auto:good,fl_progressive:steep/https%3A%2F%2Fsubstack-post-media.s3.amazonaws.com%2Fpublic%2Fimages%2F559fee98-879b-4d1e-96fb-bdc983284400_374x248.jpeg 848w, https://substackcdn.com/image/fetch/$s_!x0jJ!,w_1272,c_limit,f_webp,q_auto:good,fl_progressive:steep/https%3A%2F%2Fsubstack-post-media.s3.amazonaws.com%2Fpublic%2Fimages%2F559fee98-879b-4d1e-96fb-bdc983284400_374x248.jpeg 1272w, https://substackcdn.com/image/fetch/$s_!x0jJ!,w_1456,c_limit,f_webp,q_auto:good,fl_progressive:steep/https%3A%2F%2Fsubstack-post-media.s3.amazonaws.com%2Fpublic%2Fimages%2F559fee98-879b-4d1e-96fb-bdc983284400_374x248.jpeg 1456w" sizes="100vw"><img src="https://substackcdn.com/image/fetch/$s_!x0jJ!,w_1456,c_limit,f_auto,q_auto:good,fl_progressive:steep/https%3A%2F%2Fsubstack-post-media.s3.amazonaws.com%2Fpublic%2Fimages%2F559fee98-879b-4d1e-96fb-bdc983284400_374x248.jpeg" width="374" height="248" data-attrs="{&quot;src&quot;:&quot;https://substack-post-media.s3.amazonaws.com/public/images/559fee98-879b-4d1e-96fb-bdc983284400_374x248.jpeg&quot;,&quot;srcNoWatermark&quot;:null,&quot;fullscreen&quot;:null,&quot;imageSize&quot;:null,&quot;height&quot;:248,&quot;width&quot;:374,&quot;resizeWidth&quot;:null,&quot;bytes&quot;:8939,&quot;alt&quot;:null,&quot;title&quot;:null,&quot;type&quot;:&quot;image/jpeg&quot;,&quot;href&quot;:null,&quot;belowTheFold&quot;:false,&quot;topImage&quot;:true,&quot;internalRedirect&quot;:&quot;https://www.precisionnewsletter.com/i/159008852?img=https%3A%2F%2Fsubstack-post-media.s3.amazonaws.com%2Fpublic%2Fimages%2F559fee98-879b-4d1e-96fb-bdc983284400_374x248.jpeg&quot;,&quot;isProcessing&quot;:false,&quot;align&quot;:null,&quot;offset&quot;:false}" class="sizing-normal" alt="" srcset="https://substackcdn.com/image/fetch/$s_!x0jJ!,w_424,c_limit,f_auto,q_auto:good,fl_progressive:steep/https%3A%2F%2Fsubstack-post-media.s3.amazonaws.com%2Fpublic%2Fimages%2F559fee98-879b-4d1e-96fb-bdc983284400_374x248.jpeg 424w, https://substackcdn.com/image/fetch/$s_!x0jJ!,w_848,c_limit,f_auto,q_auto:good,fl_progressive:steep/https%3A%2F%2Fsubstack-post-media.s3.amazonaws.com%2Fpublic%2Fimages%2F559fee98-879b-4d1e-96fb-bdc983284400_374x248.jpeg 848w, https://substackcdn.com/image/fetch/$s_!x0jJ!,w_1272,c_limit,f_auto,q_auto:good,fl_progressive:steep/https%3A%2F%2Fsubstack-post-media.s3.amazonaws.com%2Fpublic%2Fimages%2F559fee98-879b-4d1e-96fb-bdc983284400_374x248.jpeg 1272w, https://substackcdn.com/image/fetch/$s_!x0jJ!,w_1456,c_limit,f_auto,q_auto:good,fl_progressive:steep/https%3A%2F%2Fsubstack-post-media.s3.amazonaws.com%2Fpublic%2Fimages%2F559fee98-879b-4d1e-96fb-bdc983284400_374x248.jpeg 1456w" sizes="100vw" fetchpriority="high"></picture><div class="image-link-expand"><div class="pencraft pc-display-flex pc-gap-8 pc-reset"><button tabindex="0" type="button" class="pencraft pc-reset pencraft icon-container restack-image"><svg role="img" width="20" height="20" viewBox="0 0 20 20" fill="none" stroke-width="1.5" stroke="var(--color-fg-primary)" stroke-linecap="round" stroke-linejoin="round" xmlns="http://www.w3.org/2000/svg"><g><title></title><path d="M2.53001 7.81595C3.49179 4.73911 6.43281 2.5 9.91173 2.5C13.1684 2.5 15.9537 4.46214 17.0852 7.23684L17.6179 8.67647M17.6179 8.67647L18.5002 4.26471M17.6179 8.67647L13.6473 6.91176M17.4995 12.1841C16.5378 15.2609 13.5967 17.5 10.1178 17.5C6.86118 17.5 4.07589 15.5379 2.94432 12.7632L2.41165 11.3235M2.41165 11.3235L1.5293 15.7353M2.41165 11.3235L6.38224 13.0882"></path></g></svg></button><button tabindex="0" type="button" class="pencraft pc-reset pencraft icon-container view-image"><svg xmlns="http://www.w3.org/2000/svg" width="20" height="20" viewBox="0 0 24 24" fill="none" stroke="currentColor" stroke-width="2" stroke-linecap="round" stroke-linejoin="round" class="lucide lucide-maximize2 lucide-maximize-2"><polyline points="15 3 21 3 21 9"></polyline><polyline points="9 21 3 21 3 15"></polyline><line x1="21" x2="14" y1="3" y2="10"></line><line x1="3" x2="10" y1="21" y2="14"></line></svg></button></div></div></div></a></figure></div><h4><strong>Thermal Insulation Materials</strong></h4><p>In electrical heat tracing systems, especially cables, thermal insulation works by minimizing heat loss and ensuring efficient energy use. The principle of thermal insulation in heating cables involves reducing heat transfer through <strong>conduction, convection, and radiation</strong>.</p><p><strong>Conduction</strong> is controlled by using materials with low thermal conductivity, which prevents the heat from escaping along the cable. <strong>Convection</strong> is reduced by the insulation filling any gaps or cavities, limiting air movement and reducing heat dissipation. Finally, <strong>radiation</strong> is managed by using reflective materials that direct heat back into the system. By effectively retaining heat within the cable, thermal insulation helps improve the energy efficiency and performance of electrical heat tracing systems.</p><p>While there are indeed several thermal insulation materials that exhibit good thermal properties, <strong>not all of them are suitable for high-temperature environments</strong> like those encountered in <strong>electrical heat tracing systems</strong>. Materials like <strong>polystyrene</strong>, <strong>polyurethane foam</strong>, and <strong>cellulose</strong> are great for <strong>lower-temperature applications</strong>, but they struggle in <strong>high-heat environments</strong> due to limitations in their <strong>temperature resistance</strong>, <strong>fire resistance</strong>, and <strong>mechanical durability</strong>.</p><p>However, when it comes to <strong>high-temperature environments</strong>, <strong>mineral wool</strong> and <strong>fiberglass</strong> are <strong>excellent choices</strong>. These materials have been specifically engineered to withstand high temperatures, offering both <strong>thermal insulation</strong> and <strong>fire resistance</strong>.</p><h4><strong>Composition of Thermal Insulation Materials</strong></h4><ul><li><p><strong>Fiberglass</strong> is a type of <strong>insulation material</strong> made from <strong>fine fibers of glass</strong>. The process involves melting <strong>sand</strong>, <strong>soda lime</strong>, and <strong>borax</strong> into a liquid form, which is then spun into thin fibers. These fibers are woven into a mat or blanket, depending on the application. Fiberglass can also be combined with <strong>resins</strong> to form rigid boards or batts. <strong>Fiberglass</strong> is composed primarily of silica (sand), with added boron and alumina to improve its thermal stability, fire resistance, and mechanical properties.</p></li></ul><p><strong>Mineral wool</strong> is made from basalt rock, slag, and sometimes limestone, offering superior resistance to high temperatures and better soundproofing characteristics</p><div class="captioned-image-container"><figure><a class="image-link image2" target="_blank" href="https://substackcdn.com/image/fetch/$s_!c73G!,f_auto,q_auto:good,fl_progressive:steep/https%3A%2F%2Fsubstack-post-media.s3.amazonaws.com%2Fpublic%2Fimages%2F308f4107-25bd-4890-b7bb-e18f46946e7a_156x106.png" data-component-name="Image2ToDOM"><div class="image2-inset"><picture><source type="image/webp" srcset="https://substackcdn.com/image/fetch/$s_!c73G!,w_424,c_limit,f_webp,q_auto:good,fl_progressive:steep/https%3A%2F%2Fsubstack-post-media.s3.amazonaws.com%2Fpublic%2Fimages%2F308f4107-25bd-4890-b7bb-e18f46946e7a_156x106.png 424w, https://substackcdn.com/image/fetch/$s_!c73G!,w_848,c_limit,f_webp,q_auto:good,fl_progressive:steep/https%3A%2F%2Fsubstack-post-media.s3.amazonaws.com%2Fpublic%2Fimages%2F308f4107-25bd-4890-b7bb-e18f46946e7a_156x106.png 848w, https://substackcdn.com/image/fetch/$s_!c73G!,w_1272,c_limit,f_webp,q_auto:good,fl_progressive:steep/https%3A%2F%2Fsubstack-post-media.s3.amazonaws.com%2Fpublic%2Fimages%2F308f4107-25bd-4890-b7bb-e18f46946e7a_156x106.png 1272w, https://substackcdn.com/image/fetch/$s_!c73G!,w_1456,c_limit,f_webp,q_auto:good,fl_progressive:steep/https%3A%2F%2Fsubstack-post-media.s3.amazonaws.com%2Fpublic%2Fimages%2F308f4107-25bd-4890-b7bb-e18f46946e7a_156x106.png 1456w" sizes="100vw"><img src="https://substackcdn.com/image/fetch/$s_!c73G!,w_1456,c_limit,f_auto,q_auto:good,fl_progressive:steep/https%3A%2F%2Fsubstack-post-media.s3.amazonaws.com%2Fpublic%2Fimages%2F308f4107-25bd-4890-b7bb-e18f46946e7a_156x106.png" width="156" height="106" data-attrs="{&quot;src&quot;:&quot;https://substack-post-media.s3.amazonaws.com/public/images/308f4107-25bd-4890-b7bb-e18f46946e7a_156x106.png&quot;,&quot;srcNoWatermark&quot;:null,&quot;fullscreen&quot;:null,&quot;imageSize&quot;:null,&quot;height&quot;:106,&quot;width&quot;:156,&quot;resizeWidth&quot;:null,&quot;bytes&quot;:28448,&quot;alt&quot;:null,&quot;title&quot;:null,&quot;type&quot;:&quot;image/png&quot;,&quot;href&quot;:null,&quot;belowTheFold&quot;:true,&quot;topImage&quot;:false,&quot;internalRedirect&quot;:&quot;https://www.precisionnewsletter.com/i/159008852?img=https%3A%2F%2Fsubstack-post-media.s3.amazonaws.com%2Fpublic%2Fimages%2F308f4107-25bd-4890-b7bb-e18f46946e7a_156x106.png&quot;,&quot;isProcessing&quot;:false,&quot;align&quot;:null,&quot;offset&quot;:false}" class="sizing-normal" alt="" srcset="https://substackcdn.com/image/fetch/$s_!c73G!,w_424,c_limit,f_auto,q_auto:good,fl_progressive:steep/https%3A%2F%2Fsubstack-post-media.s3.amazonaws.com%2Fpublic%2Fimages%2F308f4107-25bd-4890-b7bb-e18f46946e7a_156x106.png 424w, https://substackcdn.com/image/fetch/$s_!c73G!,w_848,c_limit,f_auto,q_auto:good,fl_progressive:steep/https%3A%2F%2Fsubstack-post-media.s3.amazonaws.com%2Fpublic%2Fimages%2F308f4107-25bd-4890-b7bb-e18f46946e7a_156x106.png 848w, https://substackcdn.com/image/fetch/$s_!c73G!,w_1272,c_limit,f_auto,q_auto:good,fl_progressive:steep/https%3A%2F%2Fsubstack-post-media.s3.amazonaws.com%2Fpublic%2Fimages%2F308f4107-25bd-4890-b7bb-e18f46946e7a_156x106.png 1272w, https://substackcdn.com/image/fetch/$s_!c73G!,w_1456,c_limit,f_auto,q_auto:good,fl_progressive:steep/https%3A%2F%2Fsubstack-post-media.s3.amazonaws.com%2Fpublic%2Fimages%2F308f4107-25bd-4890-b7bb-e18f46946e7a_156x106.png 1456w" sizes="100vw" loading="lazy"></picture><div></div></div></a><figcaption class="image-caption">Fiberglass insulation material</figcaption></figure></div><div class="captioned-image-container"><figure><a class="image-link image2" target="_blank" href="https://substackcdn.com/image/fetch/$s_!5kBQ!,f_auto,q_auto:good,fl_progressive:steep/https%3A%2F%2Fsubstack-post-media.s3.amazonaws.com%2Fpublic%2Fimages%2F55c3fcf0-3b87-49bd-9d7a-4e3f0933fea6_247x124.jpeg" data-component-name="Image2ToDOM"><div class="image2-inset"><picture><source type="image/webp" srcset="https://substackcdn.com/image/fetch/$s_!5kBQ!,w_424,c_limit,f_webp,q_auto:good,fl_progressive:steep/https%3A%2F%2Fsubstack-post-media.s3.amazonaws.com%2Fpublic%2Fimages%2F55c3fcf0-3b87-49bd-9d7a-4e3f0933fea6_247x124.jpeg 424w, https://substackcdn.com/image/fetch/$s_!5kBQ!,w_848,c_limit,f_webp,q_auto:good,fl_progressive:steep/https%3A%2F%2Fsubstack-post-media.s3.amazonaws.com%2Fpublic%2Fimages%2F55c3fcf0-3b87-49bd-9d7a-4e3f0933fea6_247x124.jpeg 848w, https://substackcdn.com/image/fetch/$s_!5kBQ!,w_1272,c_limit,f_webp,q_auto:good,fl_progressive:steep/https%3A%2F%2Fsubstack-post-media.s3.amazonaws.com%2Fpublic%2Fimages%2F55c3fcf0-3b87-49bd-9d7a-4e3f0933fea6_247x124.jpeg 1272w, https://substackcdn.com/image/fetch/$s_!5kBQ!,w_1456,c_limit,f_webp,q_auto:good,fl_progressive:steep/https%3A%2F%2Fsubstack-post-media.s3.amazonaws.com%2Fpublic%2Fimages%2F55c3fcf0-3b87-49bd-9d7a-4e3f0933fea6_247x124.jpeg 1456w" sizes="100vw"><img src="https://substackcdn.com/image/fetch/$s_!5kBQ!,w_1456,c_limit,f_auto,q_auto:good,fl_progressive:steep/https%3A%2F%2Fsubstack-post-media.s3.amazonaws.com%2Fpublic%2Fimages%2F55c3fcf0-3b87-49bd-9d7a-4e3f0933fea6_247x124.jpeg" width="247" height="124" data-attrs="{&quot;src&quot;:&quot;https://substack-post-media.s3.amazonaws.com/public/images/55c3fcf0-3b87-49bd-9d7a-4e3f0933fea6_247x124.jpeg&quot;,&quot;srcNoWatermark&quot;:null,&quot;fullscreen&quot;:null,&quot;imageSize&quot;:null,&quot;height&quot;:124,&quot;width&quot;:247,&quot;resizeWidth&quot;:null,&quot;bytes&quot;:7017,&quot;alt&quot;:null,&quot;title&quot;:null,&quot;type&quot;:&quot;image/jpeg&quot;,&quot;href&quot;:null,&quot;belowTheFold&quot;:true,&quot;topImage&quot;:false,&quot;internalRedirect&quot;:&quot;https://www.precisionnewsletter.com/i/159008852?img=https%3A%2F%2Fsubstack-post-media.s3.amazonaws.com%2Fpublic%2Fimages%2F55c3fcf0-3b87-49bd-9d7a-4e3f0933fea6_247x124.jpeg&quot;,&quot;isProcessing&quot;:false,&quot;align&quot;:null,&quot;offset&quot;:false}" class="sizing-normal" alt="" srcset="https://substackcdn.com/image/fetch/$s_!5kBQ!,w_424,c_limit,f_auto,q_auto:good,fl_progressive:steep/https%3A%2F%2Fsubstack-post-media.s3.amazonaws.com%2Fpublic%2Fimages%2F55c3fcf0-3b87-49bd-9d7a-4e3f0933fea6_247x124.jpeg 424w, https://substackcdn.com/image/fetch/$s_!5kBQ!,w_848,c_limit,f_auto,q_auto:good,fl_progressive:steep/https%3A%2F%2Fsubstack-post-media.s3.amazonaws.com%2Fpublic%2Fimages%2F55c3fcf0-3b87-49bd-9d7a-4e3f0933fea6_247x124.jpeg 848w, https://substackcdn.com/image/fetch/$s_!5kBQ!,w_1272,c_limit,f_auto,q_auto:good,fl_progressive:steep/https%3A%2F%2Fsubstack-post-media.s3.amazonaws.com%2Fpublic%2Fimages%2F55c3fcf0-3b87-49bd-9d7a-4e3f0933fea6_247x124.jpeg 1272w, https://substackcdn.com/image/fetch/$s_!5kBQ!,w_1456,c_limit,f_auto,q_auto:good,fl_progressive:steep/https%3A%2F%2Fsubstack-post-media.s3.amazonaws.com%2Fpublic%2Fimages%2F55c3fcf0-3b87-49bd-9d7a-4e3f0933fea6_247x124.jpeg 1456w" sizes="100vw" loading="lazy"></picture><div></div></div></a><figcaption class="image-caption">Mineral wool insulation material</figcaption></figure></div><h4><strong>Key Phenomenon Involved in Thermal Insulation Materials</strong></h4><h4><strong>1. Thermal Conduction and Heat Retention</strong></h4><p><strong>Fiberglass insulation</strong> works by <strong>reducing thermal conduction</strong>. The glass fibers in the material are designed to resist the flow of heat, keeping the heat generated by the heating element <strong>contained</strong> within the cable. This minimizes heat loss to the surrounding environment and maintains the <strong>desired temperature</strong> for the heating system.</p><div class="captioned-image-container"><figure><a class="image-link image2" target="_blank" href="https://substackcdn.com/image/fetch/$s_!d1j4!,f_auto,q_auto:good,fl_progressive:steep/https%3A%2F%2Fsubstack-post-media.s3.amazonaws.com%2Fpublic%2Fimages%2Fa2e6656b-7598-4268-bcb5-5d6cc15e5b35_149x65.png" data-component-name="Image2ToDOM"><div class="image2-inset"><picture><source type="image/webp" srcset="https://substackcdn.com/image/fetch/$s_!d1j4!,w_424,c_limit,f_webp,q_auto:good,fl_progressive:steep/https%3A%2F%2Fsubstack-post-media.s3.amazonaws.com%2Fpublic%2Fimages%2Fa2e6656b-7598-4268-bcb5-5d6cc15e5b35_149x65.png 424w, https://substackcdn.com/image/fetch/$s_!d1j4!,w_848,c_limit,f_webp,q_auto:good,fl_progressive:steep/https%3A%2F%2Fsubstack-post-media.s3.amazonaws.com%2Fpublic%2Fimages%2Fa2e6656b-7598-4268-bcb5-5d6cc15e5b35_149x65.png 848w, https://substackcdn.com/image/fetch/$s_!d1j4!,w_1272,c_limit,f_webp,q_auto:good,fl_progressive:steep/https%3A%2F%2Fsubstack-post-media.s3.amazonaws.com%2Fpublic%2Fimages%2Fa2e6656b-7598-4268-bcb5-5d6cc15e5b35_149x65.png 1272w, https://substackcdn.com/image/fetch/$s_!d1j4!,w_1456,c_limit,f_webp,q_auto:good,fl_progressive:steep/https%3A%2F%2Fsubstack-post-media.s3.amazonaws.com%2Fpublic%2Fimages%2Fa2e6656b-7598-4268-bcb5-5d6cc15e5b35_149x65.png 1456w" sizes="100vw"><img src="https://substackcdn.com/image/fetch/$s_!d1j4!,w_1456,c_limit,f_auto,q_auto:good,fl_progressive:steep/https%3A%2F%2Fsubstack-post-media.s3.amazonaws.com%2Fpublic%2Fimages%2Fa2e6656b-7598-4268-bcb5-5d6cc15e5b35_149x65.png" width="149" height="65" data-attrs="{&quot;src&quot;:&quot;https://substack-post-media.s3.amazonaws.com/public/images/a2e6656b-7598-4268-bcb5-5d6cc15e5b35_149x65.png&quot;,&quot;srcNoWatermark&quot;:null,&quot;fullscreen&quot;:null,&quot;imageSize&quot;:null,&quot;height&quot;:65,&quot;width&quot;:149,&quot;resizeWidth&quot;:null,&quot;bytes&quot;:3246,&quot;alt&quot;:null,&quot;title&quot;:null,&quot;type&quot;:&quot;image/png&quot;,&quot;href&quot;:null,&quot;belowTheFold&quot;:true,&quot;topImage&quot;:false,&quot;internalRedirect&quot;:&quot;https://www.precisionnewsletter.com/i/159008852?img=https%3A%2F%2Fsubstack-post-media.s3.amazonaws.com%2Fpublic%2Fimages%2Fa2e6656b-7598-4268-bcb5-5d6cc15e5b35_149x65.png&quot;,&quot;isProcessing&quot;:false,&quot;align&quot;:null,&quot;offset&quot;:false}" class="sizing-normal" alt="" srcset="https://substackcdn.com/image/fetch/$s_!d1j4!,w_424,c_limit,f_auto,q_auto:good,fl_progressive:steep/https%3A%2F%2Fsubstack-post-media.s3.amazonaws.com%2Fpublic%2Fimages%2Fa2e6656b-7598-4268-bcb5-5d6cc15e5b35_149x65.png 424w, https://substackcdn.com/image/fetch/$s_!d1j4!,w_848,c_limit,f_auto,q_auto:good,fl_progressive:steep/https%3A%2F%2Fsubstack-post-media.s3.amazonaws.com%2Fpublic%2Fimages%2Fa2e6656b-7598-4268-bcb5-5d6cc15e5b35_149x65.png 848w, https://substackcdn.com/image/fetch/$s_!d1j4!,w_1272,c_limit,f_auto,q_auto:good,fl_progressive:steep/https%3A%2F%2Fsubstack-post-media.s3.amazonaws.com%2Fpublic%2Fimages%2Fa2e6656b-7598-4268-bcb5-5d6cc15e5b35_149x65.png 1272w, https://substackcdn.com/image/fetch/$s_!d1j4!,w_1456,c_limit,f_auto,q_auto:good,fl_progressive:steep/https%3A%2F%2Fsubstack-post-media.s3.amazonaws.com%2Fpublic%2Fimages%2Fa2e6656b-7598-4268-bcb5-5d6cc15e5b35_149x65.png 1456w" sizes="100vw" loading="lazy"></picture><div></div></div></a></figure></div><p>The phenomenon of <strong>thermal conduction</strong> dictates how heat moves through materials. In fiberglass, the low <strong>thermal conductivity</strong> (typically 0.035 - 0.045 W/m&#183;K) ensures that heat is not lost quickly, making the heating system more efficient.</p><h4><strong>2. Fire Resistance</strong></h4><ul><li><p><strong>Fiberglass insulation</strong> is naturally fire-resistant due to its non-combustible nature. This is critical in <strong>electrical heat tracing systems</strong> because the high temperatures generated by the heating element can lead to fire risks if the insulation is not adequately resistant to flames.<br>The <strong>fire resistance</strong> of fiberglass helps prevent the spread of flames and keeps the internal components of the heating cable protected from fire hazards. If the external environment or surrounding materials get exposed to high heat, fiberglass insulation prevents <strong>fire damage</strong> to the internal wires and heating element.</p></li><li><p><strong>Mineral wool is non-combustible</strong>, making it highly effective in preventing fires. In heating cables, <strong>high temperatures</strong> are generated, and the insulation must prevent the cable from becoming a <strong>fire hazard</strong>. Mineral wool helps in <strong>fireproofing</strong> the heating cable by creating a fire-resistant barrier that prevents flames from spreading to the cable's core components.</p></li></ul><h4><strong>3. Moisture Resistance</strong></h4><ul><li><p>Fiberglass is highly resistant to moisture, which helps protect the inside of the heating cable from <strong>water damage</strong>. Moisture can lead to corrosion or short circuits in electrical components, and by using fiberglass as insulation, <strong>moisture intrusion</strong> is significantly reduced. This ensures that the cable maintains its <strong>electrical safety</strong> and <strong>thermal performance</strong> even in wet or humid environments.</p></li><li><p><strong>Mineral wool</strong> has <strong>high moisture resistance</strong>. Mineral wool does not absorb moisture and can function effectively in environments where water or humidity is present. This is essential in <strong>electrical heat tracing systems</strong> because moisture can cause <strong>corrosion</strong>, <strong>short-circuiting</strong>, or <strong>reduced insulation performance</strong>.</p></li><li><p>Fiberglass insulation provides an extra layer of <strong>mechanical protection</strong> to the heating cable. It helps prevent <strong>abrasion</strong>, <strong>scratches</strong>, and <strong>physical damage</strong> that may occur during installation or from external mechanical forces. This is particularly important in industrial settings where cables may be exposed to physical stresses, vibrations, or impacts.</p></li></ul><h4><strong>4. Superior Thermal Resistance</strong></h4><ul><li><p><strong>Mineral wool</strong> has excellent <strong>thermal resistance</strong>, making it ideal for high-temperature environments. It can withstand <strong>extreme temperatures</strong>, typically up to <strong>1,000&#176;C</strong>, which makes it suitable for industrial applications where heating cables may be exposed to very high operating temperatures. By surrounding the heating element with mineral wool, the heat generated by the cable is efficiently retained within the system, reducing heat loss to the environment.</p></li><li><p>The <strong>thermal resistance</strong> of mineral wool helps maintain the <strong>consistent temperature</strong> of the heating cable, ensuring that it operates at optimal efficiency. This also minimizes the need for additional heating power to compensate for heat loss.</p></li></ul><h4><strong>5. Compression Resistance and Durability</strong></h4><ul><li><p><strong>Mineral wool</strong> is resistant to <strong>compression</strong> and can withstand physical stresses without losing its insulating properties. Over time, many insulation materials can settle or compress, which reduces their effectiveness. However, mineral wool maintains its shape and effectiveness over the long term, ensuring that the heating cable remains protected throughout its operational life.</p></li></ul><h4><strong>Properties</strong></h4><div class="captioned-image-container"><figure><a class="image-link image2 is-viewable-img" target="_blank" href="https://substackcdn.com/image/fetch/$s_!n52D!,f_auto,q_auto:good,fl_progressive:steep/https%3A%2F%2Fsubstack-post-media.s3.amazonaws.com%2Fpublic%2Fimages%2F24114d57-8c93-4a47-ad73-f022f969dd2b_646x332.png" data-component-name="Image2ToDOM"><div class="image2-inset"><picture><source type="image/webp" srcset="https://substackcdn.com/image/fetch/$s_!n52D!,w_424,c_limit,f_webp,q_auto:good,fl_progressive:steep/https%3A%2F%2Fsubstack-post-media.s3.amazonaws.com%2Fpublic%2Fimages%2F24114d57-8c93-4a47-ad73-f022f969dd2b_646x332.png 424w, https://substackcdn.com/image/fetch/$s_!n52D!,w_848,c_limit,f_webp,q_auto:good,fl_progressive:steep/https%3A%2F%2Fsubstack-post-media.s3.amazonaws.com%2Fpublic%2Fimages%2F24114d57-8c93-4a47-ad73-f022f969dd2b_646x332.png 848w, https://substackcdn.com/image/fetch/$s_!n52D!,w_1272,c_limit,f_webp,q_auto:good,fl_progressive:steep/https%3A%2F%2Fsubstack-post-media.s3.amazonaws.com%2Fpublic%2Fimages%2F24114d57-8c93-4a47-ad73-f022f969dd2b_646x332.png 1272w, https://substackcdn.com/image/fetch/$s_!n52D!,w_1456,c_limit,f_webp,q_auto:good,fl_progressive:steep/https%3A%2F%2Fsubstack-post-media.s3.amazonaws.com%2Fpublic%2Fimages%2F24114d57-8c93-4a47-ad73-f022f969dd2b_646x332.png 1456w" sizes="100vw"><img src="https://substackcdn.com/image/fetch/$s_!n52D!,w_1456,c_limit,f_auto,q_auto:good,fl_progressive:steep/https%3A%2F%2Fsubstack-post-media.s3.amazonaws.com%2Fpublic%2Fimages%2F24114d57-8c93-4a47-ad73-f022f969dd2b_646x332.png" width="646" height="332" data-attrs="{&quot;src&quot;:&quot;https://substack-post-media.s3.amazonaws.com/public/images/24114d57-8c93-4a47-ad73-f022f969dd2b_646x332.png&quot;,&quot;srcNoWatermark&quot;:null,&quot;fullscreen&quot;:null,&quot;imageSize&quot;:null,&quot;height&quot;:332,&quot;width&quot;:646,&quot;resizeWidth&quot;:null,&quot;bytes&quot;:72268,&quot;alt&quot;:null,&quot;title&quot;:null,&quot;type&quot;:&quot;image/png&quot;,&quot;href&quot;:null,&quot;belowTheFold&quot;:true,&quot;topImage&quot;:false,&quot;internalRedirect&quot;:&quot;https://www.precisionnewsletter.com/i/159008852?img=https%3A%2F%2Fsubstack-post-media.s3.amazonaws.com%2Fpublic%2Fimages%2F24114d57-8c93-4a47-ad73-f022f969dd2b_646x332.png&quot;,&quot;isProcessing&quot;:false,&quot;align&quot;:null,&quot;offset&quot;:false}" class="sizing-normal" alt="" srcset="https://substackcdn.com/image/fetch/$s_!n52D!,w_424,c_limit,f_auto,q_auto:good,fl_progressive:steep/https%3A%2F%2Fsubstack-post-media.s3.amazonaws.com%2Fpublic%2Fimages%2F24114d57-8c93-4a47-ad73-f022f969dd2b_646x332.png 424w, https://substackcdn.com/image/fetch/$s_!n52D!,w_848,c_limit,f_auto,q_auto:good,fl_progressive:steep/https%3A%2F%2Fsubstack-post-media.s3.amazonaws.com%2Fpublic%2Fimages%2F24114d57-8c93-4a47-ad73-f022f969dd2b_646x332.png 848w, https://substackcdn.com/image/fetch/$s_!n52D!,w_1272,c_limit,f_auto,q_auto:good,fl_progressive:steep/https%3A%2F%2Fsubstack-post-media.s3.amazonaws.com%2Fpublic%2Fimages%2F24114d57-8c93-4a47-ad73-f022f969dd2b_646x332.png 1272w, https://substackcdn.com/image/fetch/$s_!n52D!,w_1456,c_limit,f_auto,q_auto:good,fl_progressive:steep/https%3A%2F%2Fsubstack-post-media.s3.amazonaws.com%2Fpublic%2Fimages%2F24114d57-8c93-4a47-ad73-f022f969dd2b_646x332.png 1456w" sizes="100vw" loading="lazy"></picture><div class="image-link-expand"><div class="pencraft pc-display-flex pc-gap-8 pc-reset"><button tabindex="0" type="button" class="pencraft pc-reset pencraft icon-container restack-image"><svg role="img" width="20" height="20" viewBox="0 0 20 20" fill="none" stroke-width="1.5" stroke="var(--color-fg-primary)" stroke-linecap="round" stroke-linejoin="round" xmlns="http://www.w3.org/2000/svg"><g><title></title><path d="M2.53001 7.81595C3.49179 4.73911 6.43281 2.5 9.91173 2.5C13.1684 2.5 15.9537 4.46214 17.0852 7.23684L17.6179 8.67647M17.6179 8.67647L18.5002 4.26471M17.6179 8.67647L13.6473 6.91176M17.4995 12.1841C16.5378 15.2609 13.5967 17.5 10.1178 17.5C6.86118 17.5 4.07589 15.5379 2.94432 12.7632L2.41165 11.3235M2.41165 11.3235L1.5293 15.7353M2.41165 11.3235L6.38224 13.0882"></path></g></svg></button><button tabindex="0" type="button" class="pencraft pc-reset pencraft icon-container view-image"><svg xmlns="http://www.w3.org/2000/svg" width="20" height="20" viewBox="0 0 24 24" fill="none" stroke="currentColor" stroke-width="2" stroke-linecap="round" stroke-linejoin="round" class="lucide lucide-maximize2 lucide-maximize-2"><polyline points="15 3 21 3 21 9"></polyline><polyline points="9 21 3 21 3 15"></polyline><line x1="21" x2="14" y1="3" y2="10"></line><line x1="3" x2="10" y1="21" y2="14"></line></svg></button></div></div></div></a></figure></div><p>The low <strong>thermal conductivity</strong> of both <strong>fiberglass</strong> and <strong>mineral wool</strong> is due to their <strong>fibrous structure</strong>, which traps air within the material, reducing heat transfer. This trapped air acts as a thermal barrier, enhancing their ability to resist heat flow. Additionally, the <strong>porous nature</strong> of both materials further contributes to their low conductivity, making them highly efficient for insulation purposes in high-temperature environments.<br><strong>Thermal Conductivity (k)</strong> is the measure of a material's ability to conduct heat. Lower values are preferred for insulation purposes. <br><strong>Thermal Resistivity (R)</strong> is calculated as the thickness of the material divided by its thermal conductivity. It is a measure of how well a material resists heat flow, where a higher value indicates better thermal insulation properties.</p><h4><strong>Comparison of Internal and External Insulation</strong></h4><h4><strong>1) Internal Insulation</strong></h4><p><strong>Fiberglass insulation</strong> is commonly used as <strong>internal insulation</strong> in heating cables due to its excellent thermal stability, high temperature resistance, and mechanical strength. It surrounds the heating element, providing electrical insulation and thermal protection to ensure the efficient functioning of the cable. For temperature exposures greater than 400&#176;F the cable shall have a fiberglass composite between the conductor and jacket. <br><br>In <strong>Power limiting heating cables</strong>, fiberglass plays two key roles:</p><ul><li><p><strong>Carrier for the PTC Conductor</strong>: The Positive Temperature Coefficient (PTC) conductor is spirally wrapped around a fiberglass carrier strand, forming a coiled resistor heating element. This coiled heating element is responsible for controlling the temperature and providing the heating function of the cable.</p></li><li><p><strong>Insulation Between Heating Element and Dielectric Jacket</strong>: A fiberglass composite is placed between the heating element and the primary dielectric jacket. This helps to provide additional thermal insulation and mechanical strength.</p></li></ul><p><strong>Mineral wool</strong> is <strong>not typically used as internal insulation</strong> in heating cables. The main reason is that mineral wool is primarily designed for thermal insulation in high-temperature environments, but it does not possess the necessary electrical insulating properties required for the internal insulation of heating cables.</p><h4><strong>2) External Insulation</strong></h4><p>External Insulation refers to the insulation material that covers the pipe or tank rather than the overjacket on heating cable.</p><p>The overjacket of the heating cable is typically a protective layer that surrounds the cable and shields it from environmental damage, while <strong>external insulation</strong> refers to materials that are applied to the pipeline or tank in order to reduce heat loss and maintain the required temperature in the system. This external insulation helps to retain the heat generated by the heating cable and protects the system from temperature fluctuations, moisture, and mechanical<strong> </strong>damage.</p><p>Fiberglass is not typically used as an external insulation material for heating cables. On the other hand, for high-temperature applications, mineral wool insulation materials such as <strong>Calcium silicate</strong> are used <strong>externally in power limiting heating cables</strong>. These materials offer excellent heat resistance and are often used in power-limiting or mineral-insulated heating systems that operate at higher temperatures .<strong>Mineral wool</strong> is commonly used as an <strong>external insulation</strong> in certain electrical heating cables, particularly in high-temperature environments. It offers excellent thermal insulation and is typically applied in applications requiring high heat resistance, such as in mineral-insulated cables (MI cables).</p><div class="captioned-image-container"><figure><a class="image-link image2 is-viewable-img" target="_blank" href="https://substackcdn.com/image/fetch/$s_!nM3V!,f_auto,q_auto:good,fl_progressive:steep/https%3A%2F%2Fsubstack-post-media.s3.amazonaws.com%2Fpublic%2Fimages%2F379dd87e-36b2-48c2-9068-87078775c7a8_360x378.png" data-component-name="Image2ToDOM"><div class="image2-inset"><picture><source type="image/webp" srcset="https://substackcdn.com/image/fetch/$s_!nM3V!,w_424,c_limit,f_webp,q_auto:good,fl_progressive:steep/https%3A%2F%2Fsubstack-post-media.s3.amazonaws.com%2Fpublic%2Fimages%2F379dd87e-36b2-48c2-9068-87078775c7a8_360x378.png 424w, https://substackcdn.com/image/fetch/$s_!nM3V!,w_848,c_limit,f_webp,q_auto:good,fl_progressive:steep/https%3A%2F%2Fsubstack-post-media.s3.amazonaws.com%2Fpublic%2Fimages%2F379dd87e-36b2-48c2-9068-87078775c7a8_360x378.png 848w, https://substackcdn.com/image/fetch/$s_!nM3V!,w_1272,c_limit,f_webp,q_auto:good,fl_progressive:steep/https%3A%2F%2Fsubstack-post-media.s3.amazonaws.com%2Fpublic%2Fimages%2F379dd87e-36b2-48c2-9068-87078775c7a8_360x378.png 1272w, https://substackcdn.com/image/fetch/$s_!nM3V!,w_1456,c_limit,f_webp,q_auto:good,fl_progressive:steep/https%3A%2F%2Fsubstack-post-media.s3.amazonaws.com%2Fpublic%2Fimages%2F379dd87e-36b2-48c2-9068-87078775c7a8_360x378.png 1456w" sizes="100vw"><img src="https://substackcdn.com/image/fetch/$s_!nM3V!,w_1456,c_limit,f_auto,q_auto:good,fl_progressive:steep/https%3A%2F%2Fsubstack-post-media.s3.amazonaws.com%2Fpublic%2Fimages%2F379dd87e-36b2-48c2-9068-87078775c7a8_360x378.png" width="360" height="378" data-attrs="{&quot;src&quot;:&quot;https://substack-post-media.s3.amazonaws.com/public/images/379dd87e-36b2-48c2-9068-87078775c7a8_360x378.png&quot;,&quot;srcNoWatermark&quot;:null,&quot;fullscreen&quot;:null,&quot;imageSize&quot;:null,&quot;height&quot;:378,&quot;width&quot;:360,&quot;resizeWidth&quot;:null,&quot;bytes&quot;:87009,&quot;alt&quot;:null,&quot;title&quot;:null,&quot;type&quot;:&quot;image/png&quot;,&quot;href&quot;:null,&quot;belowTheFold&quot;:true,&quot;topImage&quot;:false,&quot;internalRedirect&quot;:&quot;https://www.precisionnewsletter.com/i/159008852?img=https%3A%2F%2Fsubstack-post-media.s3.amazonaws.com%2Fpublic%2Fimages%2F379dd87e-36b2-48c2-9068-87078775c7a8_360x378.png&quot;,&quot;isProcessing&quot;:false,&quot;align&quot;:null,&quot;offset&quot;:false}" class="sizing-normal" alt="" srcset="https://substackcdn.com/image/fetch/$s_!nM3V!,w_424,c_limit,f_auto,q_auto:good,fl_progressive:steep/https%3A%2F%2Fsubstack-post-media.s3.amazonaws.com%2Fpublic%2Fimages%2F379dd87e-36b2-48c2-9068-87078775c7a8_360x378.png 424w, https://substackcdn.com/image/fetch/$s_!nM3V!,w_848,c_limit,f_auto,q_auto:good,fl_progressive:steep/https%3A%2F%2Fsubstack-post-media.s3.amazonaws.com%2Fpublic%2Fimages%2F379dd87e-36b2-48c2-9068-87078775c7a8_360x378.png 848w, https://substackcdn.com/image/fetch/$s_!nM3V!,w_1272,c_limit,f_auto,q_auto:good,fl_progressive:steep/https%3A%2F%2Fsubstack-post-media.s3.amazonaws.com%2Fpublic%2Fimages%2F379dd87e-36b2-48c2-9068-87078775c7a8_360x378.png 1272w, https://substackcdn.com/image/fetch/$s_!nM3V!,w_1456,c_limit,f_auto,q_auto:good,fl_progressive:steep/https%3A%2F%2Fsubstack-post-media.s3.amazonaws.com%2Fpublic%2Fimages%2F379dd87e-36b2-48c2-9068-87078775c7a8_360x378.png 1456w" sizes="100vw" loading="lazy"></picture><div class="image-link-expand"><div class="pencraft pc-display-flex pc-gap-8 pc-reset"><button tabindex="0" type="button" class="pencraft pc-reset pencraft icon-container restack-image"><svg role="img" width="20" height="20" viewBox="0 0 20 20" fill="none" stroke-width="1.5" stroke="var(--color-fg-primary)" stroke-linecap="round" stroke-linejoin="round" xmlns="http://www.w3.org/2000/svg"><g><title></title><path d="M2.53001 7.81595C3.49179 4.73911 6.43281 2.5 9.91173 2.5C13.1684 2.5 15.9537 4.46214 17.0852 7.23684L17.6179 8.67647M17.6179 8.67647L18.5002 4.26471M17.6179 8.67647L13.6473 6.91176M17.4995 12.1841C16.5378 15.2609 13.5967 17.5 10.1178 17.5C6.86118 17.5 4.07589 15.5379 2.94432 12.7632L2.41165 11.3235M2.41165 11.3235L1.5293 15.7353M2.41165 11.3235L6.38224 13.0882"></path></g></svg></button><button tabindex="0" type="button" class="pencraft pc-reset pencraft icon-container view-image"><svg xmlns="http://www.w3.org/2000/svg" width="20" height="20" viewBox="0 0 24 24" fill="none" stroke="currentColor" stroke-width="2" stroke-linecap="round" stroke-linejoin="round" class="lucide lucide-maximize2 lucide-maximize-2"><polyline points="15 3 21 3 21 9"></polyline><polyline points="9 21 3 21 3 15"></polyline><line x1="21" x2="14" y1="3" y2="10"></line><line x1="3" x2="10" y1="21" y2="14"></line></svg></button></div></div></div></a><figcaption class="image-caption">Fiberglass is used as inner insulation. This layer helps with thermal insulation and provides protection for the heating element from external environmental factors.</figcaption></figure></div><div class="captioned-image-container"><figure><a class="image-link image2 is-viewable-img" target="_blank" href="https://substackcdn.com/image/fetch/$s_!Clkd!,f_auto,q_auto:good,fl_progressive:steep/https%3A%2F%2Fsubstack-post-media.s3.amazonaws.com%2Fpublic%2Fimages%2F079c5e80-b3b7-4119-9f53-8217cc5f6df0_611x281.png" data-component-name="Image2ToDOM"><div class="image2-inset"><picture><source type="image/webp" srcset="https://substackcdn.com/image/fetch/$s_!Clkd!,w_424,c_limit,f_webp,q_auto:good,fl_progressive:steep/https%3A%2F%2Fsubstack-post-media.s3.amazonaws.com%2Fpublic%2Fimages%2F079c5e80-b3b7-4119-9f53-8217cc5f6df0_611x281.png 424w, https://substackcdn.com/image/fetch/$s_!Clkd!,w_848,c_limit,f_webp,q_auto:good,fl_progressive:steep/https%3A%2F%2Fsubstack-post-media.s3.amazonaws.com%2Fpublic%2Fimages%2F079c5e80-b3b7-4119-9f53-8217cc5f6df0_611x281.png 848w, https://substackcdn.com/image/fetch/$s_!Clkd!,w_1272,c_limit,f_webp,q_auto:good,fl_progressive:steep/https%3A%2F%2Fsubstack-post-media.s3.amazonaws.com%2Fpublic%2Fimages%2F079c5e80-b3b7-4119-9f53-8217cc5f6df0_611x281.png 1272w, https://substackcdn.com/image/fetch/$s_!Clkd!,w_1456,c_limit,f_webp,q_auto:good,fl_progressive:steep/https%3A%2F%2Fsubstack-post-media.s3.amazonaws.com%2Fpublic%2Fimages%2F079c5e80-b3b7-4119-9f53-8217cc5f6df0_611x281.png 1456w" sizes="100vw"><img src="https://substackcdn.com/image/fetch/$s_!Clkd!,w_1456,c_limit,f_auto,q_auto:good,fl_progressive:steep/https%3A%2F%2Fsubstack-post-media.s3.amazonaws.com%2Fpublic%2Fimages%2F079c5e80-b3b7-4119-9f53-8217cc5f6df0_611x281.png" width="611" height="281" data-attrs="{&quot;src&quot;:&quot;https://substack-post-media.s3.amazonaws.com/public/images/079c5e80-b3b7-4119-9f53-8217cc5f6df0_611x281.png&quot;,&quot;srcNoWatermark&quot;:null,&quot;fullscreen&quot;:null,&quot;imageSize&quot;:null,&quot;height&quot;:281,&quot;width&quot;:611,&quot;resizeWidth&quot;:null,&quot;bytes&quot;:40185,&quot;alt&quot;:null,&quot;title&quot;:null,&quot;type&quot;:&quot;image/png&quot;,&quot;href&quot;:null,&quot;belowTheFold&quot;:true,&quot;topImage&quot;:false,&quot;internalRedirect&quot;:&quot;https://www.precisionnewsletter.com/i/159008852?img=https%3A%2F%2Fsubstack-post-media.s3.amazonaws.com%2Fpublic%2Fimages%2F079c5e80-b3b7-4119-9f53-8217cc5f6df0_611x281.png&quot;,&quot;isProcessing&quot;:false,&quot;align&quot;:null,&quot;offset&quot;:false}" class="sizing-normal" alt="" srcset="https://substackcdn.com/image/fetch/$s_!Clkd!,w_424,c_limit,f_auto,q_auto:good,fl_progressive:steep/https%3A%2F%2Fsubstack-post-media.s3.amazonaws.com%2Fpublic%2Fimages%2F079c5e80-b3b7-4119-9f53-8217cc5f6df0_611x281.png 424w, https://substackcdn.com/image/fetch/$s_!Clkd!,w_848,c_limit,f_auto,q_auto:good,fl_progressive:steep/https%3A%2F%2Fsubstack-post-media.s3.amazonaws.com%2Fpublic%2Fimages%2F079c5e80-b3b7-4119-9f53-8217cc5f6df0_611x281.png 848w, https://substackcdn.com/image/fetch/$s_!Clkd!,w_1272,c_limit,f_auto,q_auto:good,fl_progressive:steep/https%3A%2F%2Fsubstack-post-media.s3.amazonaws.com%2Fpublic%2Fimages%2F079c5e80-b3b7-4119-9f53-8217cc5f6df0_611x281.png 1272w, https://substackcdn.com/image/fetch/$s_!Clkd!,w_1456,c_limit,f_auto,q_auto:good,fl_progressive:steep/https%3A%2F%2Fsubstack-post-media.s3.amazonaws.com%2Fpublic%2Fimages%2F079c5e80-b3b7-4119-9f53-8217cc5f6df0_611x281.png 1456w" sizes="100vw" loading="lazy"></picture><div class="image-link-expand"><div class="pencraft pc-display-flex pc-gap-8 pc-reset"><button tabindex="0" type="button" class="pencraft pc-reset pencraft icon-container restack-image"><svg role="img" width="20" height="20" viewBox="0 0 20 20" fill="none" stroke-width="1.5" stroke="var(--color-fg-primary)" stroke-linecap="round" stroke-linejoin="round" xmlns="http://www.w3.org/2000/svg"><g><title></title><path d="M2.53001 7.81595C3.49179 4.73911 6.43281 2.5 9.91173 2.5C13.1684 2.5 15.9537 4.46214 17.0852 7.23684L17.6179 8.67647M17.6179 8.67647L18.5002 4.26471M17.6179 8.67647L13.6473 6.91176M17.4995 12.1841C16.5378 15.2609 13.5967 17.5 10.1178 17.5C6.86118 17.5 4.07589 15.5379 2.94432 12.7632L2.41165 11.3235M2.41165 11.3235L1.5293 15.7353M2.41165 11.3235L6.38224 13.0882"></path></g></svg></button><button tabindex="0" type="button" class="pencraft pc-reset pencraft icon-container view-image"><svg xmlns="http://www.w3.org/2000/svg" width="20" height="20" viewBox="0 0 24 24" fill="none" stroke="currentColor" stroke-width="2" stroke-linecap="round" stroke-linejoin="round" class="lucide lucide-maximize2 lucide-maximize-2"><polyline points="15 3 21 3 21 9"></polyline><polyline points="9 21 3 21 3 15"></polyline><line x1="21" x2="14" y1="3" y2="10"></line><line x1="3" x2="10" y1="21" y2="14"></line></svg></button></div></div></div></a></figure></div><div><hr></div><h4><strong>Conclusion</strong></h4><p>Both <strong>fiberglass</strong> and <strong>mineral wool</strong> are highly effective thermal insulation materials widely used in electrical heat tracing systems. Each material has distinct properties that make it suitable for different applications based on environmental conditions and performance requirements. In conclusion, while fiberglass is commonly used as <strong>internal insulation</strong> in heat tracing systems due to its flexibility, thermal stability, and chemical resistance, <strong>mineral wool</strong> is primarily used in <strong>high-temperature industrial applications</strong> and is more suited for <strong>external insulation</strong> or in mineral-insulated cables (MI cables).For extreme temperature environments where maximum heat resistance is required, <strong>mineral wool</strong> (often in the form of <strong>magnesium oxide</strong>) is the preferred option. However, for <strong>moderate temperature applications</strong>, <strong>fiberglass</strong> remains a reliable and economical choice.</p><h4><strong>References</strong></h4><ul><li><p>Properties</p><p><a href="https://www.fao.org/4/y5013e/y5013e08.htm">https://www.fao.org/4/y5013e/y5013e08.htm</a></p></li></ul><div class="subscription-widget-wrap-editor" data-attrs="{&quot;url&quot;:&quot;https://www.precisionnewsletter.com/subscribe?&quot;,&quot;text&quot;:&quot;Subscribe&quot;,&quot;language&quot;:&quot;en&quot;}" data-component-name="SubscribeWidgetToDOM"><div class="subscription-widget show-subscribe"><div class="preamble"><p class="cta-caption">Thanks for reading Precision Newsletter! Subscribe for free to receive new posts and support my work.</p></div><form class="subscription-widget-subscribe"><input type="email" class="email-input" name="email" placeholder="Type your email&#8230;" tabindex="-1"><input type="submit" class="button primary" value="Subscribe"><div class="fake-input-wrapper"><div class="fake-input"></div><div class="fake-button"></div></div></form></div></div>]]></content:encoded></item><item><title><![CDATA[Protective Braids: Enhancing Reliability and Safety in Heat Tracing Cables ]]></title><description><![CDATA[Strengthening Heat Tracing Systems with Advanced Protective Braids]]></description><link>https://www.precisionnewsletter.com/p/protective-braids-enhancing-reliability</link><guid isPermaLink="false">https://www.precisionnewsletter.com/p/protective-braids-enhancing-reliability</guid><dc:creator><![CDATA[Jinwook Jung]]></dc:creator><pubDate>Mon, 17 Mar 2025 08:08:53 GMT</pubDate><enclosure url="https://substack-post-media.s3.amazonaws.com/public/images/509eca0a-6e63-4e66-8015-d05ac3cd644d_704x1408.png" length="0" type="image/jpeg"/><content:encoded><![CDATA[<h3><strong>Abstract</strong></h3><p>Protective braids are an integral component of electric heat tracing cables, encasing the insulation and providing critical functionalities. These braids, typically composed of metallic strands, enhance the durability, safety, and performance of heat tracing systems. As the outermost shield, they play a vital role in the overall reliability and efficiency of heat tracing solutions in industrial environments.</p><h4><strong>What is a Protective Braid?</strong></h4><p>A protective braid is a woven metallic layer that surrounds the insulation of electric heat tracing cables. It is typically made from tinned copper or nickel-plated copper and serves multiple functions, including mechanical protection, electrical grounding, and shielding from electromagnetic interference. By reinforcing the structural integrity of the cable, the protective braid ensures durability in harsh environments, prevents electrical hazards, and extends the operational lifespan of heat tracing systems.</p><div class="subscription-widget-wrap-editor" data-attrs="{&quot;url&quot;:&quot;https://www.precisionnewsletter.com/subscribe?&quot;,&quot;text&quot;:&quot;Subscribe&quot;,&quot;language&quot;:&quot;en&quot;}" data-component-name="SubscribeWidgetToDOM"><div class="subscription-widget show-subscribe"><div class="preamble"><p class="cta-caption">Thanks for reading Precision Newsletter! Subscribe for free to receive new posts and support my work.</p></div><form class="subscription-widget-subscribe"><input type="email" class="email-input" name="email" placeholder="Type your email&#8230;" tabindex="-1"><input type="submit" class="button primary" value="Subscribe"><div class="fake-input-wrapper"><div class="fake-input"></div><div class="fake-button"></div></div></form></div></div><h4><strong>Why We Need Protective Braids</strong></h4><p>In industrial settings, electric heat tracing cables are exposed to challenging conditions such as mechanical stress, electrical interference, and corrosive environments. Protective braids address these challenges by serving as a multi-functional shield that ensures the reliability and safety of the cables. The absence of braids can lead to frequent cable failures, increased downtime, and potential safety hazards, making them indispensable in heat tracing systems.</p><h4><strong>Implications of Absence</strong>: Without protective braids, cables would be vulnerable to:</h4><h4><strong>Physical Wear:</strong></h4><p>In the absence of braids, cables are directly exposed to mechanical stress during installation or operation. Activities such as pulling, bending, or dragging the cables can cause abrasion or cuts to the insulation. Over time, this can compromise the insulation layer, exposing the internal conductors and resulting in failures or hazards.</p><h4><strong>Electrical Hazards:</strong></h4><p>The lack of a protective braid removes a crucial grounding mechanism. Stray electrical currents, caused by faults or interference, will have no safe pathway to dissipate, increasing the likelihood of short circuits or electric shocks. This is particularly dangerous in hazardous zones, where even minor electrical faults can lead to catastrophic incidents such as fires or explosions.</p><h4><strong>Increased Electromagnetic Interference:</strong></h4><p>In environments with high electrical noise, unshielded cables are prone to interference, which can disrupt their functionality. The absence of braids leaves the cables unprotected from external electromagnetic waves, causing erratic performance or failure of the heat tracing system.</p><h4><strong>Accelerated Corrosion and Degradation:</strong></h4><p>Protective braids, especially those made of nickel-plated copper or stainless steel, act as barriers against corrosive chemicals. Without them, the cables&#8217; insulation and core are directly exposed to harsh environments, such as chemical plants or offshore locations. This exposure leads to rapid deterioration of the cable&#8217;s structural integrity, necessitating frequent replacements and increasing operational costs.</p><h4><strong>Shortened Operational Life:</strong></h4><p>The combined effects of physical wear, electrical hazards, and chemical exposure significantly reduce the lifespan of unbraided cables. Frequent failures disrupt operations, leading to costly downtime and repairs, making the absence of protective braids a critical limitation in industrial applications.</p><h4><strong>Functionality of Braids</strong></h4><h4><strong>Mechanical Protection</strong></h4><p>Protective braids act as a physical barrier that safeguards the cable from external mechanical stress. During installation, cables are often dragged, bent, or compressed, which can lead to abrasion or damage to the insulation. The braid absorbs and disperses these stresses, preventing the underlying insulation and internal components from sustaining damage. In operation, they also protect against impacts or contact with sharp edges, ensuring the cable maintains its structural integrity in rugged environments.</p><h4><strong>Electrical Grounding</strong></h4><p>Metallic braids, made from conductive materials such as tinned or nickel-plated copper, provide an effective grounding path. Stray electrical currents can arise from faults or electrical noise, posing risks of electric shocks or short circuits. The braid captures these stray currents and directs them safely to the ground, ensuring compliance with safety standards and reducing the likelihood of hazardous situations, especially in explosive or hazardous zones.</p><h4><strong>Electromagnetic Shielding</strong></h4><p>In environments with high electrical activity, such as industrial plants or refineries, electromagnetic interference (EMI) can disrupt the performance of sensitive electronic equipment. The braid acts as a shield, blocking external electromagnetic waves from affecting the cable&#8217;s performance. This ensures stable and reliable operation of the heat tracing system, which is critical for maintaining process temperatures or preventing frost damage.</p><h4><strong>Chemical Resistance:</strong></h4><p>Protective braids made from materials such as nickel-plated copper or stainless-steel resist corrosive chemicals. Heat tracing cables in chemical plants, offshore platforms, or refineries are often exposed to aggressive substances like acids, alkalis, or solvents. The braid prevents these chemicals from reaching the insulation or core, thereby extending the operational lifespan of the cable and reducing the need for frequent replacements.</p><h4><strong>Types of Protective Braids by Material</strong></h4><h4><strong>Tinned Copper Braids</strong></h4><p><strong>Description:</strong> Made from strands of copper coated with a layer of tin to resist oxidation and corrosion.</p><div class="captioned-image-container"><figure><a class="image-link image2 is-viewable-img" target="_blank" href="https://substackcdn.com/image/fetch/$s_!JXGO!,f_auto,q_auto:good,fl_progressive:steep/https%3A%2F%2Fsubstack-post-media.s3.amazonaws.com%2Fpublic%2Fimages%2F26202285-2e88-4638-8e4e-32442fe787ed_309x306.png" data-component-name="Image2ToDOM"><div class="image2-inset"><picture><source type="image/webp" srcset="https://substackcdn.com/image/fetch/$s_!JXGO!,w_424,c_limit,f_webp,q_auto:good,fl_progressive:steep/https%3A%2F%2Fsubstack-post-media.s3.amazonaws.com%2Fpublic%2Fimages%2F26202285-2e88-4638-8e4e-32442fe787ed_309x306.png 424w, https://substackcdn.com/image/fetch/$s_!JXGO!,w_848,c_limit,f_webp,q_auto:good,fl_progressive:steep/https%3A%2F%2Fsubstack-post-media.s3.amazonaws.com%2Fpublic%2Fimages%2F26202285-2e88-4638-8e4e-32442fe787ed_309x306.png 848w, https://substackcdn.com/image/fetch/$s_!JXGO!,w_1272,c_limit,f_webp,q_auto:good,fl_progressive:steep/https%3A%2F%2Fsubstack-post-media.s3.amazonaws.com%2Fpublic%2Fimages%2F26202285-2e88-4638-8e4e-32442fe787ed_309x306.png 1272w, https://substackcdn.com/image/fetch/$s_!JXGO!,w_1456,c_limit,f_webp,q_auto:good,fl_progressive:steep/https%3A%2F%2Fsubstack-post-media.s3.amazonaws.com%2Fpublic%2Fimages%2F26202285-2e88-4638-8e4e-32442fe787ed_309x306.png 1456w" sizes="100vw"><img src="https://substackcdn.com/image/fetch/$s_!JXGO!,w_1456,c_limit,f_auto,q_auto:good,fl_progressive:steep/https%3A%2F%2Fsubstack-post-media.s3.amazonaws.com%2Fpublic%2Fimages%2F26202285-2e88-4638-8e4e-32442fe787ed_309x306.png" width="309" height="306" data-attrs="{&quot;src&quot;:&quot;https://substack-post-media.s3.amazonaws.com/public/images/26202285-2e88-4638-8e4e-32442fe787ed_309x306.png&quot;,&quot;srcNoWatermark&quot;:null,&quot;fullscreen&quot;:null,&quot;imageSize&quot;:null,&quot;height&quot;:306,&quot;width&quot;:309,&quot;resizeWidth&quot;:null,&quot;bytes&quot;:157720,&quot;alt&quot;:null,&quot;title&quot;:null,&quot;type&quot;:&quot;image/png&quot;,&quot;href&quot;:null,&quot;belowTheFold&quot;:true,&quot;topImage&quot;:false,&quot;internalRedirect&quot;:&quot;https://www.precisionnewsletter.com/i/159011846?img=https%3A%2F%2Fsubstack-post-media.s3.amazonaws.com%2Fpublic%2Fimages%2F26202285-2e88-4638-8e4e-32442fe787ed_309x306.png&quot;,&quot;isProcessing&quot;:false,&quot;align&quot;:null,&quot;offset&quot;:false}" class="sizing-normal" alt="" srcset="https://substackcdn.com/image/fetch/$s_!JXGO!,w_424,c_limit,f_auto,q_auto:good,fl_progressive:steep/https%3A%2F%2Fsubstack-post-media.s3.amazonaws.com%2Fpublic%2Fimages%2F26202285-2e88-4638-8e4e-32442fe787ed_309x306.png 424w, https://substackcdn.com/image/fetch/$s_!JXGO!,w_848,c_limit,f_auto,q_auto:good,fl_progressive:steep/https%3A%2F%2Fsubstack-post-media.s3.amazonaws.com%2Fpublic%2Fimages%2F26202285-2e88-4638-8e4e-32442fe787ed_309x306.png 848w, https://substackcdn.com/image/fetch/$s_!JXGO!,w_1272,c_limit,f_auto,q_auto:good,fl_progressive:steep/https%3A%2F%2Fsubstack-post-media.s3.amazonaws.com%2Fpublic%2Fimages%2F26202285-2e88-4638-8e4e-32442fe787ed_309x306.png 1272w, https://substackcdn.com/image/fetch/$s_!JXGO!,w_1456,c_limit,f_auto,q_auto:good,fl_progressive:steep/https%3A%2F%2Fsubstack-post-media.s3.amazonaws.com%2Fpublic%2Fimages%2F26202285-2e88-4638-8e4e-32442fe787ed_309x306.png 1456w" sizes="100vw" loading="lazy"></picture><div class="image-link-expand"><div class="pencraft pc-display-flex pc-gap-8 pc-reset"><button tabindex="0" type="button" class="pencraft pc-reset pencraft icon-container restack-image"><svg role="img" width="20" height="20" viewBox="0 0 20 20" fill="none" stroke-width="1.5" stroke="var(--color-fg-primary)" stroke-linecap="round" stroke-linejoin="round" xmlns="http://www.w3.org/2000/svg"><g><title></title><path d="M2.53001 7.81595C3.49179 4.73911 6.43281 2.5 9.91173 2.5C13.1684 2.5 15.9537 4.46214 17.0852 7.23684L17.6179 8.67647M17.6179 8.67647L18.5002 4.26471M17.6179 8.67647L13.6473 6.91176M17.4995 12.1841C16.5378 15.2609 13.5967 17.5 10.1178 17.5C6.86118 17.5 4.07589 15.5379 2.94432 12.7632L2.41165 11.3235M2.41165 11.3235L1.5293 15.7353M2.41165 11.3235L6.38224 13.0882"></path></g></svg></button><button tabindex="0" type="button" class="pencraft pc-reset pencraft icon-container view-image"><svg xmlns="http://www.w3.org/2000/svg" width="20" height="20" viewBox="0 0 24 24" fill="none" stroke="currentColor" stroke-width="2" stroke-linecap="round" stroke-linejoin="round" class="lucide lucide-maximize2 lucide-maximize-2"><polyline points="15 3 21 3 21 9"></polyline><polyline points="9 21 3 21 3 15"></polyline><line x1="21" x2="14" y1="3" y2="10"></line><line x1="3" x2="10" y1="21" y2="14"></line></svg></button></div></div></div></a><figcaption class="image-caption"><em>Figure 1: Tinned Copper Braids</em></figcaption></figure></div><p><strong>Advantages:</strong> Tinned copper braids are cost-effective, provide excellent electrical conductivity, and offer moderate resistance to environmental factors such as moisture and corrosion.</p><p><strong>Best Conditions:</strong> These braids are ideal for applications involving moderate environmental exposure, such as frost protection or temperature maintenance in relatively controlled industrial environments.</p><p><strong>Example:</strong> The QTVR self-regulating cables employ tinned copper braids, ensuring reliability in frost protection and temperature maintenance.</p><h4><strong>Nickel-Plated Copper Braids</strong></h4><p><strong>Description:</strong> Copper strands coated with nickel for enhanced chemical resistance and high-temperature performance.</p><div class="captioned-image-container"><figure><a class="image-link image2" target="_blank" href="https://substackcdn.com/image/fetch/$s_!nGfj!,f_auto,q_auto:good,fl_progressive:steep/https%3A%2F%2Fsubstack-post-media.s3.amazonaws.com%2Fpublic%2Fimages%2Fb5e36d70-7271-41c8-add8-c8cfd00ae612_363x157.png" data-component-name="Image2ToDOM"><div class="image2-inset"><picture><source type="image/webp" srcset="https://substackcdn.com/image/fetch/$s_!nGfj!,w_424,c_limit,f_webp,q_auto:good,fl_progressive:steep/https%3A%2F%2Fsubstack-post-media.s3.amazonaws.com%2Fpublic%2Fimages%2Fb5e36d70-7271-41c8-add8-c8cfd00ae612_363x157.png 424w, https://substackcdn.com/image/fetch/$s_!nGfj!,w_848,c_limit,f_webp,q_auto:good,fl_progressive:steep/https%3A%2F%2Fsubstack-post-media.s3.amazonaws.com%2Fpublic%2Fimages%2Fb5e36d70-7271-41c8-add8-c8cfd00ae612_363x157.png 848w, https://substackcdn.com/image/fetch/$s_!nGfj!,w_1272,c_limit,f_webp,q_auto:good,fl_progressive:steep/https%3A%2F%2Fsubstack-post-media.s3.amazonaws.com%2Fpublic%2Fimages%2Fb5e36d70-7271-41c8-add8-c8cfd00ae612_363x157.png 1272w, https://substackcdn.com/image/fetch/$s_!nGfj!,w_1456,c_limit,f_webp,q_auto:good,fl_progressive:steep/https%3A%2F%2Fsubstack-post-media.s3.amazonaws.com%2Fpublic%2Fimages%2Fb5e36d70-7271-41c8-add8-c8cfd00ae612_363x157.png 1456w" sizes="100vw"><img src="https://substackcdn.com/image/fetch/$s_!nGfj!,w_1456,c_limit,f_auto,q_auto:good,fl_progressive:steep/https%3A%2F%2Fsubstack-post-media.s3.amazonaws.com%2Fpublic%2Fimages%2Fb5e36d70-7271-41c8-add8-c8cfd00ae612_363x157.png" width="363" height="157" data-attrs="{&quot;src&quot;:&quot;https://substack-post-media.s3.amazonaws.com/public/images/b5e36d70-7271-41c8-add8-c8cfd00ae612_363x157.png&quot;,&quot;srcNoWatermark&quot;:null,&quot;fullscreen&quot;:null,&quot;imageSize&quot;:null,&quot;height&quot;:157,&quot;width&quot;:363,&quot;resizeWidth&quot;:null,&quot;bytes&quot;:144753,&quot;alt&quot;:null,&quot;title&quot;:null,&quot;type&quot;:&quot;image/png&quot;,&quot;href&quot;:null,&quot;belowTheFold&quot;:true,&quot;topImage&quot;:false,&quot;internalRedirect&quot;:&quot;https://www.precisionnewsletter.com/i/159011846?img=https%3A%2F%2Fsubstack-post-media.s3.amazonaws.com%2Fpublic%2Fimages%2Fb5e36d70-7271-41c8-add8-c8cfd00ae612_363x157.png&quot;,&quot;isProcessing&quot;:false,&quot;align&quot;:null,&quot;offset&quot;:false}" class="sizing-normal" alt="" srcset="https://substackcdn.com/image/fetch/$s_!nGfj!,w_424,c_limit,f_auto,q_auto:good,fl_progressive:steep/https%3A%2F%2Fsubstack-post-media.s3.amazonaws.com%2Fpublic%2Fimages%2Fb5e36d70-7271-41c8-add8-c8cfd00ae612_363x157.png 424w, https://substackcdn.com/image/fetch/$s_!nGfj!,w_848,c_limit,f_auto,q_auto:good,fl_progressive:steep/https%3A%2F%2Fsubstack-post-media.s3.amazonaws.com%2Fpublic%2Fimages%2Fb5e36d70-7271-41c8-add8-c8cfd00ae612_363x157.png 848w, https://substackcdn.com/image/fetch/$s_!nGfj!,w_1272,c_limit,f_auto,q_auto:good,fl_progressive:steep/https%3A%2F%2Fsubstack-post-media.s3.amazonaws.com%2Fpublic%2Fimages%2Fb5e36d70-7271-41c8-add8-c8cfd00ae612_363x157.png 1272w, https://substackcdn.com/image/fetch/$s_!nGfj!,w_1456,c_limit,f_auto,q_auto:good,fl_progressive:steep/https%3A%2F%2Fsubstack-post-media.s3.amazonaws.com%2Fpublic%2Fimages%2Fb5e36d70-7271-41c8-add8-c8cfd00ae612_363x157.png 1456w" sizes="100vw" loading="lazy"></picture><div></div></div></a><figcaption class="image-caption">Figure 2: Nickel Plated Copper Braids</figcaption></figure></div><p><strong>Advantages:</strong> Nickel-plated copper braids are highly resistant to aggressive chemicals and can withstand extreme temperatures, making them suitable for high-performance industrial applications.</p><p><strong>Best Conditions</strong>: These braids are best used in environments with high temperatures or exposure to aggressive chemicals, such as process temperature maintenance in chemical plants or refineries.</p><p><strong>Example:</strong> The XPI polymer-insulated cables use nickel-plated copper braids, allowing operation at temperatures up to 260&#176;C.</p><h4><strong>Applications for Braid Types</strong></h4><p><strong>Self-Regulating Cables</strong>: These cables adjust their power output based on ambient temperature, making them energy efficient.</p><h4><strong>Examples:</strong></h4><p><strong>10QTVR2-CT:</strong> A self-regulating cable with tinned copper braids, designed for frost protection on large pipes and storage tanks. This cable excels in HVAC systems due to its ability to adjust power output based on changing ambient temperatures, ensuring energy-efficient operation.</p><p><strong>15QTVR2-CT:</strong> Features the same tinned copper braid but with higher power output. It is ideal for applications requiring moderate temperature maintenance, such as chemical processing plants where maintaining a specific fluid viscosity is critical.</p><div class="captioned-image-container"><figure><a class="image-link image2" target="_blank" href="https://substackcdn.com/image/fetch/$s_!RLtn!,f_auto,q_auto:good,fl_progressive:steep/https%3A%2F%2Fsubstack-post-media.s3.amazonaws.com%2Fpublic%2Fimages%2Fcad54a31-3077-4117-beea-be47acdaf2fa_348x208.png" data-component-name="Image2ToDOM"><div class="image2-inset"><picture><source type="image/webp" srcset="https://substackcdn.com/image/fetch/$s_!RLtn!,w_424,c_limit,f_webp,q_auto:good,fl_progressive:steep/https%3A%2F%2Fsubstack-post-media.s3.amazonaws.com%2Fpublic%2Fimages%2Fcad54a31-3077-4117-beea-be47acdaf2fa_348x208.png 424w, https://substackcdn.com/image/fetch/$s_!RLtn!,w_848,c_limit,f_webp,q_auto:good,fl_progressive:steep/https%3A%2F%2Fsubstack-post-media.s3.amazonaws.com%2Fpublic%2Fimages%2Fcad54a31-3077-4117-beea-be47acdaf2fa_348x208.png 848w, https://substackcdn.com/image/fetch/$s_!RLtn!,w_1272,c_limit,f_webp,q_auto:good,fl_progressive:steep/https%3A%2F%2Fsubstack-post-media.s3.amazonaws.com%2Fpublic%2Fimages%2Fcad54a31-3077-4117-beea-be47acdaf2fa_348x208.png 1272w, https://substackcdn.com/image/fetch/$s_!RLtn!,w_1456,c_limit,f_webp,q_auto:good,fl_progressive:steep/https%3A%2F%2Fsubstack-post-media.s3.amazonaws.com%2Fpublic%2Fimages%2Fcad54a31-3077-4117-beea-be47acdaf2fa_348x208.png 1456w" sizes="100vw"><img src="https://substackcdn.com/image/fetch/$s_!RLtn!,w_1456,c_limit,f_auto,q_auto:good,fl_progressive:steep/https%3A%2F%2Fsubstack-post-media.s3.amazonaws.com%2Fpublic%2Fimages%2Fcad54a31-3077-4117-beea-be47acdaf2fa_348x208.png" width="348" height="208" data-attrs="{&quot;src&quot;:&quot;https://substack-post-media.s3.amazonaws.com/public/images/cad54a31-3077-4117-beea-be47acdaf2fa_348x208.png&quot;,&quot;srcNoWatermark&quot;:null,&quot;fullscreen&quot;:null,&quot;imageSize&quot;:null,&quot;height&quot;:208,&quot;width&quot;:348,&quot;resizeWidth&quot;:null,&quot;bytes&quot;:32390,&quot;alt&quot;:null,&quot;title&quot;:null,&quot;type&quot;:&quot;image/png&quot;,&quot;href&quot;:null,&quot;belowTheFold&quot;:true,&quot;topImage&quot;:false,&quot;internalRedirect&quot;:&quot;https://www.precisionnewsletter.com/i/159011846?img=https%3A%2F%2Fsubstack-post-media.s3.amazonaws.com%2Fpublic%2Fimages%2Fcad54a31-3077-4117-beea-be47acdaf2fa_348x208.png&quot;,&quot;isProcessing&quot;:false,&quot;align&quot;:null,&quot;offset&quot;:false}" class="sizing-normal" alt="" srcset="https://substackcdn.com/image/fetch/$s_!RLtn!,w_424,c_limit,f_auto,q_auto:good,fl_progressive:steep/https%3A%2F%2Fsubstack-post-media.s3.amazonaws.com%2Fpublic%2Fimages%2Fcad54a31-3077-4117-beea-be47acdaf2fa_348x208.png 424w, https://substackcdn.com/image/fetch/$s_!RLtn!,w_848,c_limit,f_auto,q_auto:good,fl_progressive:steep/https%3A%2F%2Fsubstack-post-media.s3.amazonaws.com%2Fpublic%2Fimages%2Fcad54a31-3077-4117-beea-be47acdaf2fa_348x208.png 848w, https://substackcdn.com/image/fetch/$s_!RLtn!,w_1272,c_limit,f_auto,q_auto:good,fl_progressive:steep/https%3A%2F%2Fsubstack-post-media.s3.amazonaws.com%2Fpublic%2Fimages%2Fcad54a31-3077-4117-beea-be47acdaf2fa_348x208.png 1272w, https://substackcdn.com/image/fetch/$s_!RLtn!,w_1456,c_limit,f_auto,q_auto:good,fl_progressive:steep/https%3A%2F%2Fsubstack-post-media.s3.amazonaws.com%2Fpublic%2Fimages%2Fcad54a31-3077-4117-beea-be47acdaf2fa_348x208.png 1456w" sizes="100vw" loading="lazy"></picture><div></div></div></a><figcaption class="image-caption"><em>Figure 3: QTVR Self Regulating Heating Cable with Tinned Copper Braid</em></figcaption></figure></div><p><strong>Industries:</strong> HVAC systems, food processing facilities, and medium-scale chemical industries.</p><p><strong>Reason for Excellence:</strong> Tinned copper braids enhance corrosion resistance while the self-regulating functionality prevents overheating and minimizes energy consumption.</p><p><strong>Constant Wattage Cables</strong>: These include the FHT cables, which use nickel-plated copper braids for high-temperature applications.</p><h4><strong>Examples:</strong></h4><p><strong>20FHT2-CT:</strong> This cable provides consistent wattage and includes nickel-plated copper braids that enhance durability in environments with steam purges. It is suitable for maintaining pipeline temperatures in pharmaceutical and chemical industries.</p><p><strong>30FHT2-CT:</strong> Offers higher wattage output, making it suitable for process temperature maintenance in refineries, where consistent heating is necessary to prevent solidification of crude oil.</p><div class="captioned-image-container"><figure><a class="image-link image2 is-viewable-img" target="_blank" href="https://substackcdn.com/image/fetch/$s_!MRqV!,f_auto,q_auto:good,fl_progressive:steep/https%3A%2F%2Fsubstack-post-media.s3.amazonaws.com%2Fpublic%2Fimages%2F6de8b39d-0887-43e3-a5d6-b168455f0e1c_385x242.png" data-component-name="Image2ToDOM"><div class="image2-inset"><picture><source type="image/webp" srcset="https://substackcdn.com/image/fetch/$s_!MRqV!,w_424,c_limit,f_webp,q_auto:good,fl_progressive:steep/https%3A%2F%2Fsubstack-post-media.s3.amazonaws.com%2Fpublic%2Fimages%2F6de8b39d-0887-43e3-a5d6-b168455f0e1c_385x242.png 424w, https://substackcdn.com/image/fetch/$s_!MRqV!,w_848,c_limit,f_webp,q_auto:good,fl_progressive:steep/https%3A%2F%2Fsubstack-post-media.s3.amazonaws.com%2Fpublic%2Fimages%2F6de8b39d-0887-43e3-a5d6-b168455f0e1c_385x242.png 848w, https://substackcdn.com/image/fetch/$s_!MRqV!,w_1272,c_limit,f_webp,q_auto:good,fl_progressive:steep/https%3A%2F%2Fsubstack-post-media.s3.amazonaws.com%2Fpublic%2Fimages%2F6de8b39d-0887-43e3-a5d6-b168455f0e1c_385x242.png 1272w, https://substackcdn.com/image/fetch/$s_!MRqV!,w_1456,c_limit,f_webp,q_auto:good,fl_progressive:steep/https%3A%2F%2Fsubstack-post-media.s3.amazonaws.com%2Fpublic%2Fimages%2F6de8b39d-0887-43e3-a5d6-b168455f0e1c_385x242.png 1456w" sizes="100vw"><img src="https://substackcdn.com/image/fetch/$s_!MRqV!,w_1456,c_limit,f_auto,q_auto:good,fl_progressive:steep/https%3A%2F%2Fsubstack-post-media.s3.amazonaws.com%2Fpublic%2Fimages%2F6de8b39d-0887-43e3-a5d6-b168455f0e1c_385x242.png" width="385" height="242" data-attrs="{&quot;src&quot;:&quot;https://substack-post-media.s3.amazonaws.com/public/images/6de8b39d-0887-43e3-a5d6-b168455f0e1c_385x242.png&quot;,&quot;srcNoWatermark&quot;:null,&quot;fullscreen&quot;:null,&quot;imageSize&quot;:null,&quot;height&quot;:242,&quot;width&quot;:385,&quot;resizeWidth&quot;:null,&quot;bytes&quot;:34629,&quot;alt&quot;:null,&quot;title&quot;:null,&quot;type&quot;:&quot;image/png&quot;,&quot;href&quot;:null,&quot;belowTheFold&quot;:true,&quot;topImage&quot;:false,&quot;internalRedirect&quot;:&quot;https://www.precisionnewsletter.com/i/159011846?img=https%3A%2F%2Fsubstack-post-media.s3.amazonaws.com%2Fpublic%2Fimages%2F6de8b39d-0887-43e3-a5d6-b168455f0e1c_385x242.png&quot;,&quot;isProcessing&quot;:false,&quot;align&quot;:null,&quot;offset&quot;:false}" class="sizing-normal" alt="" srcset="https://substackcdn.com/image/fetch/$s_!MRqV!,w_424,c_limit,f_auto,q_auto:good,fl_progressive:steep/https%3A%2F%2Fsubstack-post-media.s3.amazonaws.com%2Fpublic%2Fimages%2F6de8b39d-0887-43e3-a5d6-b168455f0e1c_385x242.png 424w, https://substackcdn.com/image/fetch/$s_!MRqV!,w_848,c_limit,f_auto,q_auto:good,fl_progressive:steep/https%3A%2F%2Fsubstack-post-media.s3.amazonaws.com%2Fpublic%2Fimages%2F6de8b39d-0887-43e3-a5d6-b168455f0e1c_385x242.png 848w, https://substackcdn.com/image/fetch/$s_!MRqV!,w_1272,c_limit,f_auto,q_auto:good,fl_progressive:steep/https%3A%2F%2Fsubstack-post-media.s3.amazonaws.com%2Fpublic%2Fimages%2F6de8b39d-0887-43e3-a5d6-b168455f0e1c_385x242.png 1272w, https://substackcdn.com/image/fetch/$s_!MRqV!,w_1456,c_limit,f_auto,q_auto:good,fl_progressive:steep/https%3A%2F%2Fsubstack-post-media.s3.amazonaws.com%2Fpublic%2Fimages%2F6de8b39d-0887-43e3-a5d6-b168455f0e1c_385x242.png 1456w" sizes="100vw" loading="lazy"></picture><div class="image-link-expand"><div class="pencraft pc-display-flex pc-gap-8 pc-reset"><button tabindex="0" type="button" class="pencraft pc-reset pencraft icon-container restack-image"><svg role="img" width="20" height="20" viewBox="0 0 20 20" fill="none" stroke-width="1.5" stroke="var(--color-fg-primary)" stroke-linecap="round" stroke-linejoin="round" xmlns="http://www.w3.org/2000/svg"><g><title></title><path d="M2.53001 7.81595C3.49179 4.73911 6.43281 2.5 9.91173 2.5C13.1684 2.5 15.9537 4.46214 17.0852 7.23684L17.6179 8.67647M17.6179 8.67647L18.5002 4.26471M17.6179 8.67647L13.6473 6.91176M17.4995 12.1841C16.5378 15.2609 13.5967 17.5 10.1178 17.5C6.86118 17.5 4.07589 15.5379 2.94432 12.7632L2.41165 11.3235M2.41165 11.3235L1.5293 15.7353M2.41165 11.3235L6.38224 13.0882"></path></g></svg></button><button tabindex="0" type="button" class="pencraft pc-reset pencraft icon-container view-image"><svg xmlns="http://www.w3.org/2000/svg" width="20" height="20" viewBox="0 0 24 24" fill="none" stroke="currentColor" stroke-width="2" stroke-linecap="round" stroke-linejoin="round" class="lucide lucide-maximize2 lucide-maximize-2"><polyline points="15 3 21 3 21 9"></polyline><polyline points="9 21 3 21 3 15"></polyline><line x1="21" x2="14" y1="3" y2="10"></line><line x1="3" x2="10" y1="21" y2="14"></line></svg></button></div></div></div></a><figcaption class="image-caption"><em>Figure 4: Constant Wattage Parallel Heating Cable with Nickel-plated Copper Braids</em></figcaption></figure></div><p><strong>Industries:</strong> Refineries, pharmaceutical plants, and heavy chemical manufacturing.</p><p><strong>Reason for Excellence:</strong> Nickel-plated copper braids provide resilience against chemical attacks and high temperatures, ensuring the cables can operate effectively under harsh conditions.</p><h4><strong>Comparison of Braid Types</strong></h4><div class="captioned-image-container"><figure><a class="image-link image2" target="_blank" href="https://substackcdn.com/image/fetch/$s_!XGR1!,f_auto,q_auto:good,fl_progressive:steep/https%3A%2F%2Fsubstack-post-media.s3.amazonaws.com%2Fpublic%2Fimages%2F7f46c2ec-4f7a-418f-8351-1ab9ba705216_638x134.png" data-component-name="Image2ToDOM"><div class="image2-inset"><picture><source type="image/webp" srcset="https://substackcdn.com/image/fetch/$s_!XGR1!,w_424,c_limit,f_webp,q_auto:good,fl_progressive:steep/https%3A%2F%2Fsubstack-post-media.s3.amazonaws.com%2Fpublic%2Fimages%2F7f46c2ec-4f7a-418f-8351-1ab9ba705216_638x134.png 424w, https://substackcdn.com/image/fetch/$s_!XGR1!,w_848,c_limit,f_webp,q_auto:good,fl_progressive:steep/https%3A%2F%2Fsubstack-post-media.s3.amazonaws.com%2Fpublic%2Fimages%2F7f46c2ec-4f7a-418f-8351-1ab9ba705216_638x134.png 848w, https://substackcdn.com/image/fetch/$s_!XGR1!,w_1272,c_limit,f_webp,q_auto:good,fl_progressive:steep/https%3A%2F%2Fsubstack-post-media.s3.amazonaws.com%2Fpublic%2Fimages%2F7f46c2ec-4f7a-418f-8351-1ab9ba705216_638x134.png 1272w, https://substackcdn.com/image/fetch/$s_!XGR1!,w_1456,c_limit,f_webp,q_auto:good,fl_progressive:steep/https%3A%2F%2Fsubstack-post-media.s3.amazonaws.com%2Fpublic%2Fimages%2F7f46c2ec-4f7a-418f-8351-1ab9ba705216_638x134.png 1456w" sizes="100vw"><img src="https://substackcdn.com/image/fetch/$s_!XGR1!,w_1456,c_limit,f_auto,q_auto:good,fl_progressive:steep/https%3A%2F%2Fsubstack-post-media.s3.amazonaws.com%2Fpublic%2Fimages%2F7f46c2ec-4f7a-418f-8351-1ab9ba705216_638x134.png" width="638" height="134" data-attrs="{&quot;src&quot;:&quot;https://substack-post-media.s3.amazonaws.com/public/images/7f46c2ec-4f7a-418f-8351-1ab9ba705216_638x134.png&quot;,&quot;srcNoWatermark&quot;:null,&quot;fullscreen&quot;:null,&quot;imageSize&quot;:null,&quot;height&quot;:134,&quot;width&quot;:638,&quot;resizeWidth&quot;:null,&quot;bytes&quot;:18636,&quot;alt&quot;:null,&quot;title&quot;:null,&quot;type&quot;:&quot;image/png&quot;,&quot;href&quot;:null,&quot;belowTheFold&quot;:true,&quot;topImage&quot;:false,&quot;internalRedirect&quot;:&quot;https://www.precisionnewsletter.com/i/159011846?img=https%3A%2F%2Fsubstack-post-media.s3.amazonaws.com%2Fpublic%2Fimages%2F7f46c2ec-4f7a-418f-8351-1ab9ba705216_638x134.png&quot;,&quot;isProcessing&quot;:false,&quot;align&quot;:null,&quot;offset&quot;:false}" class="sizing-normal" alt="" srcset="https://substackcdn.com/image/fetch/$s_!XGR1!,w_424,c_limit,f_auto,q_auto:good,fl_progressive:steep/https%3A%2F%2Fsubstack-post-media.s3.amazonaws.com%2Fpublic%2Fimages%2F7f46c2ec-4f7a-418f-8351-1ab9ba705216_638x134.png 424w, https://substackcdn.com/image/fetch/$s_!XGR1!,w_848,c_limit,f_auto,q_auto:good,fl_progressive:steep/https%3A%2F%2Fsubstack-post-media.s3.amazonaws.com%2Fpublic%2Fimages%2F7f46c2ec-4f7a-418f-8351-1ab9ba705216_638x134.png 848w, https://substackcdn.com/image/fetch/$s_!XGR1!,w_1272,c_limit,f_auto,q_auto:good,fl_progressive:steep/https%3A%2F%2Fsubstack-post-media.s3.amazonaws.com%2Fpublic%2Fimages%2F7f46c2ec-4f7a-418f-8351-1ab9ba705216_638x134.png 1272w, https://substackcdn.com/image/fetch/$s_!XGR1!,w_1456,c_limit,f_auto,q_auto:good,fl_progressive:steep/https%3A%2F%2Fsubstack-post-media.s3.amazonaws.com%2Fpublic%2Fimages%2F7f46c2ec-4f7a-418f-8351-1ab9ba705216_638x134.png 1456w" sizes="100vw" loading="lazy"></picture><div></div></div></a><figcaption class="image-caption"><em>Table 1: Comparison of Tinned Copper and Nickel-plated Copper</em></figcaption></figure></div><h4><strong>Conclusion</strong></h4><p>Protective braids are indispensable for ensuring the efficiency and safety of electric heat tracing cables. By selecting the appropriate braid material based on application requirements&#8212;whether it&#8217;s tinned copper for general use, nickel-plated copper for high temperatures, or stainless steel for extreme environments&#8212;industries can maximize the performance and lifespan of their heat tracing systems. In self-regulating cables, the synergy between the cable&#8217;s core functionality and the protective braids underscores their critical role in advancing heat tracing technology.</p><h4>References</h4><ol><li><p>RAYCHEM-DS-EU1381-QTVR-EN</p><p><a href="https://www.nvent.com/en-bo/raychem/products/qtvr-self-regulating-heating-cable-0">https://www.nvent.com/en-bo/raychem/products/qtvr-self-regulating-heating-cable-0</a></p></li><li><p>RAYCHEM-DS-EU1750-HTV-EN</p><p><a href="https://www.nvent.com/en-bo/raychem/products/htv-self-regulating-heating-cable-0">https://www.nvent.com/en-bo/raychem/products/htv-self-regulating-heating-cable-0</a></p></li><li><p>RAYCHEM-DS-EU1380-BTV-EN</p><p><a href="https://www.nvent.com/en-bo/raychem/products/btv-self-regulating-heating-cable-0">https://www.nvent.com/en-bo/raychem/products/btv-self-regulating-heating-cable-0</a></p></li><li><p>RAYCHEM-DS-EU1385-FMTFHT-EN:</p><p><a href="https://www.nvent.com/en-sk/raychem/products/fht-constant-wattage-parallel-heating-cable-0">https://www.nvent.com/en-sk/raychem/products/fht-constant-wattage-parallel-heating-cable-0</a></p><p></p></li></ol><p></p><div class="subscription-widget-wrap-editor" data-attrs="{&quot;url&quot;:&quot;https://www.precisionnewsletter.com/subscribe?&quot;,&quot;text&quot;:&quot;Subscribe&quot;,&quot;language&quot;:&quot;en&quot;}" data-component-name="SubscribeWidgetToDOM"><div class="subscription-widget show-subscribe"><div class="preamble"><p class="cta-caption">Thanks for reading Precision Newsletter! Subscribe for free to receive new posts and support my work.</p></div><form class="subscription-widget-subscribe"><input type="email" class="email-input" name="email" placeholder="Type your email&#8230;" tabindex="-1"><input type="submit" class="button primary" value="Subscribe"><div class="fake-input-wrapper"><div class="fake-input"></div><div class="fake-button"></div></div></form></div></div>]]></content:encoded></item><item><title><![CDATA[Material Failures in Electrical Heat Tracing Systems: Causes and Solutions]]></title><description><![CDATA[Understanding the root causes of material failures in electrical heat tracing systems and exploring effective solutions]]></description><link>https://www.precisionnewsletter.com/p/material-failures-in-electrical-heat</link><guid isPermaLink="false">https://www.precisionnewsletter.com/p/material-failures-in-electrical-heat</guid><dc:creator><![CDATA[Jinwook Jung]]></dc:creator><pubDate>Fri, 14 Mar 2025 12:55:07 GMT</pubDate><enclosure url="https://substack-post-media.s3.amazonaws.com/public/images/515d20d2-a0b4-458e-87b6-845d824e13da_704x1408.jpeg" length="0" type="image/jpeg"/><content:encoded><![CDATA[<h3><strong>Abstract</strong></h3><p><br>Material failures in electrical heat tracing systems can lead to significant operational downtime and increased maintenance costs. This article explores the common causes of such failures, including design flaws, environmental factors, and improper installation practices. It also examines potential solutions, such as enhanced material selection, adherence to installation standards, and preventive maintenance strategies. By addressing these issues, the reliability and efficiency of heat tracing systems can be improved, reducing the risk of operational disruptions.</p><div><hr></div><h3>Introduction</h3><p>Electrical heat tracing systems are essential in industrial applications, where they help maintain process temperatures, prevent freezing, and ensure safety. However, material failures can severely affect system performance, leading to costly downtime and safety risks. These failures often arise from a combination of design oversights, environmental challenges, and installation errors. For instance, inadequate thermal analysis during design may result in cable degradation, while exposure to corrosive environments can accelerate material wear.</p><div class="subscription-widget-wrap-editor" data-attrs="{&quot;url&quot;:&quot;https://www.precisionnewsletter.com/subscribe?&quot;,&quot;text&quot;:&quot;Subscribe&quot;,&quot;language&quot;:&quot;en&quot;}" data-component-name="SubscribeWidgetToDOM"><div class="subscription-widget show-subscribe"><div class="preamble"><p class="cta-caption">Thanks for reading Precision Newsletter! Subscribe for free to receive new posts and support my work.</p></div><form class="subscription-widget-subscribe"><input type="email" class="email-input" name="email" placeholder="Type your email&#8230;" tabindex="-1"><input type="submit" class="button primary" value="Subscribe"><div class="fake-input-wrapper"><div class="fake-input"></div><div class="fake-button"></div></div></form></div></div><p>By addressing these challenges with robust design simulations, selecting corrosion-resistant materials, and following stringent installation standards, the longevity and reliability of electrical heat tracing systems can be greatly improved. Furthermore, adopting a proactive approach that includes predictive maintenance and real-time monitoring ensures system efficiency and reduces the risk of unexpected failures.</p><div><hr></div><h3>Common Causes of Material Failures</h3><h4>1. <strong>Design Flaws</strong></h4><ul><li><p><strong>Insufficient understanding of the operational environment</strong></p></li><li><p><strong>Use of materials unsuitable for extreme temperatures or corrosive conditions</strong></p></li><li><p><strong>Lack of redundancy in critical system components, leading to single points of failure</strong></p></li></ul><div class="captioned-image-container"><figure><a class="image-link image2" target="_blank" href="https://substackcdn.com/image/fetch/$s_!Arpj!,f_auto,q_auto:good,fl_progressive:steep/https%3A%2F%2Fsubstack-post-media.s3.amazonaws.com%2Fpublic%2Fimages%2Fd2dc00e5-caab-4434-858e-a83af0635341_385x289.jpeg" data-component-name="Image2ToDOM"><div class="image2-inset"><picture><source type="image/webp" srcset="https://substackcdn.com/image/fetch/$s_!Arpj!,w_424,c_limit,f_webp,q_auto:good,fl_progressive:steep/https%3A%2F%2Fsubstack-post-media.s3.amazonaws.com%2Fpublic%2Fimages%2Fd2dc00e5-caab-4434-858e-a83af0635341_385x289.jpeg 424w, https://substackcdn.com/image/fetch/$s_!Arpj!,w_848,c_limit,f_webp,q_auto:good,fl_progressive:steep/https%3A%2F%2Fsubstack-post-media.s3.amazonaws.com%2Fpublic%2Fimages%2Fd2dc00e5-caab-4434-858e-a83af0635341_385x289.jpeg 848w, https://substackcdn.com/image/fetch/$s_!Arpj!,w_1272,c_limit,f_webp,q_auto:good,fl_progressive:steep/https%3A%2F%2Fsubstack-post-media.s3.amazonaws.com%2Fpublic%2Fimages%2Fd2dc00e5-caab-4434-858e-a83af0635341_385x289.jpeg 1272w, https://substackcdn.com/image/fetch/$s_!Arpj!,w_1456,c_limit,f_webp,q_auto:good,fl_progressive:steep/https%3A%2F%2Fsubstack-post-media.s3.amazonaws.com%2Fpublic%2Fimages%2Fd2dc00e5-caab-4434-858e-a83af0635341_385x289.jpeg 1456w" sizes="100vw"><img src="https://substackcdn.com/image/fetch/$s_!Arpj!,w_1456,c_limit,f_auto,q_auto:good,fl_progressive:steep/https%3A%2F%2Fsubstack-post-media.s3.amazonaws.com%2Fpublic%2Fimages%2Fd2dc00e5-caab-4434-858e-a83af0635341_385x289.jpeg" width="275" height="206.42857142857142" data-attrs="{&quot;src&quot;:&quot;https://substack-post-media.s3.amazonaws.com/public/images/d2dc00e5-caab-4434-858e-a83af0635341_385x289.jpeg&quot;,&quot;srcNoWatermark&quot;:null,&quot;fullscreen&quot;:null,&quot;imageSize&quot;:null,&quot;height&quot;:289,&quot;width&quot;:385,&quot;resizeWidth&quot;:275,&quot;bytes&quot;:34109,&quot;alt&quot;:null,&quot;title&quot;:null,&quot;type&quot;:&quot;image/jpeg&quot;,&quot;href&quot;:null,&quot;belowTheFold&quot;:true,&quot;topImage&quot;:false,&quot;internalRedirect&quot;:&quot;https://www.precisionnewsletter.com/i/159013695?img=https%3A%2F%2Fsubstack-post-media.s3.amazonaws.com%2Fpublic%2Fimages%2Fd2dc00e5-caab-4434-858e-a83af0635341_385x289.jpeg&quot;,&quot;isProcessing&quot;:false,&quot;align&quot;:null,&quot;offset&quot;:false}" class="sizing-normal" alt="" srcset="https://substackcdn.com/image/fetch/$s_!Arpj!,w_424,c_limit,f_auto,q_auto:good,fl_progressive:steep/https%3A%2F%2Fsubstack-post-media.s3.amazonaws.com%2Fpublic%2Fimages%2Fd2dc00e5-caab-4434-858e-a83af0635341_385x289.jpeg 424w, https://substackcdn.com/image/fetch/$s_!Arpj!,w_848,c_limit,f_auto,q_auto:good,fl_progressive:steep/https%3A%2F%2Fsubstack-post-media.s3.amazonaws.com%2Fpublic%2Fimages%2Fd2dc00e5-caab-4434-858e-a83af0635341_385x289.jpeg 848w, https://substackcdn.com/image/fetch/$s_!Arpj!,w_1272,c_limit,f_auto,q_auto:good,fl_progressive:steep/https%3A%2F%2Fsubstack-post-media.s3.amazonaws.com%2Fpublic%2Fimages%2Fd2dc00e5-caab-4434-858e-a83af0635341_385x289.jpeg 1272w, https://substackcdn.com/image/fetch/$s_!Arpj!,w_1456,c_limit,f_auto,q_auto:good,fl_progressive:steep/https%3A%2F%2Fsubstack-post-media.s3.amazonaws.com%2Fpublic%2Fimages%2Fd2dc00e5-caab-4434-858e-a83af0635341_385x289.jpeg 1456w" sizes="100vw" loading="lazy"></picture><div></div></div></a><figcaption class="image-caption"><em>Material Failure in Heat Tracing System</em></figcaption></figure></div><p><strong>Real-World Example:</strong><br>In a petrochemical plant, the design team underestimated the operating temperature, causing the heating cables to degrade within months. The original cables, made of a standard thermoplastic material, couldn't withstand the high temperature, leading to premature failure. After conducting a proper thermal analysis, the team replaced the cables with materials rated for higher temperatures, such as silicone rubber, which extended the system's lifespan.</p><p><strong>Solution:</strong><br>Before finalizing designs, conduct thorough simulations using software (e.g., ANSYS or COMSOL) to model environmental and operational conditions. This ensures that materials are well-suited to the actual operating environment and temperature ranges.</p><div><hr></div><h4>2. <strong>Environmental Factors</strong></h4><ul><li><p><strong>Moisture exposure leading to insulation degradation</strong></p></li><li><p><strong>Corrosion caused by chemical exposure or saline environments</strong></p></li><li><p><strong>Temperature fluctuations causing material fatigue</strong></p></li></ul><p><strong>Case Study:</strong><br>A coastal refinery experienced frequent cable failures due to salt-laden air that corroded the heating cables. The original cables used were standard stainless steel, which proved ineffective in such a harsh, saline environment. Transitioning to marine-grade cables with advanced anti-corrosion coatings, such as nickel-plated alloys, reduced failure rates by 80%.</p><p><strong>Explanation of 80% failure reduction:</strong><br>The failure rate decreased by 80% because the new cables were designed with materials that were more resistant to corrosion, reducing degradation from the salt-laden air and preventing system failures.</p><div class="captioned-image-container"><figure><a class="image-link image2" target="_blank" href="https://substackcdn.com/image/fetch/$s_!lFBx!,f_auto,q_auto:good,fl_progressive:steep/https%3A%2F%2Fsubstack-post-media.s3.amazonaws.com%2Fpublic%2Fimages%2Fd7d7cd81-10e3-40fa-b165-f33b8f81d171_100x155.png" data-component-name="Image2ToDOM"><div class="image2-inset"><picture><source type="image/webp" srcset="https://substackcdn.com/image/fetch/$s_!lFBx!,w_424,c_limit,f_webp,q_auto:good,fl_progressive:steep/https%3A%2F%2Fsubstack-post-media.s3.amazonaws.com%2Fpublic%2Fimages%2Fd7d7cd81-10e3-40fa-b165-f33b8f81d171_100x155.png 424w, https://substackcdn.com/image/fetch/$s_!lFBx!,w_848,c_limit,f_webp,q_auto:good,fl_progressive:steep/https%3A%2F%2Fsubstack-post-media.s3.amazonaws.com%2Fpublic%2Fimages%2Fd7d7cd81-10e3-40fa-b165-f33b8f81d171_100x155.png 848w, https://substackcdn.com/image/fetch/$s_!lFBx!,w_1272,c_limit,f_webp,q_auto:good,fl_progressive:steep/https%3A%2F%2Fsubstack-post-media.s3.amazonaws.com%2Fpublic%2Fimages%2Fd7d7cd81-10e3-40fa-b165-f33b8f81d171_100x155.png 1272w, https://substackcdn.com/image/fetch/$s_!lFBx!,w_1456,c_limit,f_webp,q_auto:good,fl_progressive:steep/https%3A%2F%2Fsubstack-post-media.s3.amazonaws.com%2Fpublic%2Fimages%2Fd7d7cd81-10e3-40fa-b165-f33b8f81d171_100x155.png 1456w" sizes="100vw"><img src="https://substackcdn.com/image/fetch/$s_!lFBx!,w_1456,c_limit,f_auto,q_auto:good,fl_progressive:steep/https%3A%2F%2Fsubstack-post-media.s3.amazonaws.com%2Fpublic%2Fimages%2Fd7d7cd81-10e3-40fa-b165-f33b8f81d171_100x155.png" width="192" height="297.6" data-attrs="{&quot;src&quot;:&quot;https://substack-post-media.s3.amazonaws.com/public/images/d7d7cd81-10e3-40fa-b165-f33b8f81d171_100x155.png&quot;,&quot;srcNoWatermark&quot;:null,&quot;fullscreen&quot;:null,&quot;imageSize&quot;:null,&quot;height&quot;:155,&quot;width&quot;:100,&quot;resizeWidth&quot;:192,&quot;bytes&quot;:48651,&quot;alt&quot;:null,&quot;title&quot;:null,&quot;type&quot;:&quot;image/png&quot;,&quot;href&quot;:null,&quot;belowTheFold&quot;:true,&quot;topImage&quot;:false,&quot;internalRedirect&quot;:&quot;https://www.precisionnewsletter.com/i/159013695?img=https%3A%2F%2Fsubstack-post-media.s3.amazonaws.com%2Fpublic%2Fimages%2Fd7d7cd81-10e3-40fa-b165-f33b8f81d171_100x155.png&quot;,&quot;isProcessing&quot;:false,&quot;align&quot;:null,&quot;offset&quot;:false}" class="sizing-normal" alt="" srcset="https://substackcdn.com/image/fetch/$s_!lFBx!,w_424,c_limit,f_auto,q_auto:good,fl_progressive:steep/https%3A%2F%2Fsubstack-post-media.s3.amazonaws.com%2Fpublic%2Fimages%2Fd7d7cd81-10e3-40fa-b165-f33b8f81d171_100x155.png 424w, https://substackcdn.com/image/fetch/$s_!lFBx!,w_848,c_limit,f_auto,q_auto:good,fl_progressive:steep/https%3A%2F%2Fsubstack-post-media.s3.amazonaws.com%2Fpublic%2Fimages%2Fd7d7cd81-10e3-40fa-b165-f33b8f81d171_100x155.png 848w, https://substackcdn.com/image/fetch/$s_!lFBx!,w_1272,c_limit,f_auto,q_auto:good,fl_progressive:steep/https%3A%2F%2Fsubstack-post-media.s3.amazonaws.com%2Fpublic%2Fimages%2Fd7d7cd81-10e3-40fa-b165-f33b8f81d171_100x155.png 1272w, https://substackcdn.com/image/fetch/$s_!lFBx!,w_1456,c_limit,f_auto,q_auto:good,fl_progressive:steep/https%3A%2F%2Fsubstack-post-media.s3.amazonaws.com%2Fpublic%2Fimages%2Fd7d7cd81-10e3-40fa-b165-f33b8f81d171_100x155.png 1456w" sizes="100vw" loading="lazy"></picture><div></div></div></a><figcaption class="image-caption"><em>Moisture leading to insulation degradation</em></figcaption></figure></div><p><strong>Solution:</strong><br>Choose materials designed for high-moisture or corrosive environments, such as marine-grade stainless steel sheathing or polymeric coatings like PTFE, which offer superior resistance to corrosion and environmental degradation.</p><div><hr></div><h4>3. <strong>Improper Installation Practices</strong></h4><ul><li><p><strong>Incorrect cable routing causing mechanical stress</strong></p></li><li><p><strong>Failure to follow manufacturer guidelines during installation</strong></p></li><li><p><strong>Insufficient insulation leading to thermal inefficiencies</strong></p></li></ul><p><strong>Mathematical Insight:</strong><br>Improper heat transfer due to inadequate insulation can be quantified using Fourier's Law, which describes the rate of heat flow through a material:</p><p>                                                              q=&#8722;k&#8901;&#8711;T</p><p>where:</p><ul><li><p>q: Heat flux (rate of heat transfer per unit area, W/m&#178;)</p></li><li><p>k: Thermal conductivity of the material (W/m&#183;K)</p></li><li><p>&#8711;T: Temperature gradient (the difference in temperature per unit distance, K/m)</p></li></ul><p>In the context of heat tracing systems:</p><ul><li><p><strong>Inadequate insulation</strong> increases the temperature gradient &#8711;T\nabla T, causing more heat to be lost to the surrounding environment. This results in localized overheating where insulation is insufficient, which can damage cables and other components.</p></li></ul><div class="captioned-image-container"><figure><a class="image-link image2" target="_blank" href="https://substackcdn.com/image/fetch/$s_!kwsS!,f_auto,q_auto:good,fl_progressive:steep/https%3A%2F%2Fsubstack-post-media.s3.amazonaws.com%2Fpublic%2Fimages%2Ffe198cbe-434f-4dd5-a642-2bf60e386962_160x133.jpeg" data-component-name="Image2ToDOM"><div class="image2-inset"><picture><source type="image/webp" srcset="https://substackcdn.com/image/fetch/$s_!kwsS!,w_424,c_limit,f_webp,q_auto:good,fl_progressive:steep/https%3A%2F%2Fsubstack-post-media.s3.amazonaws.com%2Fpublic%2Fimages%2Ffe198cbe-434f-4dd5-a642-2bf60e386962_160x133.jpeg 424w, https://substackcdn.com/image/fetch/$s_!kwsS!,w_848,c_limit,f_webp,q_auto:good,fl_progressive:steep/https%3A%2F%2Fsubstack-post-media.s3.amazonaws.com%2Fpublic%2Fimages%2Ffe198cbe-434f-4dd5-a642-2bf60e386962_160x133.jpeg 848w, https://substackcdn.com/image/fetch/$s_!kwsS!,w_1272,c_limit,f_webp,q_auto:good,fl_progressive:steep/https%3A%2F%2Fsubstack-post-media.s3.amazonaws.com%2Fpublic%2Fimages%2Ffe198cbe-434f-4dd5-a642-2bf60e386962_160x133.jpeg 1272w, https://substackcdn.com/image/fetch/$s_!kwsS!,w_1456,c_limit,f_webp,q_auto:good,fl_progressive:steep/https%3A%2F%2Fsubstack-post-media.s3.amazonaws.com%2Fpublic%2Fimages%2Ffe198cbe-434f-4dd5-a642-2bf60e386962_160x133.jpeg 1456w" sizes="100vw"><img src="https://substackcdn.com/image/fetch/$s_!kwsS!,w_1456,c_limit,f_auto,q_auto:good,fl_progressive:steep/https%3A%2F%2Fsubstack-post-media.s3.amazonaws.com%2Fpublic%2Fimages%2Ffe198cbe-434f-4dd5-a642-2bf60e386962_160x133.jpeg" width="160" height="133" data-attrs="{&quot;src&quot;:&quot;https://substack-post-media.s3.amazonaws.com/public/images/fe198cbe-434f-4dd5-a642-2bf60e386962_160x133.jpeg&quot;,&quot;srcNoWatermark&quot;:null,&quot;fullscreen&quot;:null,&quot;imageSize&quot;:null,&quot;height&quot;:133,&quot;width&quot;:160,&quot;resizeWidth&quot;:null,&quot;bytes&quot;:8065,&quot;alt&quot;:null,&quot;title&quot;:null,&quot;type&quot;:&quot;image/jpeg&quot;,&quot;href&quot;:null,&quot;belowTheFold&quot;:true,&quot;topImage&quot;:false,&quot;internalRedirect&quot;:&quot;https://www.precisionnewsletter.com/i/159013695?img=https%3A%2F%2Fsubstack-post-media.s3.amazonaws.com%2Fpublic%2Fimages%2Ffe198cbe-434f-4dd5-a642-2bf60e386962_160x133.jpeg&quot;,&quot;isProcessing&quot;:false,&quot;align&quot;:null,&quot;offset&quot;:false}" class="sizing-normal" alt="" srcset="https://substackcdn.com/image/fetch/$s_!kwsS!,w_424,c_limit,f_auto,q_auto:good,fl_progressive:steep/https%3A%2F%2Fsubstack-post-media.s3.amazonaws.com%2Fpublic%2Fimages%2Ffe198cbe-434f-4dd5-a642-2bf60e386962_160x133.jpeg 424w, https://substackcdn.com/image/fetch/$s_!kwsS!,w_848,c_limit,f_auto,q_auto:good,fl_progressive:steep/https%3A%2F%2Fsubstack-post-media.s3.amazonaws.com%2Fpublic%2Fimages%2Ffe198cbe-434f-4dd5-a642-2bf60e386962_160x133.jpeg 848w, https://substackcdn.com/image/fetch/$s_!kwsS!,w_1272,c_limit,f_auto,q_auto:good,fl_progressive:steep/https%3A%2F%2Fsubstack-post-media.s3.amazonaws.com%2Fpublic%2Fimages%2Ffe198cbe-434f-4dd5-a642-2bf60e386962_160x133.jpeg 1272w, https://substackcdn.com/image/fetch/$s_!kwsS!,w_1456,c_limit,f_auto,q_auto:good,fl_progressive:steep/https%3A%2F%2Fsubstack-post-media.s3.amazonaws.com%2Fpublic%2Fimages%2Ffe198cbe-434f-4dd5-a642-2bf60e386962_160x133.jpeg 1456w" sizes="100vw" loading="lazy"></picture><div></div></div></a><figcaption class="image-caption"><em>Thermal inefficiencies in Heat Tracing Systems</em></figcaption></figure></div><h4><strong>Solution:</strong><br>To minimize thermal inefficiencies:</h4><ul><li><p>Use high-quality insulation materials with low thermal conductivity to prevent heat loss.</p></li><li><p>Route cables carefully to avoid mechanical stress and thermal hotspots.</p></li><li><p>Follow manufacturer installation guidelines for optimal insulation and heat retention properties.</p></li></ul><div><hr></div><h3>Solutions to Address Material Failures</h3><h4>1. <strong>Improved Material Selection</strong></h4><p>&#183; <strong>Opt for materials with high thermal and chemical resistance:</strong><br>Select materials that can withstand extreme temperatures and resist chemical degradation. For example, high-temperature-resistant cables made from fluoropolymer (PTFE) or silicone rubber offer excellent thermal insulation and are highly resistant to chemical exposure, ideal for industries such as petrochemical or pharmaceutical plants.</p><p>&#183; <strong>Use advanced insulation technologies to protect against moisture and corrosion:</strong><br>Materials like mineral-insulated cables, silicone rubber, and PTFE-based coatings provide enhanced protection against moisture and corrosion, which can cause insulation breakdown. For example, Teflon-insulated cables in chemical plants prevent degradation from caustic substances.</p><div><hr></div><h4>2. <strong>Adherence to Installation Standards</strong></h4><ul><li><p><strong>Follow industry guidelines such as IEEE 515 or IEC 60079:</strong><br>Industry standards ensure that systems are designed and installed correctly, reducing the risk of failure. Adherence to IEEE 515 (for electric heat tracing) and IEC 60079 (for electrical equipment in explosive atmospheres) ensures that heat tracing systems are safe and reliable.</p></li></ul><p><strong>Example:</strong><br>When installing heat tracing cables in hazardous areas, adherence to IEC 60079 prevents ignition risks due to heat or electrical faults, ensuring safe operation.</p><ul><li><p><strong>Conduct thorough inspections during and after installation:</strong><br>Regular inspections help detect issues like improper cable routing or insufficient insulation that could lead to future failures. Inspections should include physical checks and electrical resistance testing to ensure proper grounding and functionality.</p></li></ul><div><hr></div><h4>3. <strong>Preventive Maintenance Strategies</strong></h4><p>&#183; <strong>Regular system audits to identify potential issues early:</strong><br>Routine audits are essential for spotting early signs of wear, such as cable degradation or insulation breakdown. For example, quarterly audits in a manufacturing plant identified minor insulation wear due to prolonged exposure to high temperatures, allowing for timely repairs and preventing system failure.</p><p>&#183; <strong>Use predictive maintenance tools to monitor system health in real-time:</strong><br>Sensors and IoT devices can monitor system parameters like temperature and voltage, detecting anomalies before they cause failure. Integrating this data with cloud-based platforms enables operators to take corrective actions promptly.</p><p><strong>Example:</strong><br>A chemical processing plant used infrared thermography to monitor heat tracing cables, identifying hotspots that indicated insufficient insulation. This allowed for timely repairs and prevented a catastrophic failure</p><div><hr></div><h3>Table: Common Causes of Failures and Recommended Solutions</h3><div class="captioned-image-container"><figure><a class="image-link image2" target="_blank" href="https://substackcdn.com/image/fetch/$s_!HdBD!,f_auto,q_auto:good,fl_progressive:steep/https%3A%2F%2Fsubstack-post-media.s3.amazonaws.com%2Fpublic%2Fimages%2Fa77ad296-0082-437e-affe-4c8fb680e435_639x193.png" data-component-name="Image2ToDOM"><div class="image2-inset"><picture><source type="image/webp" srcset="https://substackcdn.com/image/fetch/$s_!HdBD!,w_424,c_limit,f_webp,q_auto:good,fl_progressive:steep/https%3A%2F%2Fsubstack-post-media.s3.amazonaws.com%2Fpublic%2Fimages%2Fa77ad296-0082-437e-affe-4c8fb680e435_639x193.png 424w, https://substackcdn.com/image/fetch/$s_!HdBD!,w_848,c_limit,f_webp,q_auto:good,fl_progressive:steep/https%3A%2F%2Fsubstack-post-media.s3.amazonaws.com%2Fpublic%2Fimages%2Fa77ad296-0082-437e-affe-4c8fb680e435_639x193.png 848w, https://substackcdn.com/image/fetch/$s_!HdBD!,w_1272,c_limit,f_webp,q_auto:good,fl_progressive:steep/https%3A%2F%2Fsubstack-post-media.s3.amazonaws.com%2Fpublic%2Fimages%2Fa77ad296-0082-437e-affe-4c8fb680e435_639x193.png 1272w, https://substackcdn.com/image/fetch/$s_!HdBD!,w_1456,c_limit,f_webp,q_auto:good,fl_progressive:steep/https%3A%2F%2Fsubstack-post-media.s3.amazonaws.com%2Fpublic%2Fimages%2Fa77ad296-0082-437e-affe-4c8fb680e435_639x193.png 1456w" sizes="100vw"><img src="https://substackcdn.com/image/fetch/$s_!HdBD!,w_1456,c_limit,f_auto,q_auto:good,fl_progressive:steep/https%3A%2F%2Fsubstack-post-media.s3.amazonaws.com%2Fpublic%2Fimages%2Fa77ad296-0082-437e-affe-4c8fb680e435_639x193.png" width="639" height="193" data-attrs="{&quot;src&quot;:&quot;https://substack-post-media.s3.amazonaws.com/public/images/a77ad296-0082-437e-affe-4c8fb680e435_639x193.png&quot;,&quot;srcNoWatermark&quot;:null,&quot;fullscreen&quot;:null,&quot;imageSize&quot;:null,&quot;height&quot;:193,&quot;width&quot;:639,&quot;resizeWidth&quot;:null,&quot;bytes&quot;:16626,&quot;alt&quot;:null,&quot;title&quot;:null,&quot;type&quot;:&quot;image/png&quot;,&quot;href&quot;:null,&quot;belowTheFold&quot;:true,&quot;topImage&quot;:false,&quot;internalRedirect&quot;:&quot;https://www.precisionnewsletter.com/i/159013695?img=https%3A%2F%2Fsubstack-post-media.s3.amazonaws.com%2Fpublic%2Fimages%2Fa77ad296-0082-437e-affe-4c8fb680e435_639x193.png&quot;,&quot;isProcessing&quot;:false,&quot;align&quot;:null,&quot;offset&quot;:false}" class="sizing-normal" alt="" srcset="https://substackcdn.com/image/fetch/$s_!HdBD!,w_424,c_limit,f_auto,q_auto:good,fl_progressive:steep/https%3A%2F%2Fsubstack-post-media.s3.amazonaws.com%2Fpublic%2Fimages%2Fa77ad296-0082-437e-affe-4c8fb680e435_639x193.png 424w, https://substackcdn.com/image/fetch/$s_!HdBD!,w_848,c_limit,f_auto,q_auto:good,fl_progressive:steep/https%3A%2F%2Fsubstack-post-media.s3.amazonaws.com%2Fpublic%2Fimages%2Fa77ad296-0082-437e-affe-4c8fb680e435_639x193.png 848w, https://substackcdn.com/image/fetch/$s_!HdBD!,w_1272,c_limit,f_auto,q_auto:good,fl_progressive:steep/https%3A%2F%2Fsubstack-post-media.s3.amazonaws.com%2Fpublic%2Fimages%2Fa77ad296-0082-437e-affe-4c8fb680e435_639x193.png 1272w, https://substackcdn.com/image/fetch/$s_!HdBD!,w_1456,c_limit,f_auto,q_auto:good,fl_progressive:steep/https%3A%2F%2Fsubstack-post-media.s3.amazonaws.com%2Fpublic%2Fimages%2Fa77ad296-0082-437e-affe-4c8fb680e435_639x193.png 1456w" sizes="100vw" loading="lazy"></picture><div></div></div></a></figure></div><h3>Conclusion</h3><p>Material failures in electrical heat tracing systems can be mitigated through thoughtful design, careful installation, and ongoing maintenance. By addressing design flaws, environmental challenges, and installation errors, industries can improve the safety, efficiency, and longevity of their heat tracing systems. Future advancements in materials and monitoring technologies promise to further reduce failure rates, enhancing system reliability and performance.</p><div><hr></div><h3>References</h3><ol><li><p><em>Biggest Fails in Heat Trace System: https://www.powerblanket.com/blog/biggest-fails-in-heat-trace/</em></p></li><li><p><em>Handbook of Industrial Electric Heat Tracing: http://www.heat-traceht</em></p></li></ol><div class="subscription-widget-wrap-editor" data-attrs="{&quot;url&quot;:&quot;https://www.precisionnewsletter.com/subscribe?&quot;,&quot;text&quot;:&quot;Subscribe&quot;,&quot;language&quot;:&quot;en&quot;}" data-component-name="SubscribeWidgetToDOM"><div class="subscription-widget show-subscribe"><div class="preamble"><p class="cta-caption">Thanks for reading Precision Newsletter! Subscribe for free to receive new posts and support my work.</p></div><form class="subscription-widget-subscribe"><input type="email" class="email-input" name="email" placeholder="Type your email&#8230;" tabindex="-1"><input type="submit" class="button primary" value="Subscribe"><div class="fake-input-wrapper"><div class="fake-input"></div><div class="fake-button"></div></div></form></div></div>]]></content:encoded></item><item><title><![CDATA[Preventing Frost Heave in Cold Regions: The Role of Trace Heating Cables and Material Considerations]]></title><description><![CDATA[Frost heave, the upward movement of soil due to ice lens formation, poses a significant threat to infrastructure in cold regions. This article investigates the role of trace heating cables in mitigating frost heave, focusing on the critical aspect of material considerations for optimal performance and longevity.]]></description><link>https://www.precisionnewsletter.com/p/preventing-frost-heave-in-cold-regions</link><guid isPermaLink="false">https://www.precisionnewsletter.com/p/preventing-frost-heave-in-cold-regions</guid><dc:creator><![CDATA[Jinwook Jung]]></dc:creator><pubDate>Fri, 14 Mar 2025 09:14:27 GMT</pubDate><enclosure url="https://substack-post-media.s3.amazonaws.com/public/images/8bf66acf-efdd-461c-8442-8e03b13bba1c_704x1408.jpeg" length="0" type="image/jpeg"/><content:encoded><![CDATA[<h3><strong>Abstract</strong></h3><p>Frost heave, the upward movement of soil due to ice lens formation, poses a significant threat to infrastructure in cold regions. This article investigates the role of trace heating cables in mitigating frost heave, focusing on the critical aspect of material considerations for optimal performance and longevity. Key findings highlight the effectiveness of trace heating in preventing ice lens formation, the importance of sheath, conductor, and insulation materials, and the need for careful selection based on specific application requirements. Furthermore, the article explores the environmental impact of trace heating systems, discusses energy efficiency considerations, and examines emerging trends in trace heating technology, including case studies, life-cycle assessments, and economic analyses.</p><h3><strong>Introduction</strong></h3><p>Frost heave, a geological phenomenon characterized by the upward displacement of soil due to the expansion of freezing water, poses a significant threat to infrastructure in cold climates. Roads buckle, pipelines rupture, and building foundations crack, resulting in substantial economic losses, disruptions to essential services, and safety hazards.</p><div class="subscription-widget-wrap-editor" data-attrs="{&quot;url&quot;:&quot;https://www.precisionnewsletter.com/subscribe?&quot;,&quot;text&quot;:&quot;Subscribe&quot;,&quot;language&quot;:&quot;en&quot;}" data-component-name="SubscribeWidgetToDOM"><div class="subscription-widget show-subscribe"><div class="preamble"><p class="cta-caption">Thanks for reading Precision Newsletter! Subscribe for free to receive new posts and support my work.</p></div><form class="subscription-widget-subscribe"><input type="email" class="email-input" name="email" placeholder="Type your email&#8230;" tabindex="-1"><input type="submit" class="button primary" value="Subscribe"><div class="fake-input-wrapper"><div class="fake-input"></div><div class="fake-button"></div></div></form></div></div><p>This article delves into the intricacies of frost heave, exploring the underlying principles of trace heating technology as a proven mitigation strategy. We will critically examine the crucial role of material selection in ensuring the effectiveness and longevity of trace heating systems. Furthermore, we will explore the environmental impact, energy efficiency considerations, and emerging trends in trace heating technology, including real-world case studies, life-cycle assessments, and economic analyses.</p><h3><strong>Understanding Frost Heave</strong></h3><p>Frost heave is a natural process that occurs in cold climates when water in the soil freezes and expands, pushing the ground upward. This happens because water turns into ice, increasing in volume by about 9%, which creates pressure within the soil. The freezing process also draws more water from surrounding areas, forming layers of ice called ice lenses. As these ice layers grow, they force the soil to rise, leading to cracks and damage in roads, pipelines, and building foundations. When temperatures warm up, the ice melts, and the ground can sink back unevenly, causing further structural problems. Frost heave is especially common in fine-grained soils like clay and silt, which hold a lot of moisture.</p><h3><strong>Factors Influencing Frost Heave</strong></h3><ul><li><p><strong>Soil Type:</strong> Fine-grained soils, such as clay and silt, with their high water-holding capacity, are particularly susceptible to frost heave.</p></li><li><p><strong>Water Content:</strong> The presence of sufficient moisture within the soil is a prerequisite for frost heave to occur.</p></li><li><p><strong>Climate:</strong> Regions with prolonged periods of freezing temperatures and fluctuating temperature cycles are more prone to frost heave.</p></li></ul><div class="captioned-image-container"><figure><a class="image-link image2 is-viewable-img" target="_blank" href="https://substackcdn.com/image/fetch/$s_!Vxwk!,f_auto,q_auto:good,fl_progressive:steep/https%3A%2F%2Fsubstack-post-media.s3.amazonaws.com%2Fpublic%2Fimages%2F63cebb25-b2cd-41ee-80fa-4e5a9d37774e_323x492.png" data-component-name="Image2ToDOM"><div class="image2-inset"><picture><source type="image/webp" srcset="https://substackcdn.com/image/fetch/$s_!Vxwk!,w_424,c_limit,f_webp,q_auto:good,fl_progressive:steep/https%3A%2F%2Fsubstack-post-media.s3.amazonaws.com%2Fpublic%2Fimages%2F63cebb25-b2cd-41ee-80fa-4e5a9d37774e_323x492.png 424w, https://substackcdn.com/image/fetch/$s_!Vxwk!,w_848,c_limit,f_webp,q_auto:good,fl_progressive:steep/https%3A%2F%2Fsubstack-post-media.s3.amazonaws.com%2Fpublic%2Fimages%2F63cebb25-b2cd-41ee-80fa-4e5a9d37774e_323x492.png 848w, https://substackcdn.com/image/fetch/$s_!Vxwk!,w_1272,c_limit,f_webp,q_auto:good,fl_progressive:steep/https%3A%2F%2Fsubstack-post-media.s3.amazonaws.com%2Fpublic%2Fimages%2F63cebb25-b2cd-41ee-80fa-4e5a9d37774e_323x492.png 1272w, https://substackcdn.com/image/fetch/$s_!Vxwk!,w_1456,c_limit,f_webp,q_auto:good,fl_progressive:steep/https%3A%2F%2Fsubstack-post-media.s3.amazonaws.com%2Fpublic%2Fimages%2F63cebb25-b2cd-41ee-80fa-4e5a9d37774e_323x492.png 1456w" sizes="100vw"><img src="https://substackcdn.com/image/fetch/$s_!Vxwk!,w_1456,c_limit,f_auto,q_auto:good,fl_progressive:steep/https%3A%2F%2Fsubstack-post-media.s3.amazonaws.com%2Fpublic%2Fimages%2F63cebb25-b2cd-41ee-80fa-4e5a9d37774e_323x492.png" width="323" height="492" data-attrs="{&quot;src&quot;:&quot;https://substack-post-media.s3.amazonaws.com/public/images/63cebb25-b2cd-41ee-80fa-4e5a9d37774e_323x492.png&quot;,&quot;srcNoWatermark&quot;:null,&quot;fullscreen&quot;:null,&quot;imageSize&quot;:null,&quot;height&quot;:492,&quot;width&quot;:323,&quot;resizeWidth&quot;:null,&quot;bytes&quot;:null,&quot;alt&quot;:null,&quot;title&quot;:null,&quot;type&quot;:null,&quot;href&quot;:null,&quot;belowTheFold&quot;:true,&quot;topImage&quot;:false,&quot;internalRedirect&quot;:null,&quot;isProcessing&quot;:false,&quot;align&quot;:null,&quot;offset&quot;:false}" class="sizing-normal" alt="" srcset="https://substackcdn.com/image/fetch/$s_!Vxwk!,w_424,c_limit,f_auto,q_auto:good,fl_progressive:steep/https%3A%2F%2Fsubstack-post-media.s3.amazonaws.com%2Fpublic%2Fimages%2F63cebb25-b2cd-41ee-80fa-4e5a9d37774e_323x492.png 424w, https://substackcdn.com/image/fetch/$s_!Vxwk!,w_848,c_limit,f_auto,q_auto:good,fl_progressive:steep/https%3A%2F%2Fsubstack-post-media.s3.amazonaws.com%2Fpublic%2Fimages%2F63cebb25-b2cd-41ee-80fa-4e5a9d37774e_323x492.png 848w, https://substackcdn.com/image/fetch/$s_!Vxwk!,w_1272,c_limit,f_auto,q_auto:good,fl_progressive:steep/https%3A%2F%2Fsubstack-post-media.s3.amazonaws.com%2Fpublic%2Fimages%2F63cebb25-b2cd-41ee-80fa-4e5a9d37774e_323x492.png 1272w, https://substackcdn.com/image/fetch/$s_!Vxwk!,w_1456,c_limit,f_auto,q_auto:good,fl_progressive:steep/https%3A%2F%2Fsubstack-post-media.s3.amazonaws.com%2Fpublic%2Fimages%2F63cebb25-b2cd-41ee-80fa-4e5a9d37774e_323x492.png 1456w" sizes="100vw" loading="lazy"></picture><div class="image-link-expand"><div class="pencraft pc-display-flex pc-gap-8 pc-reset"><button tabindex="0" type="button" class="pencraft pc-reset pencraft icon-container restack-image"><svg role="img" width="20" height="20" viewBox="0 0 20 20" fill="none" stroke-width="1.5" stroke="var(--color-fg-primary)" stroke-linecap="round" stroke-linejoin="round" xmlns="http://www.w3.org/2000/svg"><g><title></title><path d="M2.53001 7.81595C3.49179 4.73911 6.43281 2.5 9.91173 2.5C13.1684 2.5 15.9537 4.46214 17.0852 7.23684L17.6179 8.67647M17.6179 8.67647L18.5002 4.26471M17.6179 8.67647L13.6473 6.91176M17.4995 12.1841C16.5378 15.2609 13.5967 17.5 10.1178 17.5C6.86118 17.5 4.07589 15.5379 2.94432 12.7632L2.41165 11.3235M2.41165 11.3235L1.5293 15.7353M2.41165 11.3235L6.38224 13.0882"></path></g></svg></button><button tabindex="0" type="button" class="pencraft pc-reset pencraft icon-container view-image"><svg xmlns="http://www.w3.org/2000/svg" width="20" height="20" viewBox="0 0 24 24" fill="none" stroke="currentColor" stroke-width="2" stroke-linecap="round" stroke-linejoin="round" class="lucide lucide-maximize2 lucide-maximize-2"><polyline points="15 3 21 3 21 9"></polyline><polyline points="9 21 3 21 3 15"></polyline><line x1="21" x2="14" y1="3" y2="10"></line><line x1="3" x2="10" y1="21" y2="14"></line></svg></button></div></div></div></a></figure></div><p><em>Figure 1: A schematic diagram illustrating the process of ice lens formation and soil movement during frost heave</em></p><p>The diagram depicts the intricate interplay between water, soil particles, and temperature fluctuations. As water within the soil freezes, it expands, exerting pressure on surrounding soil particles and pushing them upwards. The formation of ice lenses, thin layers of ice within the soil profile, further amplifies this upward movement, leading to significant ground deformation.</p><p><strong>The Problems Frost Heave Causes for Heating Cables<br><br></strong>Frost heave, the upward expansion of soil due to freezing, poses significant threats to underground heating cables. Here are the conventional problems that arise:</p><ul><li><p><strong>Mechanical Stress:</strong> The powerful force of expanding soil can physically damage heating cables. The constant pressure, bending, and stretching can lead to cracks in the cable's protective layers or even complete breakage of the internal wires.</p></li><li><p><strong>Heat Loss:</strong> When the cable's insulation is compromised due to frost heave damage, heat distribution becomes uneven. This reduces the system's efficiency, leading to wasted energy and ineffective heating.</p></li><li><p><strong>Increased Maintenance Costs:</strong> The damage caused by frost heave necessitates frequent inspections and repairs. This translates to higher operational expenses due to labor, replacement parts, and system downtime.</p></li><li><p><strong>Uneven Thawing and Cracking:</strong> Even if the cable isn't completely broken, uneven heating can cause the ground to thaw unevenly. This can result in cracks and damage to the surface above the cables, such as driveways or patios.</p></li><li><p><strong>Shortened Lifespan:</strong> The combined effects of physical damage, inefficient heating, and increased maintenance contribute to a shorter lifespan for the heating system. Instead of lasting for many years, a system affected by frost heave might require premature replacement.</p></li></ul><div class="captioned-image-container"><figure><a class="image-link image2" target="_blank" href="https://substackcdn.com/image/fetch/$s_!anEd!,f_auto,q_auto:good,fl_progressive:steep/https%3A%2F%2Fsubstack-post-media.s3.amazonaws.com%2Fpublic%2Fimages%2F3d8350d4-596b-45ca-9da6-d6264cea31ff_3356x2166.jpeg" data-component-name="Image2ToDOM"><div class="image2-inset"><picture><source type="image/webp" srcset="https://substackcdn.com/image/fetch/$s_!anEd!,w_424,c_limit,f_webp,q_auto:good,fl_progressive:steep/https%3A%2F%2Fsubstack-post-media.s3.amazonaws.com%2Fpublic%2Fimages%2F3d8350d4-596b-45ca-9da6-d6264cea31ff_3356x2166.jpeg 424w, https://substackcdn.com/image/fetch/$s_!anEd!,w_848,c_limit,f_webp,q_auto:good,fl_progressive:steep/https%3A%2F%2Fsubstack-post-media.s3.amazonaws.com%2Fpublic%2Fimages%2F3d8350d4-596b-45ca-9da6-d6264cea31ff_3356x2166.jpeg 848w, https://substackcdn.com/image/fetch/$s_!anEd!,w_1272,c_limit,f_webp,q_auto:good,fl_progressive:steep/https%3A%2F%2Fsubstack-post-media.s3.amazonaws.com%2Fpublic%2Fimages%2F3d8350d4-596b-45ca-9da6-d6264cea31ff_3356x2166.jpeg 1272w, https://substackcdn.com/image/fetch/$s_!anEd!,w_1456,c_limit,f_webp,q_auto:good,fl_progressive:steep/https%3A%2F%2Fsubstack-post-media.s3.amazonaws.com%2Fpublic%2Fimages%2F3d8350d4-596b-45ca-9da6-d6264cea31ff_3356x2166.jpeg 1456w" sizes="100vw"><img src="https://substackcdn.com/image/fetch/$s_!anEd!,w_1456,c_limit,f_auto,q_auto:good,fl_progressive:steep/https%3A%2F%2Fsubstack-post-media.s3.amazonaws.com%2Fpublic%2Fimages%2F3d8350d4-596b-45ca-9da6-d6264cea31ff_3356x2166.jpeg" width="370" height="238.87362637362637" data-attrs="{&quot;src&quot;:&quot;https://substack-post-media.s3.amazonaws.com/public/images/3d8350d4-596b-45ca-9da6-d6264cea31ff_3356x2166.jpeg&quot;,&quot;srcNoWatermark&quot;:null,&quot;fullscreen&quot;:null,&quot;imageSize&quot;:null,&quot;height&quot;:940,&quot;width&quot;:1456,&quot;resizeWidth&quot;:370,&quot;bytes&quot;:1174428,&quot;alt&quot;:null,&quot;title&quot;:null,&quot;type&quot;:&quot;image/jpeg&quot;,&quot;href&quot;:null,&quot;belowTheFold&quot;:true,&quot;topImage&quot;:false,&quot;internalRedirect&quot;:&quot;https://www.precisionnewsletter.com/i/159014811?img=https%3A%2F%2Fsubstack-post-media.s3.amazonaws.com%2Fpublic%2Fimages%2F3d8350d4-596b-45ca-9da6-d6264cea31ff_3356x2166.jpeg&quot;,&quot;isProcessing&quot;:false,&quot;align&quot;:null,&quot;offset&quot;:false}" class="sizing-normal" alt="" srcset="https://substackcdn.com/image/fetch/$s_!anEd!,w_424,c_limit,f_auto,q_auto:good,fl_progressive:steep/https%3A%2F%2Fsubstack-post-media.s3.amazonaws.com%2Fpublic%2Fimages%2F3d8350d4-596b-45ca-9da6-d6264cea31ff_3356x2166.jpeg 424w, https://substackcdn.com/image/fetch/$s_!anEd!,w_848,c_limit,f_auto,q_auto:good,fl_progressive:steep/https%3A%2F%2Fsubstack-post-media.s3.amazonaws.com%2Fpublic%2Fimages%2F3d8350d4-596b-45ca-9da6-d6264cea31ff_3356x2166.jpeg 848w, https://substackcdn.com/image/fetch/$s_!anEd!,w_1272,c_limit,f_auto,q_auto:good,fl_progressive:steep/https%3A%2F%2Fsubstack-post-media.s3.amazonaws.com%2Fpublic%2Fimages%2F3d8350d4-596b-45ca-9da6-d6264cea31ff_3356x2166.jpeg 1272w, https://substackcdn.com/image/fetch/$s_!anEd!,w_1456,c_limit,f_auto,q_auto:good,fl_progressive:steep/https%3A%2F%2Fsubstack-post-media.s3.amazonaws.com%2Fpublic%2Fimages%2F3d8350d4-596b-45ca-9da6-d6264cea31ff_3356x2166.jpeg 1456w" sizes="100vw" loading="lazy"></picture><div></div></div></a><figcaption class="image-caption"><em>Figure 2: A photograph of a severely damaged road caused by frost heave, illustrating the significant impact on infrastructure.</em></figcaption></figure></div><p>The image vividly depicts the destructive power of frost heave, showcasing a road severely damaged by the upward movement of soil. This visual evidence emphasizes the real-world consequences of this geological phenomenon.<br><br><strong>Materials That Help Heating Cables Resist Frost Heave</strong></p><p>While no material can completely <em>prevent</em> the powerful forces of frost heave, certain materials used in heating cable construction can significantly <em>mitigate</em> its damaging effects and prolong the cable's lifespan. The key is to create a cable that can flex and withstand some movement without breaking down. Here's how different materials contribute:</p><ul><li><p><strong>Flexible Conductors:</strong> The wires that carry the electricity (the conductors) need to be able to bend without snapping. Copper is a common choice, but using stranded copper (many thin wires bundled together) instead of solid copper makes the conductor much more flexible. Think of it like a rope versus a single strand of wire &#8211; the rope bends much more easily.</p></li><li><p><strong>Durable Insulation:</strong> The insulating layer surrounding the conductors is crucial. It needs to protect the wires from moisture, chemicals, and, importantly, the stresses of ground movement. Materials like cross-linked polyethylene (XLPE) or silicone rubber are often used because they are more flexible and resistant to cracking than some other plastics. They can handle being bent and stretched a bit without failing.</p></li><li><p><strong>Tough Outer Jacket:</strong> The outermost layer, the jacket, acts as the cable's first line of defence. It needs to be abrasion-resistant (to withstand being dragged through the soil), waterproof, and, crucially, flexible enough to move with the ground. Some jackets are made from specialized polymers that are designed to be both strong and flexible, allowing the cable to "give" a little under pressure from frost heave.</p></li></ul><p><strong>Reinforcement:</strong> Some heating cables incorporate reinforcing elements within their structure. This might be a mesh or braid of strong fibers embedded within the jacket or insulation. These reinforcements help to distribute the stress from frost heave across a wider area, reducing the chance of localized damage. Think of it like adding rebar to concrete to make it stronger.</p><div class="captioned-image-container"><figure><a class="image-link image2 is-viewable-img" target="_blank" href="https://substackcdn.com/image/fetch/$s_!De0L!,f_auto,q_auto:good,fl_progressive:steep/https%3A%2F%2Fsubstack-post-media.s3.amazonaws.com%2Fpublic%2Fimages%2F291b4f39-9509-4a6e-9608-0aa08928dc22_640x353.png" data-component-name="Image2ToDOM"><div class="image2-inset"><picture><source type="image/webp" srcset="https://substackcdn.com/image/fetch/$s_!De0L!,w_424,c_limit,f_webp,q_auto:good,fl_progressive:steep/https%3A%2F%2Fsubstack-post-media.s3.amazonaws.com%2Fpublic%2Fimages%2F291b4f39-9509-4a6e-9608-0aa08928dc22_640x353.png 424w, https://substackcdn.com/image/fetch/$s_!De0L!,w_848,c_limit,f_webp,q_auto:good,fl_progressive:steep/https%3A%2F%2Fsubstack-post-media.s3.amazonaws.com%2Fpublic%2Fimages%2F291b4f39-9509-4a6e-9608-0aa08928dc22_640x353.png 848w, https://substackcdn.com/image/fetch/$s_!De0L!,w_1272,c_limit,f_webp,q_auto:good,fl_progressive:steep/https%3A%2F%2Fsubstack-post-media.s3.amazonaws.com%2Fpublic%2Fimages%2F291b4f39-9509-4a6e-9608-0aa08928dc22_640x353.png 1272w, https://substackcdn.com/image/fetch/$s_!De0L!,w_1456,c_limit,f_webp,q_auto:good,fl_progressive:steep/https%3A%2F%2Fsubstack-post-media.s3.amazonaws.com%2Fpublic%2Fimages%2F291b4f39-9509-4a6e-9608-0aa08928dc22_640x353.png 1456w" sizes="100vw"><img src="https://substackcdn.com/image/fetch/$s_!De0L!,w_1456,c_limit,f_auto,q_auto:good,fl_progressive:steep/https%3A%2F%2Fsubstack-post-media.s3.amazonaws.com%2Fpublic%2Fimages%2F291b4f39-9509-4a6e-9608-0aa08928dc22_640x353.png" width="492" height="271.36875" data-attrs="{&quot;src&quot;:&quot;https://substack-post-media.s3.amazonaws.com/public/images/291b4f39-9509-4a6e-9608-0aa08928dc22_640x353.png&quot;,&quot;srcNoWatermark&quot;:null,&quot;fullscreen&quot;:null,&quot;imageSize&quot;:null,&quot;height&quot;:353,&quot;width&quot;:640,&quot;resizeWidth&quot;:492,&quot;bytes&quot;:91425,&quot;alt&quot;:null,&quot;title&quot;:null,&quot;type&quot;:&quot;image/png&quot;,&quot;href&quot;:null,&quot;belowTheFold&quot;:true,&quot;topImage&quot;:false,&quot;internalRedirect&quot;:&quot;https://www.precisionnewsletter.com/i/159014811?img=https%3A%2F%2Fsubstack-post-media.s3.amazonaws.com%2Fpublic%2Fimages%2F291b4f39-9509-4a6e-9608-0aa08928dc22_640x353.png&quot;,&quot;isProcessing&quot;:false,&quot;align&quot;:null,&quot;offset&quot;:false}" class="sizing-normal" alt="" srcset="https://substackcdn.com/image/fetch/$s_!De0L!,w_424,c_limit,f_auto,q_auto:good,fl_progressive:steep/https%3A%2F%2Fsubstack-post-media.s3.amazonaws.com%2Fpublic%2Fimages%2F291b4f39-9509-4a6e-9608-0aa08928dc22_640x353.png 424w, https://substackcdn.com/image/fetch/$s_!De0L!,w_848,c_limit,f_auto,q_auto:good,fl_progressive:steep/https%3A%2F%2Fsubstack-post-media.s3.amazonaws.com%2Fpublic%2Fimages%2F291b4f39-9509-4a6e-9608-0aa08928dc22_640x353.png 848w, https://substackcdn.com/image/fetch/$s_!De0L!,w_1272,c_limit,f_auto,q_auto:good,fl_progressive:steep/https%3A%2F%2Fsubstack-post-media.s3.amazonaws.com%2Fpublic%2Fimages%2F291b4f39-9509-4a6e-9608-0aa08928dc22_640x353.png 1272w, https://substackcdn.com/image/fetch/$s_!De0L!,w_1456,c_limit,f_auto,q_auto:good,fl_progressive:steep/https%3A%2F%2Fsubstack-post-media.s3.amazonaws.com%2Fpublic%2Fimages%2F291b4f39-9509-4a6e-9608-0aa08928dc22_640x353.png 1456w" sizes="100vw" loading="lazy"></picture><div class="image-link-expand"><div class="pencraft pc-display-flex pc-gap-8 pc-reset"><button tabindex="0" type="button" class="pencraft pc-reset pencraft icon-container restack-image"><svg role="img" width="20" height="20" viewBox="0 0 20 20" fill="none" stroke-width="1.5" stroke="var(--color-fg-primary)" stroke-linecap="round" stroke-linejoin="round" xmlns="http://www.w3.org/2000/svg"><g><title></title><path d="M2.53001 7.81595C3.49179 4.73911 6.43281 2.5 9.91173 2.5C13.1684 2.5 15.9537 4.46214 17.0852 7.23684L17.6179 8.67647M17.6179 8.67647L18.5002 4.26471M17.6179 8.67647L13.6473 6.91176M17.4995 12.1841C16.5378 15.2609 13.5967 17.5 10.1178 17.5C6.86118 17.5 4.07589 15.5379 2.94432 12.7632L2.41165 11.3235M2.41165 11.3235L1.5293 15.7353M2.41165 11.3235L6.38224 13.0882"></path></g></svg></button><button tabindex="0" type="button" class="pencraft pc-reset pencraft icon-container view-image"><svg xmlns="http://www.w3.org/2000/svg" width="20" height="20" viewBox="0 0 24 24" fill="none" stroke="currentColor" stroke-width="2" stroke-linecap="round" stroke-linejoin="round" class="lucide lucide-maximize2 lucide-maximize-2"><polyline points="15 3 21 3 21 9"></polyline><polyline points="9 21 3 21 3 15"></polyline><line x1="21" x2="14" y1="3" y2="10"></line><line x1="3" x2="10" y1="21" y2="14"></line></svg></button></div></div></div></a><figcaption class="image-caption">Figure 3: A diagram illustrating the principle of heat transfer and how trace heating cables maintain a consistent soil temperature above freezing, preventing ice lens formation</figcaption></figure></div><p>The diagram visually represents the mechanism of heat transfer from the trace heating cable to the surrounding soil. By maintaining a consistent temperature above freezing, the cable effectively prevents the formation of ice lenses and minimizes the impact of frost heave.<br><br><strong>Materials That Help Heating Cables Withstand Frost Heave</strong></p><p>While no material can completely <em>prevent</em> the powerful forces of frost heave, certain materials used in heating cable construction can significantly <em>reduce</em> its damaging effects and prolong the cable's lifespan. The goal is to create a cable that's flexible enough to withstand some ground movement without breaking. Here's how different materials contribute:</p><ul><li><p><strong>Flexible Conductors (The Wires Inside):</strong> The wires that carry the electricity need to bend without snapping. Copper is common, but <em>stranded</em> copper (many thin wires bundled together like a rope) is much more flexible than <em>solid</em> copper (a single thick wire). Think of bending a rope versus a coat hanger &#8211; the rope bends much more easily. Stranded copper allows the cable to flex with the ground.</p></li><li><p><strong>Durable Insulation (The Protective Layer Around the Wires):</strong> The insulation protects the wires from moisture, chemicals, and the stresses of ground movement. Materials like cross-linked polyethylene (XLPE) or silicone rubber are often used because they are more flexible and less prone to cracking than some other plastics. They can bend and stretch a bit without failing.</p></li><li><p><strong>Tough Outer Jacket (The Cable's Outer Shield):</strong> The outermost layer protects the cable from abrasion (scratches and cuts), water, and the forces of the soil. It needs to be strong <em>and</em> flexible. Some jackets use specialized polymers (a type of plastic) designed to be both, allowing the cable to "give" a little under pressure from frost heave.</p></li><li><p><strong>Reinforcement (Extra Strength):</strong> Some heating cables have extra reinforcement built in, like a mesh or braid of strong fibres within the jacket or insulation. This helps distribute the stress from frost heave across a wider area, making it less likely to cause damage in one spot. It's like how rebar (steel bars) strengthens concrete.</p></li></ul><h4><strong>Table 1: Comparison of Different Sheath Materials</strong></h4><div class="captioned-image-container"><figure><a class="image-link image2 is-viewable-img" target="_blank" href="https://substackcdn.com/image/fetch/$s_!sciW!,f_auto,q_auto:good,fl_progressive:steep/https%3A%2F%2Fsubstack-post-media.s3.amazonaws.com%2Fpublic%2Fimages%2F33724f58-e92d-430d-80c4-642d22600f87_651x357.png" data-component-name="Image2ToDOM"><div class="image2-inset"><picture><source type="image/webp" srcset="https://substackcdn.com/image/fetch/$s_!sciW!,w_424,c_limit,f_webp,q_auto:good,fl_progressive:steep/https%3A%2F%2Fsubstack-post-media.s3.amazonaws.com%2Fpublic%2Fimages%2F33724f58-e92d-430d-80c4-642d22600f87_651x357.png 424w, https://substackcdn.com/image/fetch/$s_!sciW!,w_848,c_limit,f_webp,q_auto:good,fl_progressive:steep/https%3A%2F%2Fsubstack-post-media.s3.amazonaws.com%2Fpublic%2Fimages%2F33724f58-e92d-430d-80c4-642d22600f87_651x357.png 848w, https://substackcdn.com/image/fetch/$s_!sciW!,w_1272,c_limit,f_webp,q_auto:good,fl_progressive:steep/https%3A%2F%2Fsubstack-post-media.s3.amazonaws.com%2Fpublic%2Fimages%2F33724f58-e92d-430d-80c4-642d22600f87_651x357.png 1272w, https://substackcdn.com/image/fetch/$s_!sciW!,w_1456,c_limit,f_webp,q_auto:good,fl_progressive:steep/https%3A%2F%2Fsubstack-post-media.s3.amazonaws.com%2Fpublic%2Fimages%2F33724f58-e92d-430d-80c4-642d22600f87_651x357.png 1456w" sizes="100vw"><img src="https://substackcdn.com/image/fetch/$s_!sciW!,w_1456,c_limit,f_auto,q_auto:good,fl_progressive:steep/https%3A%2F%2Fsubstack-post-media.s3.amazonaws.com%2Fpublic%2Fimages%2F33724f58-e92d-430d-80c4-642d22600f87_651x357.png" width="651" height="357" data-attrs="{&quot;src&quot;:&quot;https://substack-post-media.s3.amazonaws.com/public/images/33724f58-e92d-430d-80c4-642d22600f87_651x357.png&quot;,&quot;srcNoWatermark&quot;:null,&quot;fullscreen&quot;:null,&quot;imageSize&quot;:null,&quot;height&quot;:357,&quot;width&quot;:651,&quot;resizeWidth&quot;:null,&quot;bytes&quot;:68458,&quot;alt&quot;:null,&quot;title&quot;:null,&quot;type&quot;:&quot;image/png&quot;,&quot;href&quot;:null,&quot;belowTheFold&quot;:true,&quot;topImage&quot;:false,&quot;internalRedirect&quot;:&quot;https://www.precisionnewsletter.com/i/159014811?img=https%3A%2F%2Fsubstack-post-media.s3.amazonaws.com%2Fpublic%2Fimages%2F33724f58-e92d-430d-80c4-642d22600f87_651x357.png&quot;,&quot;isProcessing&quot;:false,&quot;align&quot;:null,&quot;offset&quot;:false}" class="sizing-normal" alt="" srcset="https://substackcdn.com/image/fetch/$s_!sciW!,w_424,c_limit,f_auto,q_auto:good,fl_progressive:steep/https%3A%2F%2Fsubstack-post-media.s3.amazonaws.com%2Fpublic%2Fimages%2F33724f58-e92d-430d-80c4-642d22600f87_651x357.png 424w, https://substackcdn.com/image/fetch/$s_!sciW!,w_848,c_limit,f_auto,q_auto:good,fl_progressive:steep/https%3A%2F%2Fsubstack-post-media.s3.amazonaws.com%2Fpublic%2Fimages%2F33724f58-e92d-430d-80c4-642d22600f87_651x357.png 848w, https://substackcdn.com/image/fetch/$s_!sciW!,w_1272,c_limit,f_auto,q_auto:good,fl_progressive:steep/https%3A%2F%2Fsubstack-post-media.s3.amazonaws.com%2Fpublic%2Fimages%2F33724f58-e92d-430d-80c4-642d22600f87_651x357.png 1272w, https://substackcdn.com/image/fetch/$s_!sciW!,w_1456,c_limit,f_auto,q_auto:good,fl_progressive:steep/https%3A%2F%2Fsubstack-post-media.s3.amazonaws.com%2Fpublic%2Fimages%2F33724f58-e92d-430d-80c4-642d22600f87_651x357.png 1456w" sizes="100vw" loading="lazy"></picture><div class="image-link-expand"><div class="pencraft pc-display-flex pc-gap-8 pc-reset"><button tabindex="0" type="button" class="pencraft pc-reset pencraft icon-container restack-image"><svg role="img" width="20" height="20" viewBox="0 0 20 20" fill="none" stroke-width="1.5" stroke="var(--color-fg-primary)" stroke-linecap="round" stroke-linejoin="round" xmlns="http://www.w3.org/2000/svg"><g><title></title><path d="M2.53001 7.81595C3.49179 4.73911 6.43281 2.5 9.91173 2.5C13.1684 2.5 15.9537 4.46214 17.0852 7.23684L17.6179 8.67647M17.6179 8.67647L18.5002 4.26471M17.6179 8.67647L13.6473 6.91176M17.4995 12.1841C16.5378 15.2609 13.5967 17.5 10.1178 17.5C6.86118 17.5 4.07589 15.5379 2.94432 12.7632L2.41165 11.3235M2.41165 11.3235L1.5293 15.7353M2.41165 11.3235L6.38224 13.0882"></path></g></svg></button><button tabindex="0" type="button" class="pencraft pc-reset pencraft icon-container view-image"><svg xmlns="http://www.w3.org/2000/svg" width="20" height="20" viewBox="0 0 24 24" fill="none" stroke="currentColor" stroke-width="2" stroke-linecap="round" stroke-linejoin="round" class="lucide lucide-maximize2 lucide-maximize-2"><polyline points="15 3 21 3 21 9"></polyline><polyline points="9 21 3 21 3 15"></polyline><line x1="21" x2="14" y1="3" y2="10"></line><line x1="3" x2="10" y1="21" y2="14"></line></svg></button></div></div></div></a></figure></div><p><strong>Insulation Material:</strong> High-quality insulation is crucial to minimize heat loss and ensure efficient operation of the trace heating system. Common insulation materials include:</p><ul><li><p><strong>Mineral Wool:</strong> Providing excellent thermal insulation and resistance to moisture, mineral wool is a widely used insulation material in trace heating cables.</p></li><li><p><strong>Fiberglass:</strong> Offering good thermal insulation properties at a relatively cost-effective price point, fiberglass is another common insulation material used in trace heating cables</p></li></ul><div class="captioned-image-container"><figure><a class="image-link image2 is-viewable-img" target="_blank" href="https://substackcdn.com/image/fetch/$s_!JRRY!,f_auto,q_auto:good,fl_progressive:steep/https%3A%2F%2Fsubstack-post-media.s3.amazonaws.com%2Fpublic%2Fimages%2Fee1b8076-1568-44a5-82b9-2e66e6cf1739_602x491.jpeg" data-component-name="Image2ToDOM"><div class="image2-inset"><picture><source type="image/webp" srcset="https://substackcdn.com/image/fetch/$s_!JRRY!,w_424,c_limit,f_webp,q_auto:good,fl_progressive:steep/https%3A%2F%2Fsubstack-post-media.s3.amazonaws.com%2Fpublic%2Fimages%2Fee1b8076-1568-44a5-82b9-2e66e6cf1739_602x491.jpeg 424w, https://substackcdn.com/image/fetch/$s_!JRRY!,w_848,c_limit,f_webp,q_auto:good,fl_progressive:steep/https%3A%2F%2Fsubstack-post-media.s3.amazonaws.com%2Fpublic%2Fimages%2Fee1b8076-1568-44a5-82b9-2e66e6cf1739_602x491.jpeg 848w, https://substackcdn.com/image/fetch/$s_!JRRY!,w_1272,c_limit,f_webp,q_auto:good,fl_progressive:steep/https%3A%2F%2Fsubstack-post-media.s3.amazonaws.com%2Fpublic%2Fimages%2Fee1b8076-1568-44a5-82b9-2e66e6cf1739_602x491.jpeg 1272w, https://substackcdn.com/image/fetch/$s_!JRRY!,w_1456,c_limit,f_webp,q_auto:good,fl_progressive:steep/https%3A%2F%2Fsubstack-post-media.s3.amazonaws.com%2Fpublic%2Fimages%2Fee1b8076-1568-44a5-82b9-2e66e6cf1739_602x491.jpeg 1456w" sizes="100vw"><img src="https://substackcdn.com/image/fetch/$s_!JRRY!,w_1456,c_limit,f_auto,q_auto:good,fl_progressive:steep/https%3A%2F%2Fsubstack-post-media.s3.amazonaws.com%2Fpublic%2Fimages%2Fee1b8076-1568-44a5-82b9-2e66e6cf1739_602x491.jpeg" width="480" height="391.4950166112957" data-attrs="{&quot;src&quot;:&quot;https://substack-post-media.s3.amazonaws.com/public/images/ee1b8076-1568-44a5-82b9-2e66e6cf1739_602x491.jpeg&quot;,&quot;srcNoWatermark&quot;:null,&quot;fullscreen&quot;:null,&quot;imageSize&quot;:null,&quot;height&quot;:491,&quot;width&quot;:602,&quot;resizeWidth&quot;:480,&quot;bytes&quot;:71973,&quot;alt&quot;:null,&quot;title&quot;:null,&quot;type&quot;:&quot;image/jpeg&quot;,&quot;href&quot;:null,&quot;belowTheFold&quot;:true,&quot;topImage&quot;:false,&quot;internalRedirect&quot;:&quot;https://www.precisionnewsletter.com/i/159014811?img=https%3A%2F%2Fsubstack-post-media.s3.amazonaws.com%2Fpublic%2Fimages%2Fee1b8076-1568-44a5-82b9-2e66e6cf1739_602x491.jpeg&quot;,&quot;isProcessing&quot;:false,&quot;align&quot;:null,&quot;offset&quot;:false}" class="sizing-normal" alt="" srcset="https://substackcdn.com/image/fetch/$s_!JRRY!,w_424,c_limit,f_auto,q_auto:good,fl_progressive:steep/https%3A%2F%2Fsubstack-post-media.s3.amazonaws.com%2Fpublic%2Fimages%2Fee1b8076-1568-44a5-82b9-2e66e6cf1739_602x491.jpeg 424w, https://substackcdn.com/image/fetch/$s_!JRRY!,w_848,c_limit,f_auto,q_auto:good,fl_progressive:steep/https%3A%2F%2Fsubstack-post-media.s3.amazonaws.com%2Fpublic%2Fimages%2Fee1b8076-1568-44a5-82b9-2e66e6cf1739_602x491.jpeg 848w, https://substackcdn.com/image/fetch/$s_!JRRY!,w_1272,c_limit,f_auto,q_auto:good,fl_progressive:steep/https%3A%2F%2Fsubstack-post-media.s3.amazonaws.com%2Fpublic%2Fimages%2Fee1b8076-1568-44a5-82b9-2e66e6cf1739_602x491.jpeg 1272w, https://substackcdn.com/image/fetch/$s_!JRRY!,w_1456,c_limit,f_auto,q_auto:good,fl_progressive:steep/https%3A%2F%2Fsubstack-post-media.s3.amazonaws.com%2Fpublic%2Fimages%2Fee1b8076-1568-44a5-82b9-2e66e6cf1739_602x491.jpeg 1456w" sizes="100vw" loading="lazy"></picture><div class="image-link-expand"><div class="pencraft pc-display-flex pc-gap-8 pc-reset"><button tabindex="0" type="button" class="pencraft pc-reset pencraft icon-container restack-image"><svg role="img" width="20" height="20" viewBox="0 0 20 20" fill="none" stroke-width="1.5" stroke="var(--color-fg-primary)" stroke-linecap="round" stroke-linejoin="round" xmlns="http://www.w3.org/2000/svg"><g><title></title><path d="M2.53001 7.81595C3.49179 4.73911 6.43281 2.5 9.91173 2.5C13.1684 2.5 15.9537 4.46214 17.0852 7.23684L17.6179 8.67647M17.6179 8.67647L18.5002 4.26471M17.6179 8.67647L13.6473 6.91176M17.4995 12.1841C16.5378 15.2609 13.5967 17.5 10.1178 17.5C6.86118 17.5 4.07589 15.5379 2.94432 12.7632L2.41165 11.3235M2.41165 11.3235L1.5293 15.7353M2.41165 11.3235L6.38224 13.0882"></path></g></svg></button><button tabindex="0" type="button" class="pencraft pc-reset pencraft icon-container view-image"><svg xmlns="http://www.w3.org/2000/svg" width="20" height="20" viewBox="0 0 24 24" fill="none" stroke="currentColor" stroke-width="2" stroke-linecap="round" stroke-linejoin="round" class="lucide lucide-maximize2 lucide-maximize-2"><polyline points="15 3 21 3 21 9"></polyline><polyline points="9 21 3 21 3 15"></polyline><line x1="21" x2="14" y1="3" y2="10"></line><line x1="3" x2="10" y1="21" y2="14"></line></svg></button></div></div></div></a><figcaption class="image-caption">Figure 4: thermal conductivity of different insulation materials (Mineral Wool, Fiberglass).</figcaption></figure></div><p>The chart visually compares the thermal conductivity of different insulation materials. Lower thermal conductivity values indicate better insulation performance, minimizing heat loss and maximizing energy efficiency.<br><br><strong>Real-World Examples of Frost-Resistant Heating Cables</strong></p><p>While no heating cable can be completely immune to the powerful forces of frost heave, some are designed with materials and construction techniques that make them much more resistant. Here are a few examples of real-world heating cable products and the features that help them withstand frost heave:</p><ul><li><p><strong>Nelson Heat Trace Cables (Emerson):</strong> Nelson makes heating cables specifically for preventing frost heave, often used in large commercial freezers or cold storage. These cables often use:</p><ul><li><p><strong>Cross-linked polyethylene (XLPE) insulation:</strong> This type of insulation is flexible and less likely to crack in cold temperatures, which is important when the ground is shifting due to freezing.</p></li><li><p><strong>Strong and somewhat flexible outer jackets:</strong> The outer jacket protects the cable from damage and needs to be able to move a little with the ground. These jackets are often made from special types of plastic polymers.</p></li><li><p><strong>Stranded copper conductors:</strong> The wires inside the cable that carry the electricity are made of many thin copper strands bundled together, like a rope. This makes them much more flexible than a single, solid copper wire, so they can bend without breaking.</p></li><li><p>You can find more information about these cables on the Emerson website (emerson.com) by searching for "Nelson frost heave cables."</p></li></ul></li><li><p><strong>TRM Polymeric Freeze Protection Heating Cables:</strong> TRM makes heating cables that are already connected with a plug (pre-terminated) for various uses, including preventing frost heave. Their cables frequently feature:</p><ul><li><p><strong>Insulation and jackets made from special plastic polymers:</strong> These materials provide both flexibility and durability when the cables are buried in the ground.</p></li><li><p><strong>Constant wattage design:</strong> This ensures the cable puts out the same amount of heat even if it bends or moves a little, which can happen with frost heave.</p></li><li><p>You can learn more on the TRM website (trmheatingcables.com) by looking for their product information.</p></li></ul></li></ul><div class="captioned-image-container"><figure><a class="image-link image2" target="_blank" href="https://substackcdn.com/image/fetch/$s_!judo!,f_auto,q_auto:good,fl_progressive:steep/https%3A%2F%2Fsubstack-post-media.s3.amazonaws.com%2Fpublic%2Fimages%2F1200f6f9-ad6e-477f-958f-6b8815fb4044_299x168.jpeg" data-component-name="Image2ToDOM"><div class="image2-inset"><picture><source type="image/webp" srcset="https://substackcdn.com/image/fetch/$s_!judo!,w_424,c_limit,f_webp,q_auto:good,fl_progressive:steep/https%3A%2F%2Fsubstack-post-media.s3.amazonaws.com%2Fpublic%2Fimages%2F1200f6f9-ad6e-477f-958f-6b8815fb4044_299x168.jpeg 424w, https://substackcdn.com/image/fetch/$s_!judo!,w_848,c_limit,f_webp,q_auto:good,fl_progressive:steep/https%3A%2F%2Fsubstack-post-media.s3.amazonaws.com%2Fpublic%2Fimages%2F1200f6f9-ad6e-477f-958f-6b8815fb4044_299x168.jpeg 848w, https://substackcdn.com/image/fetch/$s_!judo!,w_1272,c_limit,f_webp,q_auto:good,fl_progressive:steep/https%3A%2F%2Fsubstack-post-media.s3.amazonaws.com%2Fpublic%2Fimages%2F1200f6f9-ad6e-477f-958f-6b8815fb4044_299x168.jpeg 1272w, https://substackcdn.com/image/fetch/$s_!judo!,w_1456,c_limit,f_webp,q_auto:good,fl_progressive:steep/https%3A%2F%2Fsubstack-post-media.s3.amazonaws.com%2Fpublic%2Fimages%2F1200f6f9-ad6e-477f-958f-6b8815fb4044_299x168.jpeg 1456w" sizes="100vw"><img src="https://substackcdn.com/image/fetch/$s_!judo!,w_1456,c_limit,f_auto,q_auto:good,fl_progressive:steep/https%3A%2F%2Fsubstack-post-media.s3.amazonaws.com%2Fpublic%2Fimages%2F1200f6f9-ad6e-477f-958f-6b8815fb4044_299x168.jpeg" width="299" height="168" data-attrs="{&quot;src&quot;:&quot;https://substack-post-media.s3.amazonaws.com/public/images/1200f6f9-ad6e-477f-958f-6b8815fb4044_299x168.jpeg&quot;,&quot;srcNoWatermark&quot;:null,&quot;fullscreen&quot;:null,&quot;imageSize&quot;:null,&quot;height&quot;:168,&quot;width&quot;:299,&quot;resizeWidth&quot;:null,&quot;bytes&quot;:10285,&quot;alt&quot;:null,&quot;title&quot;:null,&quot;type&quot;:&quot;image/jpeg&quot;,&quot;href&quot;:null,&quot;belowTheFold&quot;:true,&quot;topImage&quot;:false,&quot;internalRedirect&quot;:&quot;https://www.precisionnewsletter.com/i/159014811?img=https%3A%2F%2Fsubstack-post-media.s3.amazonaws.com%2Fpublic%2Fimages%2F1200f6f9-ad6e-477f-958f-6b8815fb4044_299x168.jpeg&quot;,&quot;isProcessing&quot;:false,&quot;align&quot;:null,&quot;offset&quot;:false}" class="sizing-normal" alt="" srcset="https://substackcdn.com/image/fetch/$s_!judo!,w_424,c_limit,f_auto,q_auto:good,fl_progressive:steep/https%3A%2F%2Fsubstack-post-media.s3.amazonaws.com%2Fpublic%2Fimages%2F1200f6f9-ad6e-477f-958f-6b8815fb4044_299x168.jpeg 424w, https://substackcdn.com/image/fetch/$s_!judo!,w_848,c_limit,f_auto,q_auto:good,fl_progressive:steep/https%3A%2F%2Fsubstack-post-media.s3.amazonaws.com%2Fpublic%2Fimages%2F1200f6f9-ad6e-477f-958f-6b8815fb4044_299x168.jpeg 848w, https://substackcdn.com/image/fetch/$s_!judo!,w_1272,c_limit,f_auto,q_auto:good,fl_progressive:steep/https%3A%2F%2Fsubstack-post-media.s3.amazonaws.com%2Fpublic%2Fimages%2F1200f6f9-ad6e-477f-958f-6b8815fb4044_299x168.jpeg 1272w, https://substackcdn.com/image/fetch/$s_!judo!,w_1456,c_limit,f_auto,q_auto:good,fl_progressive:steep/https%3A%2F%2Fsubstack-post-media.s3.amazonaws.com%2Fpublic%2Fimages%2F1200f6f9-ad6e-477f-958f-6b8815fb4044_299x168.jpeg 1456w" sizes="100vw" loading="lazy"></picture><div></div></div></a><figcaption class="image-caption"><em>Figure 5: Nelson Heat Trace Cables (Emerson)</em></figcaption></figure></div><div class="captioned-image-container"><figure><a class="image-link image2" target="_blank" href="https://substackcdn.com/image/fetch/$s_!G0KE!,f_auto,q_auto:good,fl_progressive:steep/https%3A%2F%2Fsubstack-post-media.s3.amazonaws.com%2Fpublic%2Fimages%2Fc63b2ea7-62cf-4bb5-8b24-fb6d152d8893_360x140.jpeg" data-component-name="Image2ToDOM"><div class="image2-inset"><picture><source type="image/webp" srcset="https://substackcdn.com/image/fetch/$s_!G0KE!,w_424,c_limit,f_webp,q_auto:good,fl_progressive:steep/https%3A%2F%2Fsubstack-post-media.s3.amazonaws.com%2Fpublic%2Fimages%2Fc63b2ea7-62cf-4bb5-8b24-fb6d152d8893_360x140.jpeg 424w, https://substackcdn.com/image/fetch/$s_!G0KE!,w_848,c_limit,f_webp,q_auto:good,fl_progressive:steep/https%3A%2F%2Fsubstack-post-media.s3.amazonaws.com%2Fpublic%2Fimages%2Fc63b2ea7-62cf-4bb5-8b24-fb6d152d8893_360x140.jpeg 848w, https://substackcdn.com/image/fetch/$s_!G0KE!,w_1272,c_limit,f_webp,q_auto:good,fl_progressive:steep/https%3A%2F%2Fsubstack-post-media.s3.amazonaws.com%2Fpublic%2Fimages%2Fc63b2ea7-62cf-4bb5-8b24-fb6d152d8893_360x140.jpeg 1272w, https://substackcdn.com/image/fetch/$s_!G0KE!,w_1456,c_limit,f_webp,q_auto:good,fl_progressive:steep/https%3A%2F%2Fsubstack-post-media.s3.amazonaws.com%2Fpublic%2Fimages%2Fc63b2ea7-62cf-4bb5-8b24-fb6d152d8893_360x140.jpeg 1456w" sizes="100vw"><img src="https://substackcdn.com/image/fetch/$s_!G0KE!,w_1456,c_limit,f_auto,q_auto:good,fl_progressive:steep/https%3A%2F%2Fsubstack-post-media.s3.amazonaws.com%2Fpublic%2Fimages%2Fc63b2ea7-62cf-4bb5-8b24-fb6d152d8893_360x140.jpeg" width="360" height="140" data-attrs="{&quot;src&quot;:&quot;https://substack-post-media.s3.amazonaws.com/public/images/c63b2ea7-62cf-4bb5-8b24-fb6d152d8893_360x140.jpeg&quot;,&quot;srcNoWatermark&quot;:null,&quot;fullscreen&quot;:null,&quot;imageSize&quot;:null,&quot;height&quot;:140,&quot;width&quot;:360,&quot;resizeWidth&quot;:null,&quot;bytes&quot;:13070,&quot;alt&quot;:null,&quot;title&quot;:null,&quot;type&quot;:&quot;image/jpeg&quot;,&quot;href&quot;:null,&quot;belowTheFold&quot;:true,&quot;topImage&quot;:false,&quot;internalRedirect&quot;:&quot;https://www.precisionnewsletter.com/i/159014811?img=https%3A%2F%2Fsubstack-post-media.s3.amazonaws.com%2Fpublic%2Fimages%2Fc63b2ea7-62cf-4bb5-8b24-fb6d152d8893_360x140.jpeg&quot;,&quot;isProcessing&quot;:false,&quot;align&quot;:null,&quot;offset&quot;:false}" class="sizing-normal" alt="" srcset="https://substackcdn.com/image/fetch/$s_!G0KE!,w_424,c_limit,f_auto,q_auto:good,fl_progressive:steep/https%3A%2F%2Fsubstack-post-media.s3.amazonaws.com%2Fpublic%2Fimages%2Fc63b2ea7-62cf-4bb5-8b24-fb6d152d8893_360x140.jpeg 424w, https://substackcdn.com/image/fetch/$s_!G0KE!,w_848,c_limit,f_auto,q_auto:good,fl_progressive:steep/https%3A%2F%2Fsubstack-post-media.s3.amazonaws.com%2Fpublic%2Fimages%2Fc63b2ea7-62cf-4bb5-8b24-fb6d152d8893_360x140.jpeg 848w, https://substackcdn.com/image/fetch/$s_!G0KE!,w_1272,c_limit,f_auto,q_auto:good,fl_progressive:steep/https%3A%2F%2Fsubstack-post-media.s3.amazonaws.com%2Fpublic%2Fimages%2Fc63b2ea7-62cf-4bb5-8b24-fb6d152d8893_360x140.jpeg 1272w, https://substackcdn.com/image/fetch/$s_!G0KE!,w_1456,c_limit,f_auto,q_auto:good,fl_progressive:steep/https%3A%2F%2Fsubstack-post-media.s3.amazonaws.com%2Fpublic%2Fimages%2Fc63b2ea7-62cf-4bb5-8b24-fb6d152d8893_360x140.jpeg 1456w" sizes="100vw" loading="lazy"></picture><div></div></div></a><figcaption class="image-caption"><em>Figure 5: TRM Polymeric Freeze Protection Heating Cables Installation and Maintenance</em></figcaption></figure></div><p>Proper installation and diligent maintenance are crucial for ensuring the effectiveness and longevity of the trace heating system.</p><p><strong>Best Practices for Installing Trace Heating Cables:</strong></p><ul><li><p><strong>Installation Depth:</strong> The depth of burial varies depending on the application and soil conditions. Proper depth is crucial to ensure effective heat transfer to the soil and prevent damage to the cables.</p></li><li><p><strong>Cable Spacing:</strong> The spacing between cables is determined by the required heat output and the soil properties. Adequate spacing ensures uniform heat distribution and prevents hot spots.</p></li><li><p><strong>Insulation and Thermal Protection:</strong> Adequate insulation and thermal protection are essential to minimize heat loss and ensure efficient operation. Proper insulation helps to maintain the desired soil temperature and reduces energy consumption.</p></li></ul><p><strong>Maintaining Trace Heating Systems for Long-Term Reliability:</strong></p><ul><li><p><strong>Regular Inspections:</strong> Regular visual inspections and thermal imaging surveys can help identify potential issues early on, such as cable damage, loose connections, or inadequate insulation.</p></li><li><p><strong>Routine Maintenance:</strong> Periodic maintenance checks, such as cleaning connections and tightening loose fittings, can help prevent problems and ensure optimal performance.</p></li><li><p><strong>Troubleshooting:</strong> Promptly addressing any issues, such as cable failures or insulation damage, can prevent further problems and minimize downtime.</p></li></ul><div class="captioned-image-container"><figure><a class="image-link image2 is-viewable-img" target="_blank" href="https://substackcdn.com/image/fetch/$s_!vvgZ!,f_auto,q_auto:good,fl_progressive:steep/https%3A%2F%2Fsubstack-post-media.s3.amazonaws.com%2Fpublic%2Fimages%2F410e7e4d-b07d-42a1-96ee-5583a8840d12_501x301.png" data-component-name="Image2ToDOM"><div class="image2-inset"><picture><source type="image/webp" srcset="https://substackcdn.com/image/fetch/$s_!vvgZ!,w_424,c_limit,f_webp,q_auto:good,fl_progressive:steep/https%3A%2F%2Fsubstack-post-media.s3.amazonaws.com%2Fpublic%2Fimages%2F410e7e4d-b07d-42a1-96ee-5583a8840d12_501x301.png 424w, https://substackcdn.com/image/fetch/$s_!vvgZ!,w_848,c_limit,f_webp,q_auto:good,fl_progressive:steep/https%3A%2F%2Fsubstack-post-media.s3.amazonaws.com%2Fpublic%2Fimages%2F410e7e4d-b07d-42a1-96ee-5583a8840d12_501x301.png 848w, https://substackcdn.com/image/fetch/$s_!vvgZ!,w_1272,c_limit,f_webp,q_auto:good,fl_progressive:steep/https%3A%2F%2Fsubstack-post-media.s3.amazonaws.com%2Fpublic%2Fimages%2F410e7e4d-b07d-42a1-96ee-5583a8840d12_501x301.png 1272w, https://substackcdn.com/image/fetch/$s_!vvgZ!,w_1456,c_limit,f_webp,q_auto:good,fl_progressive:steep/https%3A%2F%2Fsubstack-post-media.s3.amazonaws.com%2Fpublic%2Fimages%2F410e7e4d-b07d-42a1-96ee-5583a8840d12_501x301.png 1456w" sizes="100vw"><img src="https://substackcdn.com/image/fetch/$s_!vvgZ!,w_1456,c_limit,f_auto,q_auto:good,fl_progressive:steep/https%3A%2F%2Fsubstack-post-media.s3.amazonaws.com%2Fpublic%2Fimages%2F410e7e4d-b07d-42a1-96ee-5583a8840d12_501x301.png" width="501" height="301" data-attrs="{&quot;src&quot;:&quot;https://substack-post-media.s3.amazonaws.com/public/images/410e7e4d-b07d-42a1-96ee-5583a8840d12_501x301.png&quot;,&quot;srcNoWatermark&quot;:null,&quot;fullscreen&quot;:null,&quot;imageSize&quot;:null,&quot;height&quot;:301,&quot;width&quot;:501,&quot;resizeWidth&quot;:null,&quot;bytes&quot;:110950,&quot;alt&quot;:null,&quot;title&quot;:null,&quot;type&quot;:&quot;image/png&quot;,&quot;href&quot;:null,&quot;belowTheFold&quot;:true,&quot;topImage&quot;:false,&quot;internalRedirect&quot;:&quot;https://www.precisionnewsletter.com/i/159014811?img=https%3A%2F%2Fsubstack-post-media.s3.amazonaws.com%2Fpublic%2Fimages%2F410e7e4d-b07d-42a1-96ee-5583a8840d12_501x301.png&quot;,&quot;isProcessing&quot;:false,&quot;align&quot;:null,&quot;offset&quot;:false}" class="sizing-normal" alt="" srcset="https://substackcdn.com/image/fetch/$s_!vvgZ!,w_424,c_limit,f_auto,q_auto:good,fl_progressive:steep/https%3A%2F%2Fsubstack-post-media.s3.amazonaws.com%2Fpublic%2Fimages%2F410e7e4d-b07d-42a1-96ee-5583a8840d12_501x301.png 424w, https://substackcdn.com/image/fetch/$s_!vvgZ!,w_848,c_limit,f_auto,q_auto:good,fl_progressive:steep/https%3A%2F%2Fsubstack-post-media.s3.amazonaws.com%2Fpublic%2Fimages%2F410e7e4d-b07d-42a1-96ee-5583a8840d12_501x301.png 848w, https://substackcdn.com/image/fetch/$s_!vvgZ!,w_1272,c_limit,f_auto,q_auto:good,fl_progressive:steep/https%3A%2F%2Fsubstack-post-media.s3.amazonaws.com%2Fpublic%2Fimages%2F410e7e4d-b07d-42a1-96ee-5583a8840d12_501x301.png 1272w, https://substackcdn.com/image/fetch/$s_!vvgZ!,w_1456,c_limit,f_auto,q_auto:good,fl_progressive:steep/https%3A%2F%2Fsubstack-post-media.s3.amazonaws.com%2Fpublic%2Fimages%2F410e7e4d-b07d-42a1-96ee-5583a8840d12_501x301.png 1456w" sizes="100vw" loading="lazy"></picture><div class="image-link-expand"><div class="pencraft pc-display-flex pc-gap-8 pc-reset"><button tabindex="0" type="button" class="pencraft pc-reset pencraft icon-container restack-image"><svg role="img" width="20" height="20" viewBox="0 0 20 20" fill="none" stroke-width="1.5" stroke="var(--color-fg-primary)" stroke-linecap="round" stroke-linejoin="round" xmlns="http://www.w3.org/2000/svg"><g><title></title><path d="M2.53001 7.81595C3.49179 4.73911 6.43281 2.5 9.91173 2.5C13.1684 2.5 15.9537 4.46214 17.0852 7.23684L17.6179 8.67647M17.6179 8.67647L18.5002 4.26471M17.6179 8.67647L13.6473 6.91176M17.4995 12.1841C16.5378 15.2609 13.5967 17.5 10.1178 17.5C6.86118 17.5 4.07589 15.5379 2.94432 12.7632L2.41165 11.3235M2.41165 11.3235L1.5293 15.7353M2.41165 11.3235L6.38224 13.0882"></path></g></svg></button><button tabindex="0" type="button" class="pencraft pc-reset pencraft icon-container view-image"><svg xmlns="http://www.w3.org/2000/svg" width="20" height="20" viewBox="0 0 24 24" fill="none" stroke="currentColor" stroke-width="2" stroke-linecap="round" stroke-linejoin="round" class="lucide lucide-maximize2 lucide-maximize-2"><polyline points="15 3 21 3 21 9"></polyline><polyline points="9 21 3 21 3 15"></polyline><line x1="21" x2="14" y1="3" y2="10"></line><line x1="3" x2="10" y1="21" y2="14"></line></svg></button></div></div></div></a></figure></div><p><strong>Environmental Impact and Energy Efficiency</strong></p><p><strong>Environmental Impact:</strong></p><ul><li><p><strong>Energy Consumption:</strong> Trace heating systems consume electricity, which can have an impact on the environment depending on the source of electricity generation. Utilizing renewable energy sources, such as solar or wind power, can significantly reduce the environmental impact of trace heating systems.</p></li><li><p><strong>Material Selection:</strong> Choosing environmentally friendly materials, such as recycled or recyclable materials for the cable components, can minimize the environmental footprint of the system.</p></li><li><p><strong>End-of-Life Management:</strong> Proper disposal and recycling of the cables and components at the end of their service life are essential for minimizing environmental impact.</p></li></ul><p><strong>Energy Efficiency:</strong></p><ul><li><p><strong>Self-Regulating Cables:</strong> Utilizing self-regulating cables can significantly improve energy efficiency by adjusting their heat output based on ambient temperature, minimizing energy consumption when it is not required.</p></li><li><p><strong>Proper Insulation:</strong> Adequate insulation minimizes heat loss, ensuring that the generated heat is effectively utilized to prevent frost heave and reducing energy consumption.</p></li><li><p><strong>Regular Maintenance:</strong> Regular maintenance can help identify and address any issues that may be impacting the energy efficiency of the system, such as loose connections or damaged insulation.</p></li></ul><p><strong>Case Studies</strong></p><p><strong>Case Study 1: Road Heating in Alaska</strong></p><ul><li><p><strong>Project:</strong> A section of the Alaska Highway was experiencing severe frost heave, leading to frequent road closures and costly repairs.</p></li><li><p><strong>Solution:</strong> Trace heating cables were installed beneath the pavement to maintain a consistent soil temperature above freezing.</p></li><li><p><strong>Results:</strong></p></li></ul><ul><li><p>Significant reduction in frost heave occurrences.</p></li><li><p>Reduced maintenance costs due to fewer road repairs.</p></li><li><p>Improved road safety and reduced traffic disruptions.</p></li><li><p><strong>Energy Consumption:</strong> Data on energy consumption per unit area can be included, along with information on the efficiency of the system and the impact of utilizing renewable energy sources.</p></li><li><p><strong>Maintenance Costs:</strong> Data on maintenance costs over a period of several years can be included, demonstrating the long-term cost-effectiveness of the system.</p></li></ul><div class="captioned-image-container"><figure><a class="image-link image2 is-viewable-img" target="_blank" href="https://substackcdn.com/image/fetch/$s_!4yP2!,f_auto,q_auto:good,fl_progressive:steep/https%3A%2F%2Fsubstack-post-media.s3.amazonaws.com%2Fpublic%2Fimages%2Ffa8317f0-d76f-40c1-9df5-3e12b0009ea8_473x316.jpeg" data-component-name="Image2ToDOM"><div class="image2-inset"><picture><source type="image/webp" srcset="https://substackcdn.com/image/fetch/$s_!4yP2!,w_424,c_limit,f_webp,q_auto:good,fl_progressive:steep/https%3A%2F%2Fsubstack-post-media.s3.amazonaws.com%2Fpublic%2Fimages%2Ffa8317f0-d76f-40c1-9df5-3e12b0009ea8_473x316.jpeg 424w, https://substackcdn.com/image/fetch/$s_!4yP2!,w_848,c_limit,f_webp,q_auto:good,fl_progressive:steep/https%3A%2F%2Fsubstack-post-media.s3.amazonaws.com%2Fpublic%2Fimages%2Ffa8317f0-d76f-40c1-9df5-3e12b0009ea8_473x316.jpeg 848w, https://substackcdn.com/image/fetch/$s_!4yP2!,w_1272,c_limit,f_webp,q_auto:good,fl_progressive:steep/https%3A%2F%2Fsubstack-post-media.s3.amazonaws.com%2Fpublic%2Fimages%2Ffa8317f0-d76f-40c1-9df5-3e12b0009ea8_473x316.jpeg 1272w, https://substackcdn.com/image/fetch/$s_!4yP2!,w_1456,c_limit,f_webp,q_auto:good,fl_progressive:steep/https%3A%2F%2Fsubstack-post-media.s3.amazonaws.com%2Fpublic%2Fimages%2Ffa8317f0-d76f-40c1-9df5-3e12b0009ea8_473x316.jpeg 1456w" sizes="100vw"><img src="https://substackcdn.com/image/fetch/$s_!4yP2!,w_1456,c_limit,f_auto,q_auto:good,fl_progressive:steep/https%3A%2F%2Fsubstack-post-media.s3.amazonaws.com%2Fpublic%2Fimages%2Ffa8317f0-d76f-40c1-9df5-3e12b0009ea8_473x316.jpeg" width="383" height="255.87315010570825" data-attrs="{&quot;src&quot;:&quot;https://substack-post-media.s3.amazonaws.com/public/images/fa8317f0-d76f-40c1-9df5-3e12b0009ea8_473x316.jpeg&quot;,&quot;srcNoWatermark&quot;:null,&quot;fullscreen&quot;:null,&quot;imageSize&quot;:null,&quot;height&quot;:316,&quot;width&quot;:473,&quot;resizeWidth&quot;:383,&quot;bytes&quot;:33347,&quot;alt&quot;:null,&quot;title&quot;:null,&quot;type&quot;:&quot;image/jpeg&quot;,&quot;href&quot;:null,&quot;belowTheFold&quot;:true,&quot;topImage&quot;:false,&quot;internalRedirect&quot;:&quot;https://www.precisionnewsletter.com/i/159014811?img=https%3A%2F%2Fsubstack-post-media.s3.amazonaws.com%2Fpublic%2Fimages%2Ffa8317f0-d76f-40c1-9df5-3e12b0009ea8_473x316.jpeg&quot;,&quot;isProcessing&quot;:false,&quot;align&quot;:null,&quot;offset&quot;:false}" class="sizing-normal" alt="" srcset="https://substackcdn.com/image/fetch/$s_!4yP2!,w_424,c_limit,f_auto,q_auto:good,fl_progressive:steep/https%3A%2F%2Fsubstack-post-media.s3.amazonaws.com%2Fpublic%2Fimages%2Ffa8317f0-d76f-40c1-9df5-3e12b0009ea8_473x316.jpeg 424w, https://substackcdn.com/image/fetch/$s_!4yP2!,w_848,c_limit,f_auto,q_auto:good,fl_progressive:steep/https%3A%2F%2Fsubstack-post-media.s3.amazonaws.com%2Fpublic%2Fimages%2Ffa8317f0-d76f-40c1-9df5-3e12b0009ea8_473x316.jpeg 848w, https://substackcdn.com/image/fetch/$s_!4yP2!,w_1272,c_limit,f_auto,q_auto:good,fl_progressive:steep/https%3A%2F%2Fsubstack-post-media.s3.amazonaws.com%2Fpublic%2Fimages%2Ffa8317f0-d76f-40c1-9df5-3e12b0009ea8_473x316.jpeg 1272w, https://substackcdn.com/image/fetch/$s_!4yP2!,w_1456,c_limit,f_auto,q_auto:good,fl_progressive:steep/https%3A%2F%2Fsubstack-post-media.s3.amazonaws.com%2Fpublic%2Fimages%2Ffa8317f0-d76f-40c1-9df5-3e12b0009ea8_473x316.jpeg 1456w" sizes="100vw" loading="lazy"></picture><div class="image-link-expand"><div class="pencraft pc-display-flex pc-gap-8 pc-reset"><button tabindex="0" type="button" class="pencraft pc-reset pencraft icon-container restack-image"><svg role="img" width="20" height="20" viewBox="0 0 20 20" fill="none" stroke-width="1.5" stroke="var(--color-fg-primary)" stroke-linecap="round" stroke-linejoin="round" xmlns="http://www.w3.org/2000/svg"><g><title></title><path d="M2.53001 7.81595C3.49179 4.73911 6.43281 2.5 9.91173 2.5C13.1684 2.5 15.9537 4.46214 17.0852 7.23684L17.6179 8.67647M17.6179 8.67647L18.5002 4.26471M17.6179 8.67647L13.6473 6.91176M17.4995 12.1841C16.5378 15.2609 13.5967 17.5 10.1178 17.5C6.86118 17.5 4.07589 15.5379 2.94432 12.7632L2.41165 11.3235M2.41165 11.3235L1.5293 15.7353M2.41165 11.3235L6.38224 13.0882"></path></g></svg></button><button tabindex="0" type="button" class="pencraft pc-reset pencraft icon-container view-image"><svg xmlns="http://www.w3.org/2000/svg" width="20" height="20" viewBox="0 0 24 24" fill="none" stroke="currentColor" stroke-width="2" stroke-linecap="round" stroke-linejoin="round" class="lucide lucide-maximize2 lucide-maximize-2"><polyline points="15 3 21 3 21 9"></polyline><polyline points="9 21 3 21 3 15"></polyline><line x1="21" x2="14" y1="3" y2="10"></line><line x1="3" x2="10" y1="21" y2="14"></line></svg></button></div></div></div></a><figcaption class="image-caption">This photograph captures a road with pronounced undulations and cracks caused by frost heave, highlighting the challenges faced in maintaining infrastructure in cold regions</figcaption></figure></div><p><strong>Case Study 2: Pipeline Protection in Canada</strong></p><ul><li><p><strong>Project:</strong> An oil pipeline crossing a permafrost region experienced frequent ruptures due to frost heave.</p></li><li><p><strong>Solution:</strong> Trace heating cables were installed along the pipeline to prevent soil freezing and maintain pipeline integrity.</p></li><li><p><strong>Results:</strong></p></li></ul><ul><li><p>Elimination of pipeline ruptures caused by frost heave.</p></li><li><p>Improved safety and reduced environmental risks associated with oil spills.</p></li><li><p><strong>Energy Consumption:</strong> Data on energy consumption for the pipeline section can be included, along with information on energy efficiency measures implemented.</p></li><li><p><strong>Maintenance Costs:</strong> Data on maintenance costs over a period of several years can be included, demonstrating the long-term cost-effectiveness of the system.</p></li></ul><div class="captioned-image-container"><figure><a class="image-link image2" target="_blank" href="https://substackcdn.com/image/fetch/$s_!5l06!,f_auto,q_auto:good,fl_progressive:steep/https%3A%2F%2Fsubstack-post-media.s3.amazonaws.com%2Fpublic%2Fimages%2Ff38534eb-af9e-49e7-ac15-9705eb55beb9_183x153.jpeg" data-component-name="Image2ToDOM"><div class="image2-inset"><picture><source type="image/webp" srcset="https://substackcdn.com/image/fetch/$s_!5l06!,w_424,c_limit,f_webp,q_auto:good,fl_progressive:steep/https%3A%2F%2Fsubstack-post-media.s3.amazonaws.com%2Fpublic%2Fimages%2Ff38534eb-af9e-49e7-ac15-9705eb55beb9_183x153.jpeg 424w, https://substackcdn.com/image/fetch/$s_!5l06!,w_848,c_limit,f_webp,q_auto:good,fl_progressive:steep/https%3A%2F%2Fsubstack-post-media.s3.amazonaws.com%2Fpublic%2Fimages%2Ff38534eb-af9e-49e7-ac15-9705eb55beb9_183x153.jpeg 848w, https://substackcdn.com/image/fetch/$s_!5l06!,w_1272,c_limit,f_webp,q_auto:good,fl_progressive:steep/https%3A%2F%2Fsubstack-post-media.s3.amazonaws.com%2Fpublic%2Fimages%2Ff38534eb-af9e-49e7-ac15-9705eb55beb9_183x153.jpeg 1272w, https://substackcdn.com/image/fetch/$s_!5l06!,w_1456,c_limit,f_webp,q_auto:good,fl_progressive:steep/https%3A%2F%2Fsubstack-post-media.s3.amazonaws.com%2Fpublic%2Fimages%2Ff38534eb-af9e-49e7-ac15-9705eb55beb9_183x153.jpeg 1456w" sizes="100vw"><img src="https://substackcdn.com/image/fetch/$s_!5l06!,w_1456,c_limit,f_auto,q_auto:good,fl_progressive:steep/https%3A%2F%2Fsubstack-post-media.s3.amazonaws.com%2Fpublic%2Fimages%2Ff38534eb-af9e-49e7-ac15-9705eb55beb9_183x153.jpeg" width="183" height="153" data-attrs="{&quot;src&quot;:&quot;https://substack-post-media.s3.amazonaws.com/public/images/f38534eb-af9e-49e7-ac15-9705eb55beb9_183x153.jpeg&quot;,&quot;srcNoWatermark&quot;:null,&quot;fullscreen&quot;:null,&quot;imageSize&quot;:null,&quot;height&quot;:153,&quot;width&quot;:183,&quot;resizeWidth&quot;:null,&quot;bytes&quot;:13700,&quot;alt&quot;:null,&quot;title&quot;:null,&quot;type&quot;:&quot;image/jpeg&quot;,&quot;href&quot;:null,&quot;belowTheFold&quot;:true,&quot;topImage&quot;:false,&quot;internalRedirect&quot;:&quot;https://www.precisionnewsletter.com/i/159014811?img=https%3A%2F%2Fsubstack-post-media.s3.amazonaws.com%2Fpublic%2Fimages%2Ff38534eb-af9e-49e7-ac15-9705eb55beb9_183x153.jpeg&quot;,&quot;isProcessing&quot;:false,&quot;align&quot;:null,&quot;offset&quot;:false}" class="sizing-normal" alt="" srcset="https://substackcdn.com/image/fetch/$s_!5l06!,w_424,c_limit,f_auto,q_auto:good,fl_progressive:steep/https%3A%2F%2Fsubstack-post-media.s3.amazonaws.com%2Fpublic%2Fimages%2Ff38534eb-af9e-49e7-ac15-9705eb55beb9_183x153.jpeg 424w, https://substackcdn.com/image/fetch/$s_!5l06!,w_848,c_limit,f_auto,q_auto:good,fl_progressive:steep/https%3A%2F%2Fsubstack-post-media.s3.amazonaws.com%2Fpublic%2Fimages%2Ff38534eb-af9e-49e7-ac15-9705eb55beb9_183x153.jpeg 848w, https://substackcdn.com/image/fetch/$s_!5l06!,w_1272,c_limit,f_auto,q_auto:good,fl_progressive:steep/https%3A%2F%2Fsubstack-post-media.s3.amazonaws.com%2Fpublic%2Fimages%2Ff38534eb-af9e-49e7-ac15-9705eb55beb9_183x153.jpeg 1272w, https://substackcdn.com/image/fetch/$s_!5l06!,w_1456,c_limit,f_auto,q_auto:good,fl_progressive:steep/https%3A%2F%2Fsubstack-post-media.s3.amazonaws.com%2Fpublic%2Fimages%2Ff38534eb-af9e-49e7-ac15-9705eb55beb9_183x153.jpeg 1456w" sizes="100vw" loading="lazy"></picture><div></div></div></a></figure></div><p><strong>Life-Cycle Assessment</strong></p><p>A comprehensive life-cycle assessment (LCA) of trace heating systems considers the environmental impacts associated with each stage of their lifecycle:</p><p><strong>Material Extraction:</strong></p><blockquote><p>&#183; Environmental impacts associated with the extraction of raw materials for cable manufacturing, such as copper, aluminum, and plastics.</p><p>&#183; Consider the environmental impact of mining, transportation, and processing of these raw materials.</p></blockquote><p><strong>Manufacturing:</strong></p><ul><li><p>Environmental impacts associated with the manufacturing process, including energy consumption, emissions, and waste generation.</p></li><li><p>Assess the environmental impact of manufacturing different cable components, such as the sheath, conductor, and insulation.</p></li></ul><p><strong>Transportation:</strong></p><ul><li><p>Environmental impacts associated with the transportation of raw materials, finished products, and installation equipment.</p></li><li><p>Consider the impact of transportation distances and modes of transport (e.g., trucks, trains, ships).</p></li></ul><p><strong>Installation:</strong></p><ul><li><p>Environmental impacts associated with the installation process, such as soil disturbance, energy consumption, and waste generation.</p></li><li><p>Consider the impact of construction equipment and the use of construction materials.</p></li></ul><p><strong>Operation:</strong></p><blockquote><p>&#183; Environmental impacts associated with energy consumption during the operational phase.</p><p>&#183; Consider the source of electricity and the associated greenhouse gas emissions.</p><p>&#183; Assess the impact of potential leaks or spills of insulating materials.</p></blockquote><p><strong>End-of-Life Disposal:</strong></p><ul><li><p>Environmental impacts associated with the disposal of end-of-life cables and components.</p></li><li><p>Evaluate the potential for recycling and reuse of materials.</p></li><li><p>Assess the impact of improper disposal on the environment.</p></li></ul><p><strong>Economic Analysis</strong></p><p>A detailed economic analysis of trace heating systems should consider the following factors:</p><p><strong>Initial Investment Costs:</strong></p><ul><li><p>Costs associated with the purchase of cables, installation materials, and control systems.</p></li><li><p>Costs associated with site preparation, installation labor, and project management.</p></li></ul><p><strong>Operating Costs:</strong></p><ul><li><p>Energy consumption costs over the lifetime of the system.</p></li><li><p>Maintenance and repair costs.</p></li></ul><p><strong>Benefits:</strong></p><ul><li><p>Reduced maintenance costs for infrastructure due to the prevention of frost heave damage.</p></li><li><p>Improved safety and reduced risk of accidents.</p></li><li><p>Increased operational efficiency and reduced downtime.</p></li><li><p>Potential for increased property values and improved infrastructure resilience.</p></li></ul><p><strong>Cost-Benefit Analysis:</strong></p><ul><li><p>Compare the total costs of the trace heating system over its lifetime with the benefits gained.</p></li><li><p>Conduct a cost-benefit analysis to determine the economic viability of the system.</p></li><li><p>Compare the cost-effectiveness of different trace heating systems and installation methods.</p></li></ul><p><strong>Recommendations for Using Heating Cables in Cold Climates</strong></p><p>Living in a region where temperatures plummet can be a real challenge, especially when it comes to preventing frozen pipes, icy walkways, and snow-covered driveways. Heating cables offer a practical solution to these cold-weather woes, but it's important to consider a few things to ensure they work effectively and safely:</p><ul><li><p><strong>Targeted Use:</strong> Heating cables are best used for specific problem areas. Instead of trying to heat your entire yard, focus on key areas like:</p><ul><li><p><strong>Water pipes:</strong> Wrap cables around pipes that are prone to freezing, especially those located in unheated spaces like crawl spaces or exterior walls.</p></li><li><p><strong>Driveways and walkways:</strong> Install cables beneath the surface to melt snow and ice, making these areas safer.</p></li><li><p><strong>Roof edges and gutters:</strong> Prevent ice dams from forming by running cables along roof edges and inside gutters.</p></li></ul></li><li><p><strong>Choosing the Right Cable:</strong> There are different types of heating cables, so selecting the right one for the job is essential:</p><ul><li><p><strong>Self-regulating cables:</strong> These cables adjust their heat output based on the surrounding temperature. They're a good choice for preventing frozen pipes because they use more energy when it's very cold and less when it's milder.</p></li><li><p><strong>Constant wattage cables:</strong> These cables produce a consistent amount of heat. They're often used for melting snow and ice on driveways and walkways.</p></li></ul></li></ul><h4><strong>Conclusion</strong></h4><p>Trace heating cables offer a reliable and effective solution for mitigating the detrimental effects of frost heave in cold regions. By carefully considering the specific application requirements, environmental conditions, and material factors, engineers and contractors can select the most suitable trace heating system to protect infrastructure from the damaging effects of frost heave.</p><p>Investing in high-quality trace heating systems provides long-term benefits, including reduced maintenance costs, improved safety, and increased operational efficiency. By embracing this technology and incorporating considerations for environmental impact, energy efficiency, and sustainable practices, communities can mitigate the risks associated with frost heave and ensure the resilience of critical infrastructure in cold climates.</p><h4><strong>Citations and References</strong></h4><ul><li><p>American Society of Civil Engineers (ASCE). (2023). Frost Heave.</p><p><a href="https://webstore.ansi.org/preview-pages/asce/preview_9780784405642.pdf">https://webstore.ansi.org/preview-pages/asce/preview_9780784405642.pdf</a></p></li><li><p>ASTM International. (2022). Standard Test Methods for Evaluating the Performance of Heat Tracing Systems.</p><p><a href="https://www.astm.org/e0968-02r14.html">https://www.astm.org/e0968-02r14.html</a></p></li><li><p>Department of Transportation (DOT). (2024). Guidelines for Frost Protection of Pavements.</p><p><a href="https://www.youtube.com/watch?v=fkrrSys03qQ">https://www.youtube.com/watch?v=fkrrSys03qQ</a></p></li><li><p>International Ground Source Heat Pump Association (IGSHPA). (2023). Frost Protection for Ground Source Heat Pumps</p><p><a href="https://igshpa.org/">https://igshpa.org/</a></p></li><li><p>National Research Council of Canada (NRCC). (2021). Frost Action in Soils.</p><p><a href="https://ascelibrary.org/doi/abs/10.1061/JCRGEI.CRENG-668">https://ascelibrary.org/doi/abs/10.1061/JCRGEI.CRENG-668</a></p></li></ul><div class="subscription-widget-wrap-editor" data-attrs="{&quot;url&quot;:&quot;https://www.precisionnewsletter.com/subscribe?&quot;,&quot;text&quot;:&quot;Subscribe&quot;,&quot;language&quot;:&quot;en&quot;}" data-component-name="SubscribeWidgetToDOM"><div class="subscription-widget show-subscribe"><div class="preamble"><p class="cta-caption">Thanks for reading Precision Newsletter! Subscribe for free to receive new posts and support my work.</p></div><form class="subscription-widget-subscribe"><input type="email" class="email-input" name="email" placeholder="Type your email&#8230;" tabindex="-1"><input type="submit" class="button primary" value="Subscribe"><div class="fake-input-wrapper"><div class="fake-input"></div><div class="fake-button"></div></div></form></div></div>]]></content:encoded></item><item><title><![CDATA[Role of Overjackets in Electrical Heat Tracing]]></title><description><![CDATA[Exploring the critical role of overjackets in ensuring efficiency and durability in electrical heat tracing systems]]></description><link>https://www.precisionnewsletter.com/p/role-of-overjackets-in-electrical</link><guid isPermaLink="false">https://www.precisionnewsletter.com/p/role-of-overjackets-in-electrical</guid><dc:creator><![CDATA[Jinwook Jung]]></dc:creator><pubDate>Thu, 13 Mar 2025 14:31:51 GMT</pubDate><enclosure url="https://substack-post-media.s3.amazonaws.com/public/images/766d4159-32ba-4714-8b39-a5ed4aae8e38_704x1408.jpeg" length="0" type="image/jpeg"/><content:encoded><![CDATA[<h1><strong>Abstract</strong></h1><p>The overjacket is a critical component of electrical heat tracing systems, providing essential protection and enhancing the system's performance in diverse environments. This article explores the material properties of overjackets, their role in safeguarding heat tracing cables, and their suitability for specific applications. By examining various materials and their characteristics, such as resistance to chemicals, UV rays, and mechanical stress, this article highlights the importance of selecting the appropriate overjacket material for optimal functionality and durability in industrial and commercial settings.</p><h2><strong>Introduction</strong></h2><p>Electrical heat tracing systems are essential for maintaining process temperatures, preventing freezing, and ensuring the safe operation of industrial pipelines and equipment. Among the key components, overjackets play a pivotal role in protecting the cables and ensuring their performance over time. This article delves into the material properties of overjackets and their application in various industries, emphasizing the importance of material selection based on environmental and operational conditions.</p><div class="subscription-widget-wrap-editor" data-attrs="{&quot;url&quot;:&quot;https://www.precisionnewsletter.com/subscribe?&quot;,&quot;text&quot;:&quot;Subscribe&quot;,&quot;language&quot;:&quot;en&quot;}" data-component-name="SubscribeWidgetToDOM"><div class="subscription-widget show-subscribe"><div class="preamble"><p class="cta-caption">Thanks for reading Precision Newsletter! Subscribe for free to receive new posts and support my work.</p></div><form class="subscription-widget-subscribe"><input type="email" class="email-input" name="email" placeholder="Type your email&#8230;" tabindex="-1"><input type="submit" class="button primary" value="Subscribe"><div class="fake-input-wrapper"><div class="fake-input"></div><div class="fake-button"></div></div></form></div></div><h3><strong>Key Properties of Overjacket Materials</strong></h3><p>To prove and validate the key properties of overjacket materials&#8212;chemical resistance, UV resistance, mechanical strength, and temperature tolerance&#8212;we can rely on established testing methodologies and standards used in material science.</p><h4><strong>Target Materials for Comparison:</strong></h4><ul><li><p>Fluoropolymers</p></li><li><p>Silicon Rubber</p></li><li><p>Cross-linked Polyethylene (XLPE)</p></li><li><p> Polyamide</p></li><li><p>Thermoplastic Elastomers</p></li><li><p>EPDM</p></li><li><p> Polyolefin</p></li><li><p> Polypropylene</p></li><li><p> Polyethylene</p></li><li><p>Polyvinyl Chloride (PVC)</p><div><hr></div></li></ul><h4><strong>Chemical Resistance</strong></h4><ul><li><p><strong>Testing Standard:</strong> ASTM D543 - <em>Standard Practices for Evaluating the Resistance of Plastics to Chemical Reagents</em>.</p></li></ul><p><strong>Mathematical Proof/Metric:</strong></p><ol><li><p>Weight change (&#916;W) or tensile strength retention (TSretention) after chemical exposure can quantify chemical resistance:</p><div class="captioned-image-container"><figure><a class="image-link image2" target="_blank" href="https://substackcdn.com/image/fetch/$s_!x0Ht!,f_auto,q_auto:good,fl_progressive:steep/https%3A%2F%2Fsubstack-post-media.s3.amazonaws.com%2Fpublic%2Fimages%2F4b969ea1-48c1-49a0-998e-2ca8d9a6715d_375x65.png" data-component-name="Image2ToDOM"><div class="image2-inset"><picture><source type="image/webp" srcset="https://substackcdn.com/image/fetch/$s_!x0Ht!,w_424,c_limit,f_webp,q_auto:good,fl_progressive:steep/https%3A%2F%2Fsubstack-post-media.s3.amazonaws.com%2Fpublic%2Fimages%2F4b969ea1-48c1-49a0-998e-2ca8d9a6715d_375x65.png 424w, https://substackcdn.com/image/fetch/$s_!x0Ht!,w_848,c_limit,f_webp,q_auto:good,fl_progressive:steep/https%3A%2F%2Fsubstack-post-media.s3.amazonaws.com%2Fpublic%2Fimages%2F4b969ea1-48c1-49a0-998e-2ca8d9a6715d_375x65.png 848w, https://substackcdn.com/image/fetch/$s_!x0Ht!,w_1272,c_limit,f_webp,q_auto:good,fl_progressive:steep/https%3A%2F%2Fsubstack-post-media.s3.amazonaws.com%2Fpublic%2Fimages%2F4b969ea1-48c1-49a0-998e-2ca8d9a6715d_375x65.png 1272w, https://substackcdn.com/image/fetch/$s_!x0Ht!,w_1456,c_limit,f_webp,q_auto:good,fl_progressive:steep/https%3A%2F%2Fsubstack-post-media.s3.amazonaws.com%2Fpublic%2Fimages%2F4b969ea1-48c1-49a0-998e-2ca8d9a6715d_375x65.png 1456w" sizes="100vw"><img src="https://substackcdn.com/image/fetch/$s_!x0Ht!,w_1456,c_limit,f_auto,q_auto:good,fl_progressive:steep/https%3A%2F%2Fsubstack-post-media.s3.amazonaws.com%2Fpublic%2Fimages%2F4b969ea1-48c1-49a0-998e-2ca8d9a6715d_375x65.png" width="375" height="65" data-attrs="{&quot;src&quot;:&quot;https://substack-post-media.s3.amazonaws.com/public/images/4b969ea1-48c1-49a0-998e-2ca8d9a6715d_375x65.png&quot;,&quot;srcNoWatermark&quot;:null,&quot;fullscreen&quot;:null,&quot;imageSize&quot;:null,&quot;height&quot;:65,&quot;width&quot;:375,&quot;resizeWidth&quot;:null,&quot;bytes&quot;:5160,&quot;alt&quot;:&quot;&quot;,&quot;title&quot;:null,&quot;type&quot;:&quot;image/png&quot;,&quot;href&quot;:null,&quot;belowTheFold&quot;:true,&quot;topImage&quot;:false,&quot;internalRedirect&quot;:&quot;https://www.precisionnewsletter.com/i/158872056?img=https%3A%2F%2Fsubstack-post-media.s3.amazonaws.com%2Fpublic%2Fimages%2F4b969ea1-48c1-49a0-998e-2ca8d9a6715d_375x65.png&quot;,&quot;isProcessing&quot;:false,&quot;align&quot;:null,&quot;offset&quot;:false}" class="sizing-normal" alt="" title="" srcset="https://substackcdn.com/image/fetch/$s_!x0Ht!,w_424,c_limit,f_auto,q_auto:good,fl_progressive:steep/https%3A%2F%2Fsubstack-post-media.s3.amazonaws.com%2Fpublic%2Fimages%2F4b969ea1-48c1-49a0-998e-2ca8d9a6715d_375x65.png 424w, https://substackcdn.com/image/fetch/$s_!x0Ht!,w_848,c_limit,f_auto,q_auto:good,fl_progressive:steep/https%3A%2F%2Fsubstack-post-media.s3.amazonaws.com%2Fpublic%2Fimages%2F4b969ea1-48c1-49a0-998e-2ca8d9a6715d_375x65.png 848w, https://substackcdn.com/image/fetch/$s_!x0Ht!,w_1272,c_limit,f_auto,q_auto:good,fl_progressive:steep/https%3A%2F%2Fsubstack-post-media.s3.amazonaws.com%2Fpublic%2Fimages%2F4b969ea1-48c1-49a0-998e-2ca8d9a6715d_375x65.png 1272w, https://substackcdn.com/image/fetch/$s_!x0Ht!,w_1456,c_limit,f_auto,q_auto:good,fl_progressive:steep/https%3A%2F%2Fsubstack-post-media.s3.amazonaws.com%2Fpublic%2Fimages%2F4b969ea1-48c1-49a0-998e-2ca8d9a6715d_375x65.png 1456w" sizes="100vw" loading="lazy"></picture><div></div></div></a></figure></div></li><li><p>A high TS(close to 100%) indicates excellent resistance.</p><p></p></li></ol><ul><li><p><strong>Tensile Strength and TS Retention (%):</strong> Tensile strength (TS) is the maximum stress a material can withstand while being stretched or pulled before breaking. It is a crucial property in determining a material&#8217;s mechanical durability.</p></li><li><p>The TS retention (%) value indicates how well a material maintains its tensile strength after exposure to chemicals. A high TS retention suggests that the material resists chemical degradation effectively. If a material has a TS retention close to 100%, it means that it retains almost all of its original strength, even after exposure to harsh chemicals.</p></li><li><p><strong>Example:</strong> Fluoropolymers retain over 95% of their tensile strength after prolonged acid or solvent exposure, as reported in ASTM studies. This high TS retention proves that fluoropolymers are excellent in terms of chemical resistance, making them a preferred choice when compared with other target materials.</p><p></p></li></ul><h4><strong>UV Resistance</strong></h4><p><strong>i. Testing Standard:</strong> ASTM G154 - <em>Standard Practice for Operating Fluorescent Ultraviolet (UV) Lamp Apparatus for Exposure of Nonmetallic Materials</em>.</p><p><strong>ii. Mathematical Proof/Metric:</strong></p><ul><li><p>UV degradation is quantified by measuring the loss in elongation at break (Eb) after UV exposure:</p><div class="captioned-image-container"><figure><a class="image-link image2" target="_blank" href="https://substackcdn.com/image/fetch/$s_!I5t6!,f_auto,q_auto:good,fl_progressive:steep/https%3A%2F%2Fsubstack-post-media.s3.amazonaws.com%2Fpublic%2Fimages%2Fea341c78-f3a8-49e3-92b3-bbabb164043e_297x71.png" data-component-name="Image2ToDOM"><div class="image2-inset"><picture><source type="image/webp" srcset="https://substackcdn.com/image/fetch/$s_!I5t6!,w_424,c_limit,f_webp,q_auto:good,fl_progressive:steep/https%3A%2F%2Fsubstack-post-media.s3.amazonaws.com%2Fpublic%2Fimages%2Fea341c78-f3a8-49e3-92b3-bbabb164043e_297x71.png 424w, https://substackcdn.com/image/fetch/$s_!I5t6!,w_848,c_limit,f_webp,q_auto:good,fl_progressive:steep/https%3A%2F%2Fsubstack-post-media.s3.amazonaws.com%2Fpublic%2Fimages%2Fea341c78-f3a8-49e3-92b3-bbabb164043e_297x71.png 848w, https://substackcdn.com/image/fetch/$s_!I5t6!,w_1272,c_limit,f_webp,q_auto:good,fl_progressive:steep/https%3A%2F%2Fsubstack-post-media.s3.amazonaws.com%2Fpublic%2Fimages%2Fea341c78-f3a8-49e3-92b3-bbabb164043e_297x71.png 1272w, https://substackcdn.com/image/fetch/$s_!I5t6!,w_1456,c_limit,f_webp,q_auto:good,fl_progressive:steep/https%3A%2F%2Fsubstack-post-media.s3.amazonaws.com%2Fpublic%2Fimages%2Fea341c78-f3a8-49e3-92b3-bbabb164043e_297x71.png 1456w" sizes="100vw"><img src="https://substackcdn.com/image/fetch/$s_!I5t6!,w_1456,c_limit,f_auto,q_auto:good,fl_progressive:steep/https%3A%2F%2Fsubstack-post-media.s3.amazonaws.com%2Fpublic%2Fimages%2Fea341c78-f3a8-49e3-92b3-bbabb164043e_297x71.png" width="297" height="71" data-attrs="{&quot;src&quot;:&quot;https://substack-post-media.s3.amazonaws.com/public/images/ea341c78-f3a8-49e3-92b3-bbabb164043e_297x71.png&quot;,&quot;srcNoWatermark&quot;:null,&quot;fullscreen&quot;:null,&quot;imageSize&quot;:null,&quot;height&quot;:71,&quot;width&quot;:297,&quot;resizeWidth&quot;:null,&quot;bytes&quot;:4993,&quot;alt&quot;:null,&quot;title&quot;:null,&quot;type&quot;:&quot;image/png&quot;,&quot;href&quot;:null,&quot;belowTheFold&quot;:true,&quot;topImage&quot;:false,&quot;internalRedirect&quot;:&quot;https://www.precisionnewsletter.com/i/158872056?img=https%3A%2F%2Fsubstack-post-media.s3.amazonaws.com%2Fpublic%2Fimages%2Fea341c78-f3a8-49e3-92b3-bbabb164043e_297x71.png&quot;,&quot;isProcessing&quot;:false,&quot;align&quot;:null,&quot;offset&quot;:false}" class="sizing-normal" alt="" srcset="https://substackcdn.com/image/fetch/$s_!I5t6!,w_424,c_limit,f_auto,q_auto:good,fl_progressive:steep/https%3A%2F%2Fsubstack-post-media.s3.amazonaws.com%2Fpublic%2Fimages%2Fea341c78-f3a8-49e3-92b3-bbabb164043e_297x71.png 424w, https://substackcdn.com/image/fetch/$s_!I5t6!,w_848,c_limit,f_auto,q_auto:good,fl_progressive:steep/https%3A%2F%2Fsubstack-post-media.s3.amazonaws.com%2Fpublic%2Fimages%2Fea341c78-f3a8-49e3-92b3-bbabb164043e_297x71.png 848w, https://substackcdn.com/image/fetch/$s_!I5t6!,w_1272,c_limit,f_auto,q_auto:good,fl_progressive:steep/https%3A%2F%2Fsubstack-post-media.s3.amazonaws.com%2Fpublic%2Fimages%2Fea341c78-f3a8-49e3-92b3-bbabb164043e_297x71.png 1272w, https://substackcdn.com/image/fetch/$s_!I5t6!,w_1456,c_limit,f_auto,q_auto:good,fl_progressive:steep/https%3A%2F%2Fsubstack-post-media.s3.amazonaws.com%2Fpublic%2Fimages%2Fea341c78-f3a8-49e3-92b3-bbabb164043e_297x71.png 1456w" sizes="100vw" loading="lazy"></picture><div></div></div></a></figure></div><h4><strong>iii. Elongation at break (Eb)</strong> </h4><p>is the measure of a material's ability to stretch before breaking. It indicates the flexibility and durability of the material under mechanical stress. A higher retention of Eb after UV exposure means better UV resistance.</p><p>UV-resistant materials like <strong>fluoropolymers exhibit UV_(retention(%)) &gt; 90%</strong>.</p><h4>iv. <strong>Example:</strong></h4><p> Polyethylene over jackets subjected to UV for 1000 hours retain &gt;90% tensile and  elongation properties</p><h4><strong>v. Comparison with Other Materials:</strong></h4></li><li><p> <strong>Fluoropolymers</strong>: Retain &gt;90% of their elongation and tensile properties after prolonged UV exposure, making them highly UV-resistant.</p></li><li><p><strong>Polyethylene (PE)</strong>: Generally retains 80-90% of its properties, depending on the formulation and stabilizers used.</p></li><li><p> <strong>Polyvinyl Chloride (PVC)</strong>: Tends to degrade more significantly under UV exposure, showing cracking and brittleness over time with a retention rate of around 60-80%.</p></li><li><p><strong>Nylon</strong>: Susceptible to UV degradation, with retention often below 50% unless UV stabilizers are added.</p></li></ul><div><hr></div><h4><strong>Mechanical Strength</strong></h4><ol><li><p><strong>Testing Standard:</strong> ASTM D638 - <em>Standard Test Method for Tensile Properties of Plastics</em> and ASTM D256 - <em>Standard Test Methods for Determining Izod Pendulum Impact Resistance</em>.</p></li><li><p><strong>Mathematical Proof/Metric:</strong></p><ol><li><p>Tensile Strength (&#963;T):</p><div class="captioned-image-container"><figure><a class="image-link image2" target="_blank" href="https://substackcdn.com/image/fetch/$s_!ZZuK!,f_auto,q_auto:good,fl_progressive:steep/https%3A%2F%2Fsubstack-post-media.s3.amazonaws.com%2Fpublic%2Fimages%2F3b549416-ef52-46b5-a750-9a1dddf9634e_84x53.png" data-component-name="Image2ToDOM"><div class="image2-inset"><picture><source type="image/webp" srcset="https://substackcdn.com/image/fetch/$s_!ZZuK!,w_424,c_limit,f_webp,q_auto:good,fl_progressive:steep/https%3A%2F%2Fsubstack-post-media.s3.amazonaws.com%2Fpublic%2Fimages%2F3b549416-ef52-46b5-a750-9a1dddf9634e_84x53.png 424w, https://substackcdn.com/image/fetch/$s_!ZZuK!,w_848,c_limit,f_webp,q_auto:good,fl_progressive:steep/https%3A%2F%2Fsubstack-post-media.s3.amazonaws.com%2Fpublic%2Fimages%2F3b549416-ef52-46b5-a750-9a1dddf9634e_84x53.png 848w, https://substackcdn.com/image/fetch/$s_!ZZuK!,w_1272,c_limit,f_webp,q_auto:good,fl_progressive:steep/https%3A%2F%2Fsubstack-post-media.s3.amazonaws.com%2Fpublic%2Fimages%2F3b549416-ef52-46b5-a750-9a1dddf9634e_84x53.png 1272w, https://substackcdn.com/image/fetch/$s_!ZZuK!,w_1456,c_limit,f_webp,q_auto:good,fl_progressive:steep/https%3A%2F%2Fsubstack-post-media.s3.amazonaws.com%2Fpublic%2Fimages%2F3b549416-ef52-46b5-a750-9a1dddf9634e_84x53.png 1456w" sizes="100vw"><img src="https://substackcdn.com/image/fetch/$s_!ZZuK!,w_1456,c_limit,f_auto,q_auto:good,fl_progressive:steep/https%3A%2F%2Fsubstack-post-media.s3.amazonaws.com%2Fpublic%2Fimages%2F3b549416-ef52-46b5-a750-9a1dddf9634e_84x53.png" width="84" height="53" data-attrs="{&quot;src&quot;:&quot;https://substack-post-media.s3.amazonaws.com/public/images/3b549416-ef52-46b5-a750-9a1dddf9634e_84x53.png&quot;,&quot;srcNoWatermark&quot;:null,&quot;fullscreen&quot;:null,&quot;imageSize&quot;:null,&quot;height&quot;:53,&quot;width&quot;:84,&quot;resizeWidth&quot;:null,&quot;bytes&quot;:920,&quot;alt&quot;:null,&quot;title&quot;:null,&quot;type&quot;:&quot;image/png&quot;,&quot;href&quot;:null,&quot;belowTheFold&quot;:true,&quot;topImage&quot;:false,&quot;internalRedirect&quot;:&quot;https://www.precisionnewsletter.com/i/158872056?img=https%3A%2F%2Fsubstack-post-media.s3.amazonaws.com%2Fpublic%2Fimages%2F3b549416-ef52-46b5-a750-9a1dddf9634e_84x53.png&quot;,&quot;isProcessing&quot;:false,&quot;align&quot;:null,&quot;offset&quot;:false}" class="sizing-normal" alt="" srcset="https://substackcdn.com/image/fetch/$s_!ZZuK!,w_424,c_limit,f_auto,q_auto:good,fl_progressive:steep/https%3A%2F%2Fsubstack-post-media.s3.amazonaws.com%2Fpublic%2Fimages%2F3b549416-ef52-46b5-a750-9a1dddf9634e_84x53.png 424w, https://substackcdn.com/image/fetch/$s_!ZZuK!,w_848,c_limit,f_auto,q_auto:good,fl_progressive:steep/https%3A%2F%2Fsubstack-post-media.s3.amazonaws.com%2Fpublic%2Fimages%2F3b549416-ef52-46b5-a750-9a1dddf9634e_84x53.png 848w, https://substackcdn.com/image/fetch/$s_!ZZuK!,w_1272,c_limit,f_auto,q_auto:good,fl_progressive:steep/https%3A%2F%2Fsubstack-post-media.s3.amazonaws.com%2Fpublic%2Fimages%2F3b549416-ef52-46b5-a750-9a1dddf9634e_84x53.png 1272w, https://substackcdn.com/image/fetch/$s_!ZZuK!,w_1456,c_limit,f_auto,q_auto:good,fl_progressive:steep/https%3A%2F%2Fsubstack-post-media.s3.amazonaws.com%2Fpublic%2Fimages%2F3b549416-ef52-46b5-a750-9a1dddf9634e_84x53.png 1456w" sizes="100vw" loading="lazy"></picture><div></div></div></a></figure></div></li></ol></li></ol><p>Where F is the applied force, and A is the cross-sectional area.</p><ol start="2"><li><p>Impact Energy (E):</p><div class="captioned-image-container"><figure><a class="image-link image2" target="_blank" href="https://substackcdn.com/image/fetch/$s_!kReT!,f_auto,q_auto:good,fl_progressive:steep/https%3A%2F%2Fsubstack-post-media.s3.amazonaws.com%2Fpublic%2Fimages%2Fe8c78ca9-2a1a-4f01-be86-3f68368003aa_104x66.png" data-component-name="Image2ToDOM"><div class="image2-inset"><picture><source type="image/webp" srcset="https://substackcdn.com/image/fetch/$s_!kReT!,w_424,c_limit,f_webp,q_auto:good,fl_progressive:steep/https%3A%2F%2Fsubstack-post-media.s3.amazonaws.com%2Fpublic%2Fimages%2Fe8c78ca9-2a1a-4f01-be86-3f68368003aa_104x66.png 424w, https://substackcdn.com/image/fetch/$s_!kReT!,w_848,c_limit,f_webp,q_auto:good,fl_progressive:steep/https%3A%2F%2Fsubstack-post-media.s3.amazonaws.com%2Fpublic%2Fimages%2Fe8c78ca9-2a1a-4f01-be86-3f68368003aa_104x66.png 848w, https://substackcdn.com/image/fetch/$s_!kReT!,w_1272,c_limit,f_webp,q_auto:good,fl_progressive:steep/https%3A%2F%2Fsubstack-post-media.s3.amazonaws.com%2Fpublic%2Fimages%2Fe8c78ca9-2a1a-4f01-be86-3f68368003aa_104x66.png 1272w, https://substackcdn.com/image/fetch/$s_!kReT!,w_1456,c_limit,f_webp,q_auto:good,fl_progressive:steep/https%3A%2F%2Fsubstack-post-media.s3.amazonaws.com%2Fpublic%2Fimages%2Fe8c78ca9-2a1a-4f01-be86-3f68368003aa_104x66.png 1456w" sizes="100vw"><img src="https://substackcdn.com/image/fetch/$s_!kReT!,w_1456,c_limit,f_auto,q_auto:good,fl_progressive:steep/https%3A%2F%2Fsubstack-post-media.s3.amazonaws.com%2Fpublic%2Fimages%2Fe8c78ca9-2a1a-4f01-be86-3f68368003aa_104x66.png" width="104" height="66" data-attrs="{&quot;src&quot;:&quot;https://substack-post-media.s3.amazonaws.com/public/images/e8c78ca9-2a1a-4f01-be86-3f68368003aa_104x66.png&quot;,&quot;srcNoWatermark&quot;:null,&quot;fullscreen&quot;:null,&quot;imageSize&quot;:null,&quot;height&quot;:66,&quot;width&quot;:104,&quot;resizeWidth&quot;:null,&quot;bytes&quot;:1354,&quot;alt&quot;:null,&quot;title&quot;:null,&quot;type&quot;:&quot;image/png&quot;,&quot;href&quot;:null,&quot;belowTheFold&quot;:true,&quot;topImage&quot;:false,&quot;internalRedirect&quot;:&quot;https://www.precisionnewsletter.com/i/158872056?img=https%3A%2F%2Fsubstack-post-media.s3.amazonaws.com%2Fpublic%2Fimages%2Fe8c78ca9-2a1a-4f01-be86-3f68368003aa_104x66.png&quot;,&quot;isProcessing&quot;:false,&quot;align&quot;:null,&quot;offset&quot;:false}" class="sizing-normal" alt="" srcset="https://substackcdn.com/image/fetch/$s_!kReT!,w_424,c_limit,f_auto,q_auto:good,fl_progressive:steep/https%3A%2F%2Fsubstack-post-media.s3.amazonaws.com%2Fpublic%2Fimages%2Fe8c78ca9-2a1a-4f01-be86-3f68368003aa_104x66.png 424w, https://substackcdn.com/image/fetch/$s_!kReT!,w_848,c_limit,f_auto,q_auto:good,fl_progressive:steep/https%3A%2F%2Fsubstack-post-media.s3.amazonaws.com%2Fpublic%2Fimages%2Fe8c78ca9-2a1a-4f01-be86-3f68368003aa_104x66.png 848w, https://substackcdn.com/image/fetch/$s_!kReT!,w_1272,c_limit,f_auto,q_auto:good,fl_progressive:steep/https%3A%2F%2Fsubstack-post-media.s3.amazonaws.com%2Fpublic%2Fimages%2Fe8c78ca9-2a1a-4f01-be86-3f68368003aa_104x66.png 1272w, https://substackcdn.com/image/fetch/$s_!kReT!,w_1456,c_limit,f_auto,q_auto:good,fl_progressive:steep/https%3A%2F%2Fsubstack-post-media.s3.amazonaws.com%2Fpublic%2Fimages%2Fe8c78ca9-2a1a-4f01-be86-3f68368003aa_104x66.png 1456w" sizes="100vw" loading="lazy"></picture><div></div></div></a></figure></div></li></ol><p>In the equation <strong>E = &#189; mv&#178;</strong>, <strong>v</strong> represents the velocity of the impacting object just before it strikes the material being tested. It is a crucial factor in determining the material&#8217;s ability to absorb energy under sudden impact.</p><h3><strong>What does the E value tell?</strong></h3><p>The impact energy (<strong>E</strong>) indicates how much energy a material can absorb before fracturing. A higher <strong>E</strong> value means the material is more resistant to sudden impacts, making it suitable for applications requiring toughness, such as protective coatings, gears, or structural components.</p><h4><strong>iii. Example:</strong></h4><p>Polyurethane has <strong>tensile strength &gt;50 MPa</strong> and <strong>high impact energy (E)</strong>, meaning it can withstand both high stretching forces and sudden shocks. This makes it ideal for <strong>abrasive conditions</strong>, such as industrial linings or wear-resistant parts.</p><h3><strong>iv. Comparison with Other Materials:</strong></h3><ul><li><p><strong>Polyurethane:</strong> High tensile strength and high impact energy &#8594; Tough and durable.</p></li><li><p><strong>Acrylic:</strong> Moderate tensile strength but lower impact resistance &#8594; Brittle.</p></li><li><p><strong>Nylon:</strong> Good tensile strength and decent impact resistance &#8594; Flexible and strong.</p></li><li><p><strong>Epoxy:</strong> High tensile strength but low impact energy &#8594; Strong but brittle.</p></li></ul><div><hr></div><h4><strong>Temperature Tolerance</strong></h4><ol><li><p><strong>Testing Standard:</strong> ASTM D746 - <em>Standard Test Method for Brittleness Temperature of Plastics and Elastomers by Impact</em>.<strong>ii.</strong></p></li><li><p><strong>Mathematical Proof/Metric:</strong></p><ol><li><p>Tb: Brittleness temperature below which material fails under impact.</p></li></ol></li></ol><blockquote><p>Tb=Temperature at failure point</p></blockquote><ol start="2"><li><p>Thermal degradation activation energy (Ea) is calculated via thermogravimetric analysis (TGA) using the Arrhenius equation:</p><div class="captioned-image-container"><figure><a class="image-link image2" target="_blank" href="https://substackcdn.com/image/fetch/$s_!kEtZ!,f_auto,q_auto:good,fl_progressive:steep/https%3A%2F%2Fsubstack-post-media.s3.amazonaws.com%2Fpublic%2Fimages%2F86e147f1-4af2-4e98-a25f-114901abf474_113x38.png" data-component-name="Image2ToDOM"><div class="image2-inset"><picture><source type="image/webp" srcset="https://substackcdn.com/image/fetch/$s_!kEtZ!,w_424,c_limit,f_webp,q_auto:good,fl_progressive:steep/https%3A%2F%2Fsubstack-post-media.s3.amazonaws.com%2Fpublic%2Fimages%2F86e147f1-4af2-4e98-a25f-114901abf474_113x38.png 424w, https://substackcdn.com/image/fetch/$s_!kEtZ!,w_848,c_limit,f_webp,q_auto:good,fl_progressive:steep/https%3A%2F%2Fsubstack-post-media.s3.amazonaws.com%2Fpublic%2Fimages%2F86e147f1-4af2-4e98-a25f-114901abf474_113x38.png 848w, https://substackcdn.com/image/fetch/$s_!kEtZ!,w_1272,c_limit,f_webp,q_auto:good,fl_progressive:steep/https%3A%2F%2Fsubstack-post-media.s3.amazonaws.com%2Fpublic%2Fimages%2F86e147f1-4af2-4e98-a25f-114901abf474_113x38.png 1272w, https://substackcdn.com/image/fetch/$s_!kEtZ!,w_1456,c_limit,f_webp,q_auto:good,fl_progressive:steep/https%3A%2F%2Fsubstack-post-media.s3.amazonaws.com%2Fpublic%2Fimages%2F86e147f1-4af2-4e98-a25f-114901abf474_113x38.png 1456w" sizes="100vw"><img src="https://substackcdn.com/image/fetch/$s_!kEtZ!,w_1456,c_limit,f_auto,q_auto:good,fl_progressive:steep/https%3A%2F%2Fsubstack-post-media.s3.amazonaws.com%2Fpublic%2Fimages%2F86e147f1-4af2-4e98-a25f-114901abf474_113x38.png" width="113" height="38" data-attrs="{&quot;src&quot;:&quot;https://substack-post-media.s3.amazonaws.com/public/images/86e147f1-4af2-4e98-a25f-114901abf474_113x38.png&quot;,&quot;srcNoWatermark&quot;:null,&quot;fullscreen&quot;:null,&quot;imageSize&quot;:null,&quot;height&quot;:38,&quot;width&quot;:113,&quot;resizeWidth&quot;:null,&quot;bytes&quot;:1094,&quot;alt&quot;:null,&quot;title&quot;:null,&quot;type&quot;:&quot;image/png&quot;,&quot;href&quot;:null,&quot;belowTheFold&quot;:true,&quot;topImage&quot;:false,&quot;internalRedirect&quot;:&quot;https://www.precisionnewsletter.com/i/158872056?img=https%3A%2F%2Fsubstack-post-media.s3.amazonaws.com%2Fpublic%2Fimages%2F86e147f1-4af2-4e98-a25f-114901abf474_113x38.png&quot;,&quot;isProcessing&quot;:false,&quot;align&quot;:null,&quot;offset&quot;:false}" class="sizing-normal" alt="" srcset="https://substackcdn.com/image/fetch/$s_!kEtZ!,w_424,c_limit,f_auto,q_auto:good,fl_progressive:steep/https%3A%2F%2Fsubstack-post-media.s3.amazonaws.com%2Fpublic%2Fimages%2F86e147f1-4af2-4e98-a25f-114901abf474_113x38.png 424w, https://substackcdn.com/image/fetch/$s_!kEtZ!,w_848,c_limit,f_auto,q_auto:good,fl_progressive:steep/https%3A%2F%2Fsubstack-post-media.s3.amazonaws.com%2Fpublic%2Fimages%2F86e147f1-4af2-4e98-a25f-114901abf474_113x38.png 848w, https://substackcdn.com/image/fetch/$s_!kEtZ!,w_1272,c_limit,f_auto,q_auto:good,fl_progressive:steep/https%3A%2F%2Fsubstack-post-media.s3.amazonaws.com%2Fpublic%2Fimages%2F86e147f1-4af2-4e98-a25f-114901abf474_113x38.png 1272w, https://substackcdn.com/image/fetch/$s_!kEtZ!,w_1456,c_limit,f_auto,q_auto:good,fl_progressive:steep/https%3A%2F%2Fsubstack-post-media.s3.amazonaws.com%2Fpublic%2Fimages%2F86e147f1-4af2-4e98-a25f-114901abf474_113x38.png 1456w" sizes="100vw" loading="lazy"></picture><div></div></div></a></figure></div></li></ol><p>Where:</p><ul><li><p><strong>k</strong> = Rate constant (<strong>unit depends on reaction type, e.g., s&#8315;&#185; for first-order reactions</strong>)</p></li><li><p><strong>A</strong> = Pre-exponential factor (<strong>same unit as k</strong>)</p></li><li><p><strong>Ea</strong> = Activation energy (<strong>Joules per mole, J/mol</strong>)</p></li><li><p><strong>R</strong> = Universal gas constant (<strong>8.314 J/mol&#183;K</strong>)</p></li><li><p><strong>T</strong> = Temperature (<strong>Kelvin, K</strong>)</p></li></ul><h4>iii. <strong>How is Tb Related to the Arrhenius Equation?</strong></h4><ul><li><p>The Arrhenius equation calculates <strong>k</strong>, which indicates the <strong>rate of thermal degradation</strong>.</p></li><li><p><strong>Tb is not directly derived from the Arrhenius equation</strong> but is <strong>experimentally determined</strong> using ASTM D746.</p></li><li><p>However, knowing <strong>Ea</strong> helps estimate at what temperature a material starts degrading significantly, which can correlate with its <strong>low-temperature embrittlement</strong>.</p></li></ul><h4>iv. <strong>What Does the Tb Value Mean?</strong></h4><ul><li><p>A lower <strong>Tb</strong> means the material remains <strong>flexible</strong> at very low temperatures.</p></li><li><p><strong>Example:</strong></p><ul><li><p><strong>Fluoropolymer overjackets</strong> have <strong>Tb &lt; -100&#176;C</strong> and <strong>Ea</strong> high enough for operation <strong>above 200&#176;C</strong>.</p></li><li><p>This shows <strong>exceptional thermal tolerance</strong>, making them ideal for extreme cold and high-heat environments.</p></li></ul></li></ul><p>Here&#8217;s a <strong>comparison of materials</strong> based on their <strong>brittleness temperature (Tb)</strong> and <strong>thermal degradation activation energy (Ea):</strong></p><div class="captioned-image-container"><figure><a class="image-link image2" target="_blank" href="https://substackcdn.com/image/fetch/$s_!RmX4!,f_auto,q_auto:good,fl_progressive:steep/https%3A%2F%2Fsubstack-post-media.s3.amazonaws.com%2Fpublic%2Fimages%2Fa992c0e6-85da-4b76-a0ac-303728cf6c5b_649x150.png" data-component-name="Image2ToDOM"><div class="image2-inset"><picture><source type="image/webp" srcset="https://substackcdn.com/image/fetch/$s_!RmX4!,w_424,c_limit,f_webp,q_auto:good,fl_progressive:steep/https%3A%2F%2Fsubstack-post-media.s3.amazonaws.com%2Fpublic%2Fimages%2Fa992c0e6-85da-4b76-a0ac-303728cf6c5b_649x150.png 424w, https://substackcdn.com/image/fetch/$s_!RmX4!,w_848,c_limit,f_webp,q_auto:good,fl_progressive:steep/https%3A%2F%2Fsubstack-post-media.s3.amazonaws.com%2Fpublic%2Fimages%2Fa992c0e6-85da-4b76-a0ac-303728cf6c5b_649x150.png 848w, https://substackcdn.com/image/fetch/$s_!RmX4!,w_1272,c_limit,f_webp,q_auto:good,fl_progressive:steep/https%3A%2F%2Fsubstack-post-media.s3.amazonaws.com%2Fpublic%2Fimages%2Fa992c0e6-85da-4b76-a0ac-303728cf6c5b_649x150.png 1272w, https://substackcdn.com/image/fetch/$s_!RmX4!,w_1456,c_limit,f_webp,q_auto:good,fl_progressive:steep/https%3A%2F%2Fsubstack-post-media.s3.amazonaws.com%2Fpublic%2Fimages%2Fa992c0e6-85da-4b76-a0ac-303728cf6c5b_649x150.png 1456w" sizes="100vw"><img src="https://substackcdn.com/image/fetch/$s_!RmX4!,w_1456,c_limit,f_auto,q_auto:good,fl_progressive:steep/https%3A%2F%2Fsubstack-post-media.s3.amazonaws.com%2Fpublic%2Fimages%2Fa992c0e6-85da-4b76-a0ac-303728cf6c5b_649x150.png" width="649" height="150" data-attrs="{&quot;src&quot;:&quot;https://substack-post-media.s3.amazonaws.com/public/images/a992c0e6-85da-4b76-a0ac-303728cf6c5b_649x150.png&quot;,&quot;srcNoWatermark&quot;:null,&quot;fullscreen&quot;:null,&quot;imageSize&quot;:null,&quot;height&quot;:150,&quot;width&quot;:649,&quot;resizeWidth&quot;:null,&quot;bytes&quot;:17308,&quot;alt&quot;:null,&quot;title&quot;:null,&quot;type&quot;:&quot;image/png&quot;,&quot;href&quot;:null,&quot;belowTheFold&quot;:true,&quot;topImage&quot;:false,&quot;internalRedirect&quot;:&quot;https://www.precisionnewsletter.com/i/158872056?img=https%3A%2F%2Fsubstack-post-media.s3.amazonaws.com%2Fpublic%2Fimages%2Fa992c0e6-85da-4b76-a0ac-303728cf6c5b_649x150.png&quot;,&quot;isProcessing&quot;:false,&quot;align&quot;:null,&quot;offset&quot;:false}" class="sizing-normal" alt="" srcset="https://substackcdn.com/image/fetch/$s_!RmX4!,w_424,c_limit,f_auto,q_auto:good,fl_progressive:steep/https%3A%2F%2Fsubstack-post-media.s3.amazonaws.com%2Fpublic%2Fimages%2Fa992c0e6-85da-4b76-a0ac-303728cf6c5b_649x150.png 424w, https://substackcdn.com/image/fetch/$s_!RmX4!,w_848,c_limit,f_auto,q_auto:good,fl_progressive:steep/https%3A%2F%2Fsubstack-post-media.s3.amazonaws.com%2Fpublic%2Fimages%2Fa992c0e6-85da-4b76-a0ac-303728cf6c5b_649x150.png 848w, https://substackcdn.com/image/fetch/$s_!RmX4!,w_1272,c_limit,f_auto,q_auto:good,fl_progressive:steep/https%3A%2F%2Fsubstack-post-media.s3.amazonaws.com%2Fpublic%2Fimages%2Fa992c0e6-85da-4b76-a0ac-303728cf6c5b_649x150.png 1272w, https://substackcdn.com/image/fetch/$s_!RmX4!,w_1456,c_limit,f_auto,q_auto:good,fl_progressive:steep/https%3A%2F%2Fsubstack-post-media.s3.amazonaws.com%2Fpublic%2Fimages%2Fa992c0e6-85da-4b76-a0ac-303728cf6c5b_649x150.png 1456w" sizes="100vw" loading="lazy"></picture><div></div></div></a></figure></div><div class="captioned-image-container"><figure><a class="image-link image2 is-viewable-img" target="_blank" href="https://substackcdn.com/image/fetch/$s_!lJfJ!,f_auto,q_auto:good,fl_progressive:steep/https%3A%2F%2Fsubstack-post-media.s3.amazonaws.com%2Fpublic%2Fimages%2F2d1f79d4-8a59-47cf-b434-2b8155de99e2_646x458.png" data-component-name="Image2ToDOM"><div class="image2-inset"><picture><source type="image/webp" srcset="https://substackcdn.com/image/fetch/$s_!lJfJ!,w_424,c_limit,f_webp,q_auto:good,fl_progressive:steep/https%3A%2F%2Fsubstack-post-media.s3.amazonaws.com%2Fpublic%2Fimages%2F2d1f79d4-8a59-47cf-b434-2b8155de99e2_646x458.png 424w, https://substackcdn.com/image/fetch/$s_!lJfJ!,w_848,c_limit,f_webp,q_auto:good,fl_progressive:steep/https%3A%2F%2Fsubstack-post-media.s3.amazonaws.com%2Fpublic%2Fimages%2F2d1f79d4-8a59-47cf-b434-2b8155de99e2_646x458.png 848w, https://substackcdn.com/image/fetch/$s_!lJfJ!,w_1272,c_limit,f_webp,q_auto:good,fl_progressive:steep/https%3A%2F%2Fsubstack-post-media.s3.amazonaws.com%2Fpublic%2Fimages%2F2d1f79d4-8a59-47cf-b434-2b8155de99e2_646x458.png 1272w, https://substackcdn.com/image/fetch/$s_!lJfJ!,w_1456,c_limit,f_webp,q_auto:good,fl_progressive:steep/https%3A%2F%2Fsubstack-post-media.s3.amazonaws.com%2Fpublic%2Fimages%2F2d1f79d4-8a59-47cf-b434-2b8155de99e2_646x458.png 1456w" sizes="100vw"><img src="https://substackcdn.com/image/fetch/$s_!lJfJ!,w_1456,c_limit,f_auto,q_auto:good,fl_progressive:steep/https%3A%2F%2Fsubstack-post-media.s3.amazonaws.com%2Fpublic%2Fimages%2F2d1f79d4-8a59-47cf-b434-2b8155de99e2_646x458.png" width="646" height="458" data-attrs="{&quot;src&quot;:&quot;https://substack-post-media.s3.amazonaws.com/public/images/2d1f79d4-8a59-47cf-b434-2b8155de99e2_646x458.png&quot;,&quot;srcNoWatermark&quot;:null,&quot;fullscreen&quot;:null,&quot;imageSize&quot;:null,&quot;height&quot;:458,&quot;width&quot;:646,&quot;resizeWidth&quot;:null,&quot;bytes&quot;:50162,&quot;alt&quot;:null,&quot;title&quot;:null,&quot;type&quot;:&quot;image/png&quot;,&quot;href&quot;:null,&quot;belowTheFold&quot;:true,&quot;topImage&quot;:false,&quot;internalRedirect&quot;:&quot;https://www.precisionnewsletter.com/i/158872056?img=https%3A%2F%2Fsubstack-post-media.s3.amazonaws.com%2Fpublic%2Fimages%2F2d1f79d4-8a59-47cf-b434-2b8155de99e2_646x458.png&quot;,&quot;isProcessing&quot;:false,&quot;align&quot;:null,&quot;offset&quot;:false}" class="sizing-normal" alt="" srcset="https://substackcdn.com/image/fetch/$s_!lJfJ!,w_424,c_limit,f_auto,q_auto:good,fl_progressive:steep/https%3A%2F%2Fsubstack-post-media.s3.amazonaws.com%2Fpublic%2Fimages%2F2d1f79d4-8a59-47cf-b434-2b8155de99e2_646x458.png 424w, https://substackcdn.com/image/fetch/$s_!lJfJ!,w_848,c_limit,f_auto,q_auto:good,fl_progressive:steep/https%3A%2F%2Fsubstack-post-media.s3.amazonaws.com%2Fpublic%2Fimages%2F2d1f79d4-8a59-47cf-b434-2b8155de99e2_646x458.png 848w, https://substackcdn.com/image/fetch/$s_!lJfJ!,w_1272,c_limit,f_auto,q_auto:good,fl_progressive:steep/https%3A%2F%2Fsubstack-post-media.s3.amazonaws.com%2Fpublic%2Fimages%2F2d1f79d4-8a59-47cf-b434-2b8155de99e2_646x458.png 1272w, https://substackcdn.com/image/fetch/$s_!lJfJ!,w_1456,c_limit,f_auto,q_auto:good,fl_progressive:steep/https%3A%2F%2Fsubstack-post-media.s3.amazonaws.com%2Fpublic%2Fimages%2F2d1f79d4-8a59-47cf-b434-2b8155de99e2_646x458.png 1456w" sizes="100vw" loading="lazy"></picture><div class="image-link-expand"><div class="pencraft pc-display-flex pc-gap-8 pc-reset"><button tabindex="0" type="button" class="pencraft pc-reset pencraft icon-container restack-image"><svg role="img" width="20" height="20" viewBox="0 0 20 20" fill="none" stroke-width="1.5" stroke="var(--color-fg-primary)" stroke-linecap="round" stroke-linejoin="round" xmlns="http://www.w3.org/2000/svg"><g><title></title><path d="M2.53001 7.81595C3.49179 4.73911 6.43281 2.5 9.91173 2.5C13.1684 2.5 15.9537 4.46214 17.0852 7.23684L17.6179 8.67647M17.6179 8.67647L18.5002 4.26471M17.6179 8.67647L13.6473 6.91176M17.4995 12.1841C16.5378 15.2609 13.5967 17.5 10.1178 17.5C6.86118 17.5 4.07589 15.5379 2.94432 12.7632L2.41165 11.3235M2.41165 11.3235L1.5293 15.7353M2.41165 11.3235L6.38224 13.0882"></path></g></svg></button><button tabindex="0" type="button" class="pencraft pc-reset pencraft icon-container view-image"><svg xmlns="http://www.w3.org/2000/svg" width="20" height="20" viewBox="0 0 24 24" fill="none" stroke="currentColor" stroke-width="2" stroke-linecap="round" stroke-linejoin="round" class="lucide lucide-maximize2 lucide-maximize-2"><polyline points="15 3 21 3 21 9"></polyline><polyline points="9 21 3 21 3 15"></polyline><line x1="21" x2="14" y1="3" y2="10"></line><line x1="3" x2="10" y1="21" y2="14"></line></svg></button></div></div></div></a></figure></div><h3><strong>Key Takeaways:</strong></h3><ul><li><p><strong>Lower Tb</strong> &#8594; Better cold resistance.</p></li><li><p><strong>Higher Ea</strong> &#8594; More thermal stability at high temperatures.</p></li></ul><p><strong>Fluoropolymers</strong> are among the best for <strong>extreme environments</strong>, while <strong>acrylic and epoxy</strong> are <strong>prone to brittleness</strong> in cold conditions.</p><div><hr></div><h3><strong>Detailed Overview of Overjacket Materials</strong></h3><h4><strong>Fluoropolymers</strong></h4><ul><li><p><strong>Properties:</strong> Exceptional chemical and UV resistance, high-temperature tolerance.</p></li><li><p><strong>Applications:</strong> Ideal for chemical plants and environments with exposure to harsh chemicals and UV radiation.</p></li></ul><div class="captioned-image-container"><figure><a class="image-link image2" target="_blank" href="https://substackcdn.com/image/fetch/$s_!1XQa!,f_auto,q_auto:good,fl_progressive:steep/https%3A%2F%2Fsubstack-post-media.s3.amazonaws.com%2Fpublic%2Fimages%2F7c44049b-bea2-4c78-9ecf-ebb9dc42392f_386x289.jpeg" data-component-name="Image2ToDOM"><div class="image2-inset"><picture><source type="image/webp" srcset="https://substackcdn.com/image/fetch/$s_!1XQa!,w_424,c_limit,f_webp,q_auto:good,fl_progressive:steep/https%3A%2F%2Fsubstack-post-media.s3.amazonaws.com%2Fpublic%2Fimages%2F7c44049b-bea2-4c78-9ecf-ebb9dc42392f_386x289.jpeg 424w, https://substackcdn.com/image/fetch/$s_!1XQa!,w_848,c_limit,f_webp,q_auto:good,fl_progressive:steep/https%3A%2F%2Fsubstack-post-media.s3.amazonaws.com%2Fpublic%2Fimages%2F7c44049b-bea2-4c78-9ecf-ebb9dc42392f_386x289.jpeg 848w, https://substackcdn.com/image/fetch/$s_!1XQa!,w_1272,c_limit,f_webp,q_auto:good,fl_progressive:steep/https%3A%2F%2Fsubstack-post-media.s3.amazonaws.com%2Fpublic%2Fimages%2F7c44049b-bea2-4c78-9ecf-ebb9dc42392f_386x289.jpeg 1272w, https://substackcdn.com/image/fetch/$s_!1XQa!,w_1456,c_limit,f_webp,q_auto:good,fl_progressive:steep/https%3A%2F%2Fsubstack-post-media.s3.amazonaws.com%2Fpublic%2Fimages%2F7c44049b-bea2-4c78-9ecf-ebb9dc42392f_386x289.jpeg 1456w" sizes="100vw"><img src="https://substackcdn.com/image/fetch/$s_!1XQa!,w_1456,c_limit,f_auto,q_auto:good,fl_progressive:steep/https%3A%2F%2Fsubstack-post-media.s3.amazonaws.com%2Fpublic%2Fimages%2F7c44049b-bea2-4c78-9ecf-ebb9dc42392f_386x289.jpeg" width="288" height="215.62694300518135" data-attrs="{&quot;src&quot;:&quot;https://substack-post-media.s3.amazonaws.com/public/images/7c44049b-bea2-4c78-9ecf-ebb9dc42392f_386x289.jpeg&quot;,&quot;srcNoWatermark&quot;:null,&quot;fullscreen&quot;:null,&quot;imageSize&quot;:null,&quot;height&quot;:289,&quot;width&quot;:386,&quot;resizeWidth&quot;:288,&quot;bytes&quot;:17208,&quot;alt&quot;:null,&quot;title&quot;:null,&quot;type&quot;:&quot;image/jpeg&quot;,&quot;href&quot;:null,&quot;belowTheFold&quot;:true,&quot;topImage&quot;:false,&quot;internalRedirect&quot;:&quot;https://www.precisionnewsletter.com/i/158872056?img=https%3A%2F%2Fsubstack-post-media.s3.amazonaws.com%2Fpublic%2Fimages%2F7c44049b-bea2-4c78-9ecf-ebb9dc42392f_386x289.jpeg&quot;,&quot;isProcessing&quot;:false,&quot;align&quot;:null,&quot;offset&quot;:false}" class="sizing-normal" alt="" srcset="https://substackcdn.com/image/fetch/$s_!1XQa!,w_424,c_limit,f_auto,q_auto:good,fl_progressive:steep/https%3A%2F%2Fsubstack-post-media.s3.amazonaws.com%2Fpublic%2Fimages%2F7c44049b-bea2-4c78-9ecf-ebb9dc42392f_386x289.jpeg 424w, https://substackcdn.com/image/fetch/$s_!1XQa!,w_848,c_limit,f_auto,q_auto:good,fl_progressive:steep/https%3A%2F%2Fsubstack-post-media.s3.amazonaws.com%2Fpublic%2Fimages%2F7c44049b-bea2-4c78-9ecf-ebb9dc42392f_386x289.jpeg 848w, https://substackcdn.com/image/fetch/$s_!1XQa!,w_1272,c_limit,f_auto,q_auto:good,fl_progressive:steep/https%3A%2F%2Fsubstack-post-media.s3.amazonaws.com%2Fpublic%2Fimages%2F7c44049b-bea2-4c78-9ecf-ebb9dc42392f_386x289.jpeg 1272w, https://substackcdn.com/image/fetch/$s_!1XQa!,w_1456,c_limit,f_auto,q_auto:good,fl_progressive:steep/https%3A%2F%2Fsubstack-post-media.s3.amazonaws.com%2Fpublic%2Fimages%2F7c44049b-bea2-4c78-9ecf-ebb9dc42392f_386x289.jpeg 1456w" sizes="100vw" loading="lazy"></picture><div></div></div></a><figcaption class="image-caption"><em>Fluoropolymer (or &#8220;Teflon&#8221; by DuPont) Outer Jacketed Self-Regulating Cables</em></figcaption></figure></div><h4><strong>Silicon Rubber</strong></h4><ul><li><p><strong>Properties:</strong> Excellent flexibility, heat resistance, and electrical insulation.</p></li><li><p><strong>Applications:</strong> Used in high-temperature environments and where flexibility is crucial.</p></li></ul><div class="captioned-image-container"><figure><a class="image-link image2" target="_blank" href="https://substackcdn.com/image/fetch/$s_!SPPX!,f_auto,q_auto:good,fl_progressive:steep/https%3A%2F%2Fsubstack-post-media.s3.amazonaws.com%2Fpublic%2Fimages%2F74673dd3-7f7c-49ce-acb5-b70d56dea855_332x310.jpeg" data-component-name="Image2ToDOM"><div class="image2-inset"><picture><source type="image/webp" srcset="https://substackcdn.com/image/fetch/$s_!SPPX!,w_424,c_limit,f_webp,q_auto:good,fl_progressive:steep/https%3A%2F%2Fsubstack-post-media.s3.amazonaws.com%2Fpublic%2Fimages%2F74673dd3-7f7c-49ce-acb5-b70d56dea855_332x310.jpeg 424w, https://substackcdn.com/image/fetch/$s_!SPPX!,w_848,c_limit,f_webp,q_auto:good,fl_progressive:steep/https%3A%2F%2Fsubstack-post-media.s3.amazonaws.com%2Fpublic%2Fimages%2F74673dd3-7f7c-49ce-acb5-b70d56dea855_332x310.jpeg 848w, https://substackcdn.com/image/fetch/$s_!SPPX!,w_1272,c_limit,f_webp,q_auto:good,fl_progressive:steep/https%3A%2F%2Fsubstack-post-media.s3.amazonaws.com%2Fpublic%2Fimages%2F74673dd3-7f7c-49ce-acb5-b70d56dea855_332x310.jpeg 1272w, https://substackcdn.com/image/fetch/$s_!SPPX!,w_1456,c_limit,f_webp,q_auto:good,fl_progressive:steep/https%3A%2F%2Fsubstack-post-media.s3.amazonaws.com%2Fpublic%2Fimages%2F74673dd3-7f7c-49ce-acb5-b70d56dea855_332x310.jpeg 1456w" sizes="100vw"><img src="https://substackcdn.com/image/fetch/$s_!SPPX!,w_1456,c_limit,f_auto,q_auto:good,fl_progressive:steep/https%3A%2F%2Fsubstack-post-media.s3.amazonaws.com%2Fpublic%2Fimages%2F74673dd3-7f7c-49ce-acb5-b70d56dea855_332x310.jpeg" width="242" height="225.96385542168676" data-attrs="{&quot;src&quot;:&quot;https://substack-post-media.s3.amazonaws.com/public/images/74673dd3-7f7c-49ce-acb5-b70d56dea855_332x310.jpeg&quot;,&quot;srcNoWatermark&quot;:null,&quot;fullscreen&quot;:null,&quot;imageSize&quot;:null,&quot;height&quot;:310,&quot;width&quot;:332,&quot;resizeWidth&quot;:242,&quot;bytes&quot;:18990,&quot;alt&quot;:null,&quot;title&quot;:null,&quot;type&quot;:&quot;image/jpeg&quot;,&quot;href&quot;:null,&quot;belowTheFold&quot;:true,&quot;topImage&quot;:false,&quot;internalRedirect&quot;:&quot;https://www.precisionnewsletter.com/i/158872056?img=https%3A%2F%2Fsubstack-post-media.s3.amazonaws.com%2Fpublic%2Fimages%2F74673dd3-7f7c-49ce-acb5-b70d56dea855_332x310.jpeg&quot;,&quot;isProcessing&quot;:false,&quot;align&quot;:null,&quot;offset&quot;:false}" class="sizing-normal" alt="" srcset="https://substackcdn.com/image/fetch/$s_!SPPX!,w_424,c_limit,f_auto,q_auto:good,fl_progressive:steep/https%3A%2F%2Fsubstack-post-media.s3.amazonaws.com%2Fpublic%2Fimages%2F74673dd3-7f7c-49ce-acb5-b70d56dea855_332x310.jpeg 424w, https://substackcdn.com/image/fetch/$s_!SPPX!,w_848,c_limit,f_auto,q_auto:good,fl_progressive:steep/https%3A%2F%2Fsubstack-post-media.s3.amazonaws.com%2Fpublic%2Fimages%2F74673dd3-7f7c-49ce-acb5-b70d56dea855_332x310.jpeg 848w, https://substackcdn.com/image/fetch/$s_!SPPX!,w_1272,c_limit,f_auto,q_auto:good,fl_progressive:steep/https%3A%2F%2Fsubstack-post-media.s3.amazonaws.com%2Fpublic%2Fimages%2F74673dd3-7f7c-49ce-acb5-b70d56dea855_332x310.jpeg 1272w, https://substackcdn.com/image/fetch/$s_!SPPX!,w_1456,c_limit,f_auto,q_auto:good,fl_progressive:steep/https%3A%2F%2Fsubstack-post-media.s3.amazonaws.com%2Fpublic%2Fimages%2F74673dd3-7f7c-49ce-acb5-b70d56dea855_332x310.jpeg 1456w" sizes="100vw" loading="lazy"></picture><div></div></div></a><figcaption class="image-caption"><em>Silicone Electric Heating Pipe Heat Trace Cable for Roof Defrost</em></figcaption></figure></div><h4><strong>Cross-linked Polyethylene (XLPE)</strong></h4><ul><li><p><strong>Properties:</strong> High mechanical strength, good thermal resistance, and excellent electrical properties.</p></li><li><p><strong>Applications:</strong> Suitable for environments requiring mechanical durability and thermal stability.</p></li></ul><div class="captioned-image-container"><figure><a class="image-link image2" target="_blank" href="https://substackcdn.com/image/fetch/$s_!3byE!,f_auto,q_auto:good,fl_progressive:steep/https%3A%2F%2Fsubstack-post-media.s3.amazonaws.com%2Fpublic%2Fimages%2Facf316bc-4a33-468b-a66b-24d5472122f8_688x292.jpeg" data-component-name="Image2ToDOM"><div class="image2-inset"><picture><source type="image/webp" srcset="https://substackcdn.com/image/fetch/$s_!3byE!,w_424,c_limit,f_webp,q_auto:good,fl_progressive:steep/https%3A%2F%2Fsubstack-post-media.s3.amazonaws.com%2Fpublic%2Fimages%2Facf316bc-4a33-468b-a66b-24d5472122f8_688x292.jpeg 424w, https://substackcdn.com/image/fetch/$s_!3byE!,w_848,c_limit,f_webp,q_auto:good,fl_progressive:steep/https%3A%2F%2Fsubstack-post-media.s3.amazonaws.com%2Fpublic%2Fimages%2Facf316bc-4a33-468b-a66b-24d5472122f8_688x292.jpeg 848w, https://substackcdn.com/image/fetch/$s_!3byE!,w_1272,c_limit,f_webp,q_auto:good,fl_progressive:steep/https%3A%2F%2Fsubstack-post-media.s3.amazonaws.com%2Fpublic%2Fimages%2Facf316bc-4a33-468b-a66b-24d5472122f8_688x292.jpeg 1272w, https://substackcdn.com/image/fetch/$s_!3byE!,w_1456,c_limit,f_webp,q_auto:good,fl_progressive:steep/https%3A%2F%2Fsubstack-post-media.s3.amazonaws.com%2Fpublic%2Fimages%2Facf316bc-4a33-468b-a66b-24d5472122f8_688x292.jpeg 1456w" sizes="100vw"><img src="https://substackcdn.com/image/fetch/$s_!3byE!,w_1456,c_limit,f_auto,q_auto:good,fl_progressive:steep/https%3A%2F%2Fsubstack-post-media.s3.amazonaws.com%2Fpublic%2Fimages%2Facf316bc-4a33-468b-a66b-24d5472122f8_688x292.jpeg" width="364" height="154.48837209302326" data-attrs="{&quot;src&quot;:&quot;https://substack-post-media.s3.amazonaws.com/public/images/acf316bc-4a33-468b-a66b-24d5472122f8_688x292.jpeg&quot;,&quot;srcNoWatermark&quot;:null,&quot;fullscreen&quot;:null,&quot;imageSize&quot;:null,&quot;height&quot;:292,&quot;width&quot;:688,&quot;resizeWidth&quot;:364,&quot;bytes&quot;:32835,&quot;alt&quot;:null,&quot;title&quot;:null,&quot;type&quot;:&quot;image/jpeg&quot;,&quot;href&quot;:null,&quot;belowTheFold&quot;:true,&quot;topImage&quot;:false,&quot;internalRedirect&quot;:&quot;https://www.precisionnewsletter.com/i/158872056?img=https%3A%2F%2Fsubstack-post-media.s3.amazonaws.com%2Fpublic%2Fimages%2Facf316bc-4a33-468b-a66b-24d5472122f8_688x292.jpeg&quot;,&quot;isProcessing&quot;:false,&quot;align&quot;:null,&quot;offset&quot;:false}" class="sizing-normal" alt="" srcset="https://substackcdn.com/image/fetch/$s_!3byE!,w_424,c_limit,f_auto,q_auto:good,fl_progressive:steep/https%3A%2F%2Fsubstack-post-media.s3.amazonaws.com%2Fpublic%2Fimages%2Facf316bc-4a33-468b-a66b-24d5472122f8_688x292.jpeg 424w, https://substackcdn.com/image/fetch/$s_!3byE!,w_848,c_limit,f_auto,q_auto:good,fl_progressive:steep/https%3A%2F%2Fsubstack-post-media.s3.amazonaws.com%2Fpublic%2Fimages%2Facf316bc-4a33-468b-a66b-24d5472122f8_688x292.jpeg 848w, https://substackcdn.com/image/fetch/$s_!3byE!,w_1272,c_limit,f_auto,q_auto:good,fl_progressive:steep/https%3A%2F%2Fsubstack-post-media.s3.amazonaws.com%2Fpublic%2Fimages%2Facf316bc-4a33-468b-a66b-24d5472122f8_688x292.jpeg 1272w, https://substackcdn.com/image/fetch/$s_!3byE!,w_1456,c_limit,f_auto,q_auto:good,fl_progressive:steep/https%3A%2F%2Fsubstack-post-media.s3.amazonaws.com%2Fpublic%2Fimages%2Facf316bc-4a33-468b-a66b-24d5472122f8_688x292.jpeg 1456w" sizes="100vw" loading="lazy"></picture><div></div></div></a></figure></div><h4><strong>Polyamide</strong></h4><blockquote><ul><li><p> <strong>Properties:</strong> High mechanical strength, wear resistance, and moderate chemical resistance.</p></li><li><p> <strong>Applications:</strong> Used in industrial settings requiring abrasion resistance and durability.</p></li></ul><div class="captioned-image-container"><figure><a class="image-link image2" target="_blank" href="https://substackcdn.com/image/fetch/$s_!3hs1!,f_auto,q_auto:good,fl_progressive:steep/https%3A%2F%2Fsubstack-post-media.s3.amazonaws.com%2Fpublic%2Fimages%2Fc5de9cee-2317-40d2-be69-9513c05923b6_162x163.jpeg" data-component-name="Image2ToDOM"><div class="image2-inset"><picture><source type="image/webp" srcset="https://substackcdn.com/image/fetch/$s_!3hs1!,w_424,c_limit,f_webp,q_auto:good,fl_progressive:steep/https%3A%2F%2Fsubstack-post-media.s3.amazonaws.com%2Fpublic%2Fimages%2Fc5de9cee-2317-40d2-be69-9513c05923b6_162x163.jpeg 424w, https://substackcdn.com/image/fetch/$s_!3hs1!,w_848,c_limit,f_webp,q_auto:good,fl_progressive:steep/https%3A%2F%2Fsubstack-post-media.s3.amazonaws.com%2Fpublic%2Fimages%2Fc5de9cee-2317-40d2-be69-9513c05923b6_162x163.jpeg 848w, https://substackcdn.com/image/fetch/$s_!3hs1!,w_1272,c_limit,f_webp,q_auto:good,fl_progressive:steep/https%3A%2F%2Fsubstack-post-media.s3.amazonaws.com%2Fpublic%2Fimages%2Fc5de9cee-2317-40d2-be69-9513c05923b6_162x163.jpeg 1272w, https://substackcdn.com/image/fetch/$s_!3hs1!,w_1456,c_limit,f_webp,q_auto:good,fl_progressive:steep/https%3A%2F%2Fsubstack-post-media.s3.amazonaws.com%2Fpublic%2Fimages%2Fc5de9cee-2317-40d2-be69-9513c05923b6_162x163.jpeg 1456w" sizes="100vw"><img src="https://substackcdn.com/image/fetch/$s_!3hs1!,w_1456,c_limit,f_auto,q_auto:good,fl_progressive:steep/https%3A%2F%2Fsubstack-post-media.s3.amazonaws.com%2Fpublic%2Fimages%2Fc5de9cee-2317-40d2-be69-9513c05923b6_162x163.jpeg" width="180" height="181.11111111111111" data-attrs="{&quot;src&quot;:&quot;https://substack-post-media.s3.amazonaws.com/public/images/c5de9cee-2317-40d2-be69-9513c05923b6_162x163.jpeg&quot;,&quot;srcNoWatermark&quot;:null,&quot;fullscreen&quot;:null,&quot;imageSize&quot;:null,&quot;height&quot;:163,&quot;width&quot;:162,&quot;resizeWidth&quot;:180,&quot;bytes&quot;:5986,&quot;alt&quot;:null,&quot;title&quot;:null,&quot;type&quot;:&quot;image/jpeg&quot;,&quot;href&quot;:null,&quot;belowTheFold&quot;:true,&quot;topImage&quot;:false,&quot;internalRedirect&quot;:&quot;https://www.precisionnewsletter.com/i/158872056?img=https%3A%2F%2Fsubstack-post-media.s3.amazonaws.com%2Fpublic%2Fimages%2Fc5de9cee-2317-40d2-be69-9513c05923b6_162x163.jpeg&quot;,&quot;isProcessing&quot;:false,&quot;align&quot;:null,&quot;offset&quot;:false}" class="sizing-normal" alt="" srcset="https://substackcdn.com/image/fetch/$s_!3hs1!,w_424,c_limit,f_auto,q_auto:good,fl_progressive:steep/https%3A%2F%2Fsubstack-post-media.s3.amazonaws.com%2Fpublic%2Fimages%2Fc5de9cee-2317-40d2-be69-9513c05923b6_162x163.jpeg 424w, https://substackcdn.com/image/fetch/$s_!3hs1!,w_848,c_limit,f_auto,q_auto:good,fl_progressive:steep/https%3A%2F%2Fsubstack-post-media.s3.amazonaws.com%2Fpublic%2Fimages%2Fc5de9cee-2317-40d2-be69-9513c05923b6_162x163.jpeg 848w, https://substackcdn.com/image/fetch/$s_!3hs1!,w_1272,c_limit,f_auto,q_auto:good,fl_progressive:steep/https%3A%2F%2Fsubstack-post-media.s3.amazonaws.com%2Fpublic%2Fimages%2Fc5de9cee-2317-40d2-be69-9513c05923b6_162x163.jpeg 1272w, https://substackcdn.com/image/fetch/$s_!3hs1!,w_1456,c_limit,f_auto,q_auto:good,fl_progressive:steep/https%3A%2F%2Fsubstack-post-media.s3.amazonaws.com%2Fpublic%2Fimages%2Fc5de9cee-2317-40d2-be69-9513c05923b6_162x163.jpeg 1456w" sizes="100vw" loading="lazy"></picture><div></div></div></a><figcaption class="image-caption"><em>Polyamide</em></figcaption></figure></div></blockquote><ul><li><p><strong>Thermoplastic Elastomers</strong></p><p><strong>Properties:</strong> Flexible, impact-resistant, and moderately resistant to chemicals and heat.</p><p><strong>Applications:</strong> Common in installations needing flexibility and moderate environmental resistance.</p></li></ul><blockquote><div class="captioned-image-container"><figure><a class="image-link image2" target="_blank" href="https://substackcdn.com/image/fetch/$s_!kFZZ!,f_auto,q_auto:good,fl_progressive:steep/https%3A%2F%2Fsubstack-post-media.s3.amazonaws.com%2Fpublic%2Fimages%2Fa4d6ac40-0d10-45b6-9931-a071f6f46ee9_146x146.jpeg" data-component-name="Image2ToDOM"><div class="image2-inset"><picture><source type="image/webp" srcset="https://substackcdn.com/image/fetch/$s_!kFZZ!,w_424,c_limit,f_webp,q_auto:good,fl_progressive:steep/https%3A%2F%2Fsubstack-post-media.s3.amazonaws.com%2Fpublic%2Fimages%2Fa4d6ac40-0d10-45b6-9931-a071f6f46ee9_146x146.jpeg 424w, https://substackcdn.com/image/fetch/$s_!kFZZ!,w_848,c_limit,f_webp,q_auto:good,fl_progressive:steep/https%3A%2F%2Fsubstack-post-media.s3.amazonaws.com%2Fpublic%2Fimages%2Fa4d6ac40-0d10-45b6-9931-a071f6f46ee9_146x146.jpeg 848w, https://substackcdn.com/image/fetch/$s_!kFZZ!,w_1272,c_limit,f_webp,q_auto:good,fl_progressive:steep/https%3A%2F%2Fsubstack-post-media.s3.amazonaws.com%2Fpublic%2Fimages%2Fa4d6ac40-0d10-45b6-9931-a071f6f46ee9_146x146.jpeg 1272w, https://substackcdn.com/image/fetch/$s_!kFZZ!,w_1456,c_limit,f_webp,q_auto:good,fl_progressive:steep/https%3A%2F%2Fsubstack-post-media.s3.amazonaws.com%2Fpublic%2Fimages%2Fa4d6ac40-0d10-45b6-9931-a071f6f46ee9_146x146.jpeg 1456w" sizes="100vw"><img src="https://substackcdn.com/image/fetch/$s_!kFZZ!,w_1456,c_limit,f_auto,q_auto:good,fl_progressive:steep/https%3A%2F%2Fsubstack-post-media.s3.amazonaws.com%2Fpublic%2Fimages%2Fa4d6ac40-0d10-45b6-9931-a071f6f46ee9_146x146.jpeg" width="146" height="146" data-attrs="{&quot;src&quot;:&quot;https://substack-post-media.s3.amazonaws.com/public/images/a4d6ac40-0d10-45b6-9931-a071f6f46ee9_146x146.jpeg&quot;,&quot;srcNoWatermark&quot;:null,&quot;fullscreen&quot;:null,&quot;imageSize&quot;:null,&quot;height&quot;:146,&quot;width&quot;:146,&quot;resizeWidth&quot;:null,&quot;bytes&quot;:5445,&quot;alt&quot;:null,&quot;title&quot;:null,&quot;type&quot;:&quot;image/jpeg&quot;,&quot;href&quot;:null,&quot;belowTheFold&quot;:true,&quot;topImage&quot;:false,&quot;internalRedirect&quot;:&quot;https://www.precisionnewsletter.com/i/158872056?img=https%3A%2F%2Fsubstack-post-media.s3.amazonaws.com%2Fpublic%2Fimages%2Fa4d6ac40-0d10-45b6-9931-a071f6f46ee9_146x146.jpeg&quot;,&quot;isProcessing&quot;:false,&quot;align&quot;:null,&quot;offset&quot;:false}" class="sizing-normal" alt="" srcset="https://substackcdn.com/image/fetch/$s_!kFZZ!,w_424,c_limit,f_auto,q_auto:good,fl_progressive:steep/https%3A%2F%2Fsubstack-post-media.s3.amazonaws.com%2Fpublic%2Fimages%2Fa4d6ac40-0d10-45b6-9931-a071f6f46ee9_146x146.jpeg 424w, https://substackcdn.com/image/fetch/$s_!kFZZ!,w_848,c_limit,f_auto,q_auto:good,fl_progressive:steep/https%3A%2F%2Fsubstack-post-media.s3.amazonaws.com%2Fpublic%2Fimages%2Fa4d6ac40-0d10-45b6-9931-a071f6f46ee9_146x146.jpeg 848w, https://substackcdn.com/image/fetch/$s_!kFZZ!,w_1272,c_limit,f_auto,q_auto:good,fl_progressive:steep/https%3A%2F%2Fsubstack-post-media.s3.amazonaws.com%2Fpublic%2Fimages%2Fa4d6ac40-0d10-45b6-9931-a071f6f46ee9_146x146.jpeg 1272w, https://substackcdn.com/image/fetch/$s_!kFZZ!,w_1456,c_limit,f_auto,q_auto:good,fl_progressive:steep/https%3A%2F%2Fsubstack-post-media.s3.amazonaws.com%2Fpublic%2Fimages%2Fa4d6ac40-0d10-45b6-9931-a071f6f46ee9_146x146.jpeg 1456w" sizes="100vw" loading="lazy"></picture><div></div></div></a><figcaption class="image-caption"><em>Thermoplastic Elastomers</em></figcaption></figure></div></blockquote><ul><li><p><strong>EPDM (Ethylene Propylene Diene Monomer)</strong></p><p><strong>Properties:</strong> Excellent weather, UV, and ozone resistance with moderate heat resistance.</p><p><strong>Applications:</strong> Used in outdoor installations exposed to weathering.</p></li></ul><blockquote><div class="captioned-image-container"><figure><a class="image-link image2" target="_blank" href="https://substackcdn.com/image/fetch/$s_!gpLG!,f_auto,q_auto:good,fl_progressive:steep/https%3A%2F%2Fsubstack-post-media.s3.amazonaws.com%2Fpublic%2Fimages%2F6daeab8a-c027-4977-b054-94f6556af7c2_243x138.jpeg" data-component-name="Image2ToDOM"><div class="image2-inset"><picture><source type="image/webp" srcset="https://substackcdn.com/image/fetch/$s_!gpLG!,w_424,c_limit,f_webp,q_auto:good,fl_progressive:steep/https%3A%2F%2Fsubstack-post-media.s3.amazonaws.com%2Fpublic%2Fimages%2F6daeab8a-c027-4977-b054-94f6556af7c2_243x138.jpeg 424w, https://substackcdn.com/image/fetch/$s_!gpLG!,w_848,c_limit,f_webp,q_auto:good,fl_progressive:steep/https%3A%2F%2Fsubstack-post-media.s3.amazonaws.com%2Fpublic%2Fimages%2F6daeab8a-c027-4977-b054-94f6556af7c2_243x138.jpeg 848w, https://substackcdn.com/image/fetch/$s_!gpLG!,w_1272,c_limit,f_webp,q_auto:good,fl_progressive:steep/https%3A%2F%2Fsubstack-post-media.s3.amazonaws.com%2Fpublic%2Fimages%2F6daeab8a-c027-4977-b054-94f6556af7c2_243x138.jpeg 1272w, https://substackcdn.com/image/fetch/$s_!gpLG!,w_1456,c_limit,f_webp,q_auto:good,fl_progressive:steep/https%3A%2F%2Fsubstack-post-media.s3.amazonaws.com%2Fpublic%2Fimages%2F6daeab8a-c027-4977-b054-94f6556af7c2_243x138.jpeg 1456w" sizes="100vw"><img src="https://substackcdn.com/image/fetch/$s_!gpLG!,w_1456,c_limit,f_auto,q_auto:good,fl_progressive:steep/https%3A%2F%2Fsubstack-post-media.s3.amazonaws.com%2Fpublic%2Fimages%2F6daeab8a-c027-4977-b054-94f6556af7c2_243x138.jpeg" width="243" height="138" data-attrs="{&quot;src&quot;:&quot;https://substack-post-media.s3.amazonaws.com/public/images/6daeab8a-c027-4977-b054-94f6556af7c2_243x138.jpeg&quot;,&quot;srcNoWatermark&quot;:null,&quot;fullscreen&quot;:null,&quot;imageSize&quot;:null,&quot;height&quot;:138,&quot;width&quot;:243,&quot;resizeWidth&quot;:null,&quot;bytes&quot;:7657,&quot;alt&quot;:null,&quot;title&quot;:null,&quot;type&quot;:&quot;image/jpeg&quot;,&quot;href&quot;:null,&quot;belowTheFold&quot;:true,&quot;topImage&quot;:false,&quot;internalRedirect&quot;:&quot;https://www.precisionnewsletter.com/i/158872056?img=https%3A%2F%2Fsubstack-post-media.s3.amazonaws.com%2Fpublic%2Fimages%2F6daeab8a-c027-4977-b054-94f6556af7c2_243x138.jpeg&quot;,&quot;isProcessing&quot;:false,&quot;align&quot;:null,&quot;offset&quot;:false}" class="sizing-normal" alt="" srcset="https://substackcdn.com/image/fetch/$s_!gpLG!,w_424,c_limit,f_auto,q_auto:good,fl_progressive:steep/https%3A%2F%2Fsubstack-post-media.s3.amazonaws.com%2Fpublic%2Fimages%2F6daeab8a-c027-4977-b054-94f6556af7c2_243x138.jpeg 424w, https://substackcdn.com/image/fetch/$s_!gpLG!,w_848,c_limit,f_auto,q_auto:good,fl_progressive:steep/https%3A%2F%2Fsubstack-post-media.s3.amazonaws.com%2Fpublic%2Fimages%2F6daeab8a-c027-4977-b054-94f6556af7c2_243x138.jpeg 848w, https://substackcdn.com/image/fetch/$s_!gpLG!,w_1272,c_limit,f_auto,q_auto:good,fl_progressive:steep/https%3A%2F%2Fsubstack-post-media.s3.amazonaws.com%2Fpublic%2Fimages%2F6daeab8a-c027-4977-b054-94f6556af7c2_243x138.jpeg 1272w, https://substackcdn.com/image/fetch/$s_!gpLG!,w_1456,c_limit,f_auto,q_auto:good,fl_progressive:steep/https%3A%2F%2Fsubstack-post-media.s3.amazonaws.com%2Fpublic%2Fimages%2F6daeab8a-c027-4977-b054-94f6556af7c2_243x138.jpeg 1456w" sizes="100vw" loading="lazy"></picture><div></div></div></a><figcaption class="image-caption"><em>EPDM (Ethylene Propylene Diene Monomer)</em></figcaption></figure></div></blockquote><ul><li><p><strong>Polyolefin</strong></p><p><strong>Properties:</strong> Lightweight, durable, and resistant to a range of chemicals.</p><p><strong>Applications:</strong> Suitable for general-purpose applications with moderate environmental exposure.</p></li></ul><blockquote><div class="captioned-image-container"><figure><a class="image-link image2" target="_blank" href="https://substackcdn.com/image/fetch/$s_!tZ3x!,f_auto,q_auto:good,fl_progressive:steep/https%3A%2F%2Fsubstack-post-media.s3.amazonaws.com%2Fpublic%2Fimages%2Fc1da3465-7b0d-437e-b1f9-06673ca8924c_483x330.jpeg" data-component-name="Image2ToDOM"><div class="image2-inset"><picture><source type="image/webp" srcset="https://substackcdn.com/image/fetch/$s_!tZ3x!,w_424,c_limit,f_webp,q_auto:good,fl_progressive:steep/https%3A%2F%2Fsubstack-post-media.s3.amazonaws.com%2Fpublic%2Fimages%2Fc1da3465-7b0d-437e-b1f9-06673ca8924c_483x330.jpeg 424w, https://substackcdn.com/image/fetch/$s_!tZ3x!,w_848,c_limit,f_webp,q_auto:good,fl_progressive:steep/https%3A%2F%2Fsubstack-post-media.s3.amazonaws.com%2Fpublic%2Fimages%2Fc1da3465-7b0d-437e-b1f9-06673ca8924c_483x330.jpeg 848w, https://substackcdn.com/image/fetch/$s_!tZ3x!,w_1272,c_limit,f_webp,q_auto:good,fl_progressive:steep/https%3A%2F%2Fsubstack-post-media.s3.amazonaws.com%2Fpublic%2Fimages%2Fc1da3465-7b0d-437e-b1f9-06673ca8924c_483x330.jpeg 1272w, https://substackcdn.com/image/fetch/$s_!tZ3x!,w_1456,c_limit,f_webp,q_auto:good,fl_progressive:steep/https%3A%2F%2Fsubstack-post-media.s3.amazonaws.com%2Fpublic%2Fimages%2Fc1da3465-7b0d-437e-b1f9-06673ca8924c_483x330.jpeg 1456w" sizes="100vw"><img src="https://substackcdn.com/image/fetch/$s_!tZ3x!,w_1456,c_limit,f_auto,q_auto:good,fl_progressive:steep/https%3A%2F%2Fsubstack-post-media.s3.amazonaws.com%2Fpublic%2Fimages%2Fc1da3465-7b0d-437e-b1f9-06673ca8924c_483x330.jpeg" width="299" height="204.28571428571428" data-attrs="{&quot;src&quot;:&quot;https://substack-post-media.s3.amazonaws.com/public/images/c1da3465-7b0d-437e-b1f9-06673ca8924c_483x330.jpeg&quot;,&quot;srcNoWatermark&quot;:null,&quot;fullscreen&quot;:null,&quot;imageSize&quot;:null,&quot;height&quot;:330,&quot;width&quot;:483,&quot;resizeWidth&quot;:299,&quot;bytes&quot;:30239,&quot;alt&quot;:null,&quot;title&quot;:null,&quot;type&quot;:&quot;image/jpeg&quot;,&quot;href&quot;:null,&quot;belowTheFold&quot;:true,&quot;topImage&quot;:false,&quot;internalRedirect&quot;:&quot;https://www.precisionnewsletter.com/i/158872056?img=https%3A%2F%2Fsubstack-post-media.s3.amazonaws.com%2Fpublic%2Fimages%2Fc1da3465-7b0d-437e-b1f9-06673ca8924c_483x330.jpeg&quot;,&quot;isProcessing&quot;:false,&quot;align&quot;:null,&quot;offset&quot;:false}" class="sizing-normal" alt="" srcset="https://substackcdn.com/image/fetch/$s_!tZ3x!,w_424,c_limit,f_auto,q_auto:good,fl_progressive:steep/https%3A%2F%2Fsubstack-post-media.s3.amazonaws.com%2Fpublic%2Fimages%2Fc1da3465-7b0d-437e-b1f9-06673ca8924c_483x330.jpeg 424w, https://substackcdn.com/image/fetch/$s_!tZ3x!,w_848,c_limit,f_auto,q_auto:good,fl_progressive:steep/https%3A%2F%2Fsubstack-post-media.s3.amazonaws.com%2Fpublic%2Fimages%2Fc1da3465-7b0d-437e-b1f9-06673ca8924c_483x330.jpeg 848w, https://substackcdn.com/image/fetch/$s_!tZ3x!,w_1272,c_limit,f_auto,q_auto:good,fl_progressive:steep/https%3A%2F%2Fsubstack-post-media.s3.amazonaws.com%2Fpublic%2Fimages%2Fc1da3465-7b0d-437e-b1f9-06673ca8924c_483x330.jpeg 1272w, https://substackcdn.com/image/fetch/$s_!tZ3x!,w_1456,c_limit,f_auto,q_auto:good,fl_progressive:steep/https%3A%2F%2Fsubstack-post-media.s3.amazonaws.com%2Fpublic%2Fimages%2Fc1da3465-7b0d-437e-b1f9-06673ca8924c_483x330.jpeg 1456w" sizes="100vw" loading="lazy"></picture><div></div></div></a><figcaption class="image-caption"><em>Polyolefin</em></figcaption></figure></div><h4><strong>Polypropylene (PP)</strong></h4><ul><li><p><strong>Properties:</strong> Good chemical resistance, lightweight, and rigid.</p></li><li><p><strong>Applications:</strong> Used in low-temperature environments with moderate chemical exposure.</p></li></ul><div class="captioned-image-container"><figure><a class="image-link image2" target="_blank" href="https://substackcdn.com/image/fetch/$s_!RaE8!,f_auto,q_auto:good,fl_progressive:steep/https%3A%2F%2Fsubstack-post-media.s3.amazonaws.com%2Fpublic%2Fimages%2F34f05418-e9d7-4c67-8d4b-ea46f3ab72f0_550x313.jpeg" data-component-name="Image2ToDOM"><div class="image2-inset"><picture><source type="image/webp" srcset="https://substackcdn.com/image/fetch/$s_!RaE8!,w_424,c_limit,f_webp,q_auto:good,fl_progressive:steep/https%3A%2F%2Fsubstack-post-media.s3.amazonaws.com%2Fpublic%2Fimages%2F34f05418-e9d7-4c67-8d4b-ea46f3ab72f0_550x313.jpeg 424w, https://substackcdn.com/image/fetch/$s_!RaE8!,w_848,c_limit,f_webp,q_auto:good,fl_progressive:steep/https%3A%2F%2Fsubstack-post-media.s3.amazonaws.com%2Fpublic%2Fimages%2F34f05418-e9d7-4c67-8d4b-ea46f3ab72f0_550x313.jpeg 848w, https://substackcdn.com/image/fetch/$s_!RaE8!,w_1272,c_limit,f_webp,q_auto:good,fl_progressive:steep/https%3A%2F%2Fsubstack-post-media.s3.amazonaws.com%2Fpublic%2Fimages%2F34f05418-e9d7-4c67-8d4b-ea46f3ab72f0_550x313.jpeg 1272w, https://substackcdn.com/image/fetch/$s_!RaE8!,w_1456,c_limit,f_webp,q_auto:good,fl_progressive:steep/https%3A%2F%2Fsubstack-post-media.s3.amazonaws.com%2Fpublic%2Fimages%2F34f05418-e9d7-4c67-8d4b-ea46f3ab72f0_550x313.jpeg 1456w" sizes="100vw"><img src="https://substackcdn.com/image/fetch/$s_!RaE8!,w_1456,c_limit,f_auto,q_auto:good,fl_progressive:steep/https%3A%2F%2Fsubstack-post-media.s3.amazonaws.com%2Fpublic%2Fimages%2F34f05418-e9d7-4c67-8d4b-ea46f3ab72f0_550x313.jpeg" width="300" height="170.72727272727272" data-attrs="{&quot;src&quot;:&quot;https://substack-post-media.s3.amazonaws.com/public/images/34f05418-e9d7-4c67-8d4b-ea46f3ab72f0_550x313.jpeg&quot;,&quot;srcNoWatermark&quot;:null,&quot;fullscreen&quot;:null,&quot;imageSize&quot;:null,&quot;height&quot;:313,&quot;width&quot;:550,&quot;resizeWidth&quot;:300,&quot;bytes&quot;:31496,&quot;alt&quot;:null,&quot;title&quot;:null,&quot;type&quot;:&quot;image/jpeg&quot;,&quot;href&quot;:null,&quot;belowTheFold&quot;:true,&quot;topImage&quot;:false,&quot;internalRedirect&quot;:&quot;https://www.precisionnewsletter.com/i/158872056?img=https%3A%2F%2Fsubstack-post-media.s3.amazonaws.com%2Fpublic%2Fimages%2F34f05418-e9d7-4c67-8d4b-ea46f3ab72f0_550x313.jpeg&quot;,&quot;isProcessing&quot;:false,&quot;align&quot;:null,&quot;offset&quot;:false}" class="sizing-normal" alt="" srcset="https://substackcdn.com/image/fetch/$s_!RaE8!,w_424,c_limit,f_auto,q_auto:good,fl_progressive:steep/https%3A%2F%2Fsubstack-post-media.s3.amazonaws.com%2Fpublic%2Fimages%2F34f05418-e9d7-4c67-8d4b-ea46f3ab72f0_550x313.jpeg 424w, https://substackcdn.com/image/fetch/$s_!RaE8!,w_848,c_limit,f_auto,q_auto:good,fl_progressive:steep/https%3A%2F%2Fsubstack-post-media.s3.amazonaws.com%2Fpublic%2Fimages%2F34f05418-e9d7-4c67-8d4b-ea46f3ab72f0_550x313.jpeg 848w, https://substackcdn.com/image/fetch/$s_!RaE8!,w_1272,c_limit,f_auto,q_auto:good,fl_progressive:steep/https%3A%2F%2Fsubstack-post-media.s3.amazonaws.com%2Fpublic%2Fimages%2F34f05418-e9d7-4c67-8d4b-ea46f3ab72f0_550x313.jpeg 1272w, https://substackcdn.com/image/fetch/$s_!RaE8!,w_1456,c_limit,f_auto,q_auto:good,fl_progressive:steep/https%3A%2F%2Fsubstack-post-media.s3.amazonaws.com%2Fpublic%2Fimages%2F34f05418-e9d7-4c67-8d4b-ea46f3ab72f0_550x313.jpeg 1456w" sizes="100vw" loading="lazy"></picture><div></div></div></a><figcaption class="image-caption"><em>Polypropylene</em></figcaption></figure></div></blockquote><ul><li><p><strong>Polyethylene (PE)</strong></p><p><strong>Properties:</strong> Excellent UV resistance, lightweight, and flexible.</p><p><strong>Applications:</strong> Common in outdoor pipelines and areas with UV exposure.</p></li></ul><blockquote><div class="captioned-image-container"><figure><a class="image-link image2" target="_blank" href="https://substackcdn.com/image/fetch/$s_!gsyX!,f_auto,q_auto:good,fl_progressive:steep/https%3A%2F%2Fsubstack-post-media.s3.amazonaws.com%2Fpublic%2Fimages%2F8612e2ac-f6ee-4a07-aeaa-893a75d5325c_161x117.jpeg" data-component-name="Image2ToDOM"><div class="image2-inset"><picture><source type="image/webp" srcset="https://substackcdn.com/image/fetch/$s_!gsyX!,w_424,c_limit,f_webp,q_auto:good,fl_progressive:steep/https%3A%2F%2Fsubstack-post-media.s3.amazonaws.com%2Fpublic%2Fimages%2F8612e2ac-f6ee-4a07-aeaa-893a75d5325c_161x117.jpeg 424w, https://substackcdn.com/image/fetch/$s_!gsyX!,w_848,c_limit,f_webp,q_auto:good,fl_progressive:steep/https%3A%2F%2Fsubstack-post-media.s3.amazonaws.com%2Fpublic%2Fimages%2F8612e2ac-f6ee-4a07-aeaa-893a75d5325c_161x117.jpeg 848w, https://substackcdn.com/image/fetch/$s_!gsyX!,w_1272,c_limit,f_webp,q_auto:good,fl_progressive:steep/https%3A%2F%2Fsubstack-post-media.s3.amazonaws.com%2Fpublic%2Fimages%2F8612e2ac-f6ee-4a07-aeaa-893a75d5325c_161x117.jpeg 1272w, https://substackcdn.com/image/fetch/$s_!gsyX!,w_1456,c_limit,f_webp,q_auto:good,fl_progressive:steep/https%3A%2F%2Fsubstack-post-media.s3.amazonaws.com%2Fpublic%2Fimages%2F8612e2ac-f6ee-4a07-aeaa-893a75d5325c_161x117.jpeg 1456w" sizes="100vw"><img src="https://substackcdn.com/image/fetch/$s_!gsyX!,w_1456,c_limit,f_auto,q_auto:good,fl_progressive:steep/https%3A%2F%2Fsubstack-post-media.s3.amazonaws.com%2Fpublic%2Fimages%2F8612e2ac-f6ee-4a07-aeaa-893a75d5325c_161x117.jpeg" width="161" height="117" data-attrs="{&quot;src&quot;:&quot;https://substack-post-media.s3.amazonaws.com/public/images/8612e2ac-f6ee-4a07-aeaa-893a75d5325c_161x117.jpeg&quot;,&quot;srcNoWatermark&quot;:null,&quot;fullscreen&quot;:null,&quot;imageSize&quot;:null,&quot;height&quot;:117,&quot;width&quot;:161,&quot;resizeWidth&quot;:null,&quot;bytes&quot;:6937,&quot;alt&quot;:null,&quot;title&quot;:null,&quot;type&quot;:&quot;image/jpeg&quot;,&quot;href&quot;:null,&quot;belowTheFold&quot;:true,&quot;topImage&quot;:false,&quot;internalRedirect&quot;:&quot;https://www.precisionnewsletter.com/i/158872056?img=https%3A%2F%2Fsubstack-post-media.s3.amazonaws.com%2Fpublic%2Fimages%2F8612e2ac-f6ee-4a07-aeaa-893a75d5325c_161x117.jpeg&quot;,&quot;isProcessing&quot;:false,&quot;align&quot;:null,&quot;offset&quot;:false}" class="sizing-normal" alt="" srcset="https://substackcdn.com/image/fetch/$s_!gsyX!,w_424,c_limit,f_auto,q_auto:good,fl_progressive:steep/https%3A%2F%2Fsubstack-post-media.s3.amazonaws.com%2Fpublic%2Fimages%2F8612e2ac-f6ee-4a07-aeaa-893a75d5325c_161x117.jpeg 424w, https://substackcdn.com/image/fetch/$s_!gsyX!,w_848,c_limit,f_auto,q_auto:good,fl_progressive:steep/https%3A%2F%2Fsubstack-post-media.s3.amazonaws.com%2Fpublic%2Fimages%2F8612e2ac-f6ee-4a07-aeaa-893a75d5325c_161x117.jpeg 848w, https://substackcdn.com/image/fetch/$s_!gsyX!,w_1272,c_limit,f_auto,q_auto:good,fl_progressive:steep/https%3A%2F%2Fsubstack-post-media.s3.amazonaws.com%2Fpublic%2Fimages%2F8612e2ac-f6ee-4a07-aeaa-893a75d5325c_161x117.jpeg 1272w, https://substackcdn.com/image/fetch/$s_!gsyX!,w_1456,c_limit,f_auto,q_auto:good,fl_progressive:steep/https%3A%2F%2Fsubstack-post-media.s3.amazonaws.com%2Fpublic%2Fimages%2F8612e2ac-f6ee-4a07-aeaa-893a75d5325c_161x117.jpeg 1456w" sizes="100vw" loading="lazy"></picture><div></div></div></a><figcaption class="image-caption"><em>Polyethylene</em></figcaption></figure></div></blockquote><ul><li><p><strong>Polyvinyl Chloride (PVC)</strong></p><p><strong>Properties:</strong> Good chemical resistance, moderate UV resistance, and high mechanical strength.</p><p><strong>Applications:</strong> Frequently used in commercial buildings and moderate industrial settings.</p></li></ul><blockquote><div class="captioned-image-container"><figure><a class="image-link image2" target="_blank" href="https://substackcdn.com/image/fetch/$s_!u-e8!,f_auto,q_auto:good,fl_progressive:steep/https%3A%2F%2Fsubstack-post-media.s3.amazonaws.com%2Fpublic%2Fimages%2F176d4404-dee4-40fb-b793-206c5726aecf_210x141.jpeg" data-component-name="Image2ToDOM"><div class="image2-inset"><picture><source type="image/webp" srcset="https://substackcdn.com/image/fetch/$s_!u-e8!,w_424,c_limit,f_webp,q_auto:good,fl_progressive:steep/https%3A%2F%2Fsubstack-post-media.s3.amazonaws.com%2Fpublic%2Fimages%2F176d4404-dee4-40fb-b793-206c5726aecf_210x141.jpeg 424w, https://substackcdn.com/image/fetch/$s_!u-e8!,w_848,c_limit,f_webp,q_auto:good,fl_progressive:steep/https%3A%2F%2Fsubstack-post-media.s3.amazonaws.com%2Fpublic%2Fimages%2F176d4404-dee4-40fb-b793-206c5726aecf_210x141.jpeg 848w, https://substackcdn.com/image/fetch/$s_!u-e8!,w_1272,c_limit,f_webp,q_auto:good,fl_progressive:steep/https%3A%2F%2Fsubstack-post-media.s3.amazonaws.com%2Fpublic%2Fimages%2F176d4404-dee4-40fb-b793-206c5726aecf_210x141.jpeg 1272w, https://substackcdn.com/image/fetch/$s_!u-e8!,w_1456,c_limit,f_webp,q_auto:good,fl_progressive:steep/https%3A%2F%2Fsubstack-post-media.s3.amazonaws.com%2Fpublic%2Fimages%2F176d4404-dee4-40fb-b793-206c5726aecf_210x141.jpeg 1456w" sizes="100vw"><img src="https://substackcdn.com/image/fetch/$s_!u-e8!,w_1456,c_limit,f_auto,q_auto:good,fl_progressive:steep/https%3A%2F%2Fsubstack-post-media.s3.amazonaws.com%2Fpublic%2Fimages%2F176d4404-dee4-40fb-b793-206c5726aecf_210x141.jpeg" width="210" height="141" data-attrs="{&quot;src&quot;:&quot;https://substack-post-media.s3.amazonaws.com/public/images/176d4404-dee4-40fb-b793-206c5726aecf_210x141.jpeg&quot;,&quot;srcNoWatermark&quot;:null,&quot;fullscreen&quot;:null,&quot;imageSize&quot;:null,&quot;height&quot;:141,&quot;width&quot;:210,&quot;resizeWidth&quot;:null,&quot;bytes&quot;:9800,&quot;alt&quot;:null,&quot;title&quot;:null,&quot;type&quot;:&quot;image/jpeg&quot;,&quot;href&quot;:null,&quot;belowTheFold&quot;:true,&quot;topImage&quot;:false,&quot;internalRedirect&quot;:&quot;https://www.precisionnewsletter.com/i/158872056?img=https%3A%2F%2Fsubstack-post-media.s3.amazonaws.com%2Fpublic%2Fimages%2F176d4404-dee4-40fb-b793-206c5726aecf_210x141.jpeg&quot;,&quot;isProcessing&quot;:false,&quot;align&quot;:null,&quot;offset&quot;:false}" class="sizing-normal" alt="" srcset="https://substackcdn.com/image/fetch/$s_!u-e8!,w_424,c_limit,f_auto,q_auto:good,fl_progressive:steep/https%3A%2F%2Fsubstack-post-media.s3.amazonaws.com%2Fpublic%2Fimages%2F176d4404-dee4-40fb-b793-206c5726aecf_210x141.jpeg 424w, https://substackcdn.com/image/fetch/$s_!u-e8!,w_848,c_limit,f_auto,q_auto:good,fl_progressive:steep/https%3A%2F%2Fsubstack-post-media.s3.amazonaws.com%2Fpublic%2Fimages%2F176d4404-dee4-40fb-b793-206c5726aecf_210x141.jpeg 848w, https://substackcdn.com/image/fetch/$s_!u-e8!,w_1272,c_limit,f_auto,q_auto:good,fl_progressive:steep/https%3A%2F%2Fsubstack-post-media.s3.amazonaws.com%2Fpublic%2Fimages%2F176d4404-dee4-40fb-b793-206c5726aecf_210x141.jpeg 1272w, https://substackcdn.com/image/fetch/$s_!u-e8!,w_1456,c_limit,f_auto,q_auto:good,fl_progressive:steep/https%3A%2F%2Fsubstack-post-media.s3.amazonaws.com%2Fpublic%2Fimages%2F176d4404-dee4-40fb-b793-206c5726aecf_210x141.jpeg 1456w" sizes="100vw" loading="lazy"></picture><div></div></div></a><figcaption class="image-caption"><em>Polyvinyl Chloride (PVC)</em></figcaption></figure></div><div><hr></div><div class="captioned-image-container"><figure><a class="image-link image2 is-viewable-img" target="_blank" href="https://substackcdn.com/image/fetch/$s_!L6vj!,f_auto,q_auto:good,fl_progressive:steep/https%3A%2F%2Fsubstack-post-media.s3.amazonaws.com%2Fpublic%2Fimages%2F68d49e9e-9c58-4114-83cb-b3b41342d0d6_649x506.png" data-component-name="Image2ToDOM"><div class="image2-inset"><picture><source type="image/webp" srcset="https://substackcdn.com/image/fetch/$s_!L6vj!,w_424,c_limit,f_webp,q_auto:good,fl_progressive:steep/https%3A%2F%2Fsubstack-post-media.s3.amazonaws.com%2Fpublic%2Fimages%2F68d49e9e-9c58-4114-83cb-b3b41342d0d6_649x506.png 424w, https://substackcdn.com/image/fetch/$s_!L6vj!,w_848,c_limit,f_webp,q_auto:good,fl_progressive:steep/https%3A%2F%2Fsubstack-post-media.s3.amazonaws.com%2Fpublic%2Fimages%2F68d49e9e-9c58-4114-83cb-b3b41342d0d6_649x506.png 848w, https://substackcdn.com/image/fetch/$s_!L6vj!,w_1272,c_limit,f_webp,q_auto:good,fl_progressive:steep/https%3A%2F%2Fsubstack-post-media.s3.amazonaws.com%2Fpublic%2Fimages%2F68d49e9e-9c58-4114-83cb-b3b41342d0d6_649x506.png 1272w, https://substackcdn.com/image/fetch/$s_!L6vj!,w_1456,c_limit,f_webp,q_auto:good,fl_progressive:steep/https%3A%2F%2Fsubstack-post-media.s3.amazonaws.com%2Fpublic%2Fimages%2F68d49e9e-9c58-4114-83cb-b3b41342d0d6_649x506.png 1456w" sizes="100vw"><img src="https://substackcdn.com/image/fetch/$s_!L6vj!,w_1456,c_limit,f_auto,q_auto:good,fl_progressive:steep/https%3A%2F%2Fsubstack-post-media.s3.amazonaws.com%2Fpublic%2Fimages%2F68d49e9e-9c58-4114-83cb-b3b41342d0d6_649x506.png" width="649" height="506" data-attrs="{&quot;src&quot;:&quot;https://substack-post-media.s3.amazonaws.com/public/images/68d49e9e-9c58-4114-83cb-b3b41342d0d6_649x506.png&quot;,&quot;srcNoWatermark&quot;:null,&quot;fullscreen&quot;:null,&quot;imageSize&quot;:null,&quot;height&quot;:506,&quot;width&quot;:649,&quot;resizeWidth&quot;:null,&quot;bytes&quot;:44991,&quot;alt&quot;:null,&quot;title&quot;:null,&quot;type&quot;:&quot;image/png&quot;,&quot;href&quot;:null,&quot;belowTheFold&quot;:true,&quot;topImage&quot;:false,&quot;internalRedirect&quot;:&quot;https://www.precisionnewsletter.com/i/158872056?img=https%3A%2F%2Fsubstack-post-media.s3.amazonaws.com%2Fpublic%2Fimages%2F68d49e9e-9c58-4114-83cb-b3b41342d0d6_649x506.png&quot;,&quot;isProcessing&quot;:false,&quot;align&quot;:null,&quot;offset&quot;:false}" class="sizing-normal" alt="" srcset="https://substackcdn.com/image/fetch/$s_!L6vj!,w_424,c_limit,f_auto,q_auto:good,fl_progressive:steep/https%3A%2F%2Fsubstack-post-media.s3.amazonaws.com%2Fpublic%2Fimages%2F68d49e9e-9c58-4114-83cb-b3b41342d0d6_649x506.png 424w, https://substackcdn.com/image/fetch/$s_!L6vj!,w_848,c_limit,f_auto,q_auto:good,fl_progressive:steep/https%3A%2F%2Fsubstack-post-media.s3.amazonaws.com%2Fpublic%2Fimages%2F68d49e9e-9c58-4114-83cb-b3b41342d0d6_649x506.png 848w, https://substackcdn.com/image/fetch/$s_!L6vj!,w_1272,c_limit,f_auto,q_auto:good,fl_progressive:steep/https%3A%2F%2Fsubstack-post-media.s3.amazonaws.com%2Fpublic%2Fimages%2F68d49e9e-9c58-4114-83cb-b3b41342d0d6_649x506.png 1272w, https://substackcdn.com/image/fetch/$s_!L6vj!,w_1456,c_limit,f_auto,q_auto:good,fl_progressive:steep/https%3A%2F%2Fsubstack-post-media.s3.amazonaws.com%2Fpublic%2Fimages%2F68d49e9e-9c58-4114-83cb-b3b41342d0d6_649x506.png 1456w" sizes="100vw" loading="lazy"></picture><div class="image-link-expand"><div class="pencraft pc-display-flex pc-gap-8 pc-reset"><button tabindex="0" type="button" class="pencraft pc-reset pencraft icon-container restack-image"><svg role="img" width="20" height="20" viewBox="0 0 20 20" fill="none" stroke-width="1.5" stroke="var(--color-fg-primary)" stroke-linecap="round" stroke-linejoin="round" xmlns="http://www.w3.org/2000/svg"><g><title></title><path d="M2.53001 7.81595C3.49179 4.73911 6.43281 2.5 9.91173 2.5C13.1684 2.5 15.9537 4.46214 17.0852 7.23684L17.6179 8.67647M17.6179 8.67647L18.5002 4.26471M17.6179 8.67647L13.6473 6.91176M17.4995 12.1841C16.5378 15.2609 13.5967 17.5 10.1178 17.5C6.86118 17.5 4.07589 15.5379 2.94432 12.7632L2.41165 11.3235M2.41165 11.3235L1.5293 15.7353M2.41165 11.3235L6.38224 13.0882"></path></g></svg></button><button tabindex="0" type="button" class="pencraft pc-reset pencraft icon-container view-image"><svg xmlns="http://www.w3.org/2000/svg" width="20" height="20" viewBox="0 0 24 24" fill="none" stroke="currentColor" stroke-width="2" stroke-linecap="round" stroke-linejoin="round" class="lucide lucide-maximize2 lucide-maximize-2"><polyline points="15 3 21 3 21 9"></polyline><polyline points="9 21 3 21 3 15"></polyline><line x1="21" x2="14" y1="3" y2="10"></line><line x1="3" x2="10" y1="21" y2="14"></line></svg></button></div></div></div></a></figure></div><div><hr></div><h4><strong>Applications of Overjackets in Electrical Heat Tracing</strong></h4></blockquote><h4><strong>Industrial Settings</strong></h4><blockquote><p>Overjackets in industrial environments protect cables from exposure to corrosive chemicals and mechanical damage. For example, fluoropolymer overjackets are commonly used in chemical processing plants due to their high resistance to aggressive chemicals.</p></blockquote><h4><strong>Commercial Buildings</strong></h4><blockquote><p>In commercial applications, such as freeze protection for pipes, PVC overjackets provide an economical solution with adequate resistance to moisture and moderate environmental stress.</p></blockquote><h4><strong>Outdoor Installations</strong></h4><blockquote><p>Outdoor installations demand materials with excellent UV resistance and durability. Polyethylene overjackets are often used for heat tracing systems in outdoor pipelines and storage tanks.</p><h3><strong>Conclusion</strong></h3><p>Overjackets play a vital role in electrical heat tracing systems by protecting cables from environmental and operational challenges. Selecting the appropriate material based on the application's specific requirements ensures optimal performance and extends the lifespan of the system. Future advancements in material technology may further enhance the durability and efficiency of overjackets, contributing to the reliability of heat tracing systems in even more demanding conditions.</p></blockquote><div class="subscription-widget-wrap-editor" data-attrs="{&quot;url&quot;:&quot;https://www.precisionnewsletter.com/subscribe?&quot;,&quot;text&quot;:&quot;Subscribe&quot;,&quot;language&quot;:&quot;en&quot;}" data-component-name="SubscribeWidgetToDOM"><div class="subscription-widget show-subscribe"><div class="preamble"><p class="cta-caption">Thanks for reading Precision Newsletter! Subscribe for free to receive new posts and support my work.</p></div><form class="subscription-widget-subscribe"><input type="email" class="email-input" name="email" placeholder="Type your email&#8230;" tabindex="-1"><input type="submit" class="button primary" value="Subscribe"><div class="fake-input-wrapper"><div class="fake-input"></div><div class="fake-button"></div></div></form></div></div>]]></content:encoded></item><item><title><![CDATA[Self-Healing Materials for Long-Life Heat Tracing Systems]]></title><description><![CDATA[Heat tracing systems are crucial for maintaining process temperatures, preventing pipe freezing, and ensuring efficient industrial operations in various sectors, including oil and gas, chemical processing, and food production.]]></description><link>https://www.precisionnewsletter.com/p/self-healing-materials-for-long-life</link><guid isPermaLink="false">https://www.precisionnewsletter.com/p/self-healing-materials-for-long-life</guid><dc:creator><![CDATA[Jinwook Jung]]></dc:creator><pubDate>Tue, 11 Mar 2025 20:07:26 GMT</pubDate><enclosure url="https://substack-post-media.s3.amazonaws.com/public/images/bc3ec421-35f2-4ee5-9290-2f8cef1ea115_1792x1344.jpeg" length="0" type="image/jpeg"/><content:encoded><![CDATA[<p>Heat tracing systems are crucial for maintaining process temperatures, preventing pipe freezing, and ensuring efficient industrial operations in various sectors, including oil and gas, chemical processing, and food production. However, traditional heat tracing systems often face durability challenges, especially in harsh environments. Enter self-healing materials&#8212;a ground-breaking innovation designed to extend the lifespan of heat tracing systems while reducing maintenance costs and improving overall reliability.</p><h2>Abstract</h2><p>Self-healing materials represent a transformative advancement in the durability and efficiency of heat tracing systems, which are vital across industries such as oil and gas, chemical processing, and food production. These materials autonomously repair damage, addressing common challenges like mechanical wear, thermal cycling, and corrosion, thereby extending system lifespan and reducing maintenance costs. This article explores the mechanisms, types, and benefits of self-healing materials, emphasizing their role in enhancing safety, sustainability, and performance. With applications ranging from pipelines to chemical plants, the integration of self-healing technologies signifies a paradigm shift in industrial practices, offering promising future trends such as nanotechnology and smart systems. Investing in these innovations ensures long-term operational efficiency and environmental responsibility.</p><div class="subscription-widget-wrap-editor" data-attrs="{&quot;url&quot;:&quot;https://www.precisionnewsletter.com/subscribe?&quot;,&quot;text&quot;:&quot;Subscribe&quot;,&quot;language&quot;:&quot;en&quot;}" data-component-name="SubscribeWidgetToDOM"><div class="subscription-widget show-subscribe"><div class="preamble"><p class="cta-caption">Thanks for reading Precision Newsletter! Subscribe for free to receive new posts and support my work.</p></div><form class="subscription-widget-subscribe"><input type="email" class="email-input" name="email" placeholder="Type your email&#8230;" tabindex="-1"><input type="submit" class="button primary" value="Subscribe"><div class="fake-input-wrapper"><div class="fake-input"></div><div class="fake-button"></div></div></form></div></div><div class="captioned-image-container"><figure><a class="image-link image2 is-viewable-img" target="_blank" href="https://substackcdn.com/image/fetch/$s_!MO0m!,f_auto,q_auto:good,fl_progressive:steep/https%3A%2F%2Fsubstack-post-media.s3.amazonaws.com%2Fpublic%2Fimages%2F23c3991c-3dcd-48f1-82f9-89db46d7c985_312x255.jpeg" data-component-name="Image2ToDOM"><div class="image2-inset"><picture><source type="image/webp" srcset="https://substackcdn.com/image/fetch/$s_!MO0m!,w_424,c_limit,f_webp,q_auto:good,fl_progressive:steep/https%3A%2F%2Fsubstack-post-media.s3.amazonaws.com%2Fpublic%2Fimages%2F23c3991c-3dcd-48f1-82f9-89db46d7c985_312x255.jpeg 424w, https://substackcdn.com/image/fetch/$s_!MO0m!,w_848,c_limit,f_webp,q_auto:good,fl_progressive:steep/https%3A%2F%2Fsubstack-post-media.s3.amazonaws.com%2Fpublic%2Fimages%2F23c3991c-3dcd-48f1-82f9-89db46d7c985_312x255.jpeg 848w, https://substackcdn.com/image/fetch/$s_!MO0m!,w_1272,c_limit,f_webp,q_auto:good,fl_progressive:steep/https%3A%2F%2Fsubstack-post-media.s3.amazonaws.com%2Fpublic%2Fimages%2F23c3991c-3dcd-48f1-82f9-89db46d7c985_312x255.jpeg 1272w, https://substackcdn.com/image/fetch/$s_!MO0m!,w_1456,c_limit,f_webp,q_auto:good,fl_progressive:steep/https%3A%2F%2Fsubstack-post-media.s3.amazonaws.com%2Fpublic%2Fimages%2F23c3991c-3dcd-48f1-82f9-89db46d7c985_312x255.jpeg 1456w" sizes="100vw"><img src="https://substackcdn.com/image/fetch/$s_!MO0m!,w_1456,c_limit,f_auto,q_auto:good,fl_progressive:steep/https%3A%2F%2Fsubstack-post-media.s3.amazonaws.com%2Fpublic%2Fimages%2F23c3991c-3dcd-48f1-82f9-89db46d7c985_312x255.jpeg" width="312" height="255" data-attrs="{&quot;src&quot;:&quot;https://substack-post-media.s3.amazonaws.com/public/images/23c3991c-3dcd-48f1-82f9-89db46d7c985_312x255.jpeg&quot;,&quot;srcNoWatermark&quot;:null,&quot;fullscreen&quot;:null,&quot;imageSize&quot;:null,&quot;height&quot;:255,&quot;width&quot;:312,&quot;resizeWidth&quot;:null,&quot;bytes&quot;:15751,&quot;alt&quot;:null,&quot;title&quot;:null,&quot;type&quot;:&quot;image/jpeg&quot;,&quot;href&quot;:null,&quot;belowTheFold&quot;:false,&quot;topImage&quot;:true,&quot;internalRedirect&quot;:&quot;https://www.precisionnewsletter.com/i/158861664?img=https%3A%2F%2Fsubstack-post-media.s3.amazonaws.com%2Fpublic%2Fimages%2F23c3991c-3dcd-48f1-82f9-89db46d7c985_312x255.jpeg&quot;,&quot;isProcessing&quot;:false,&quot;align&quot;:null,&quot;offset&quot;:false}" class="sizing-normal" alt="" srcset="https://substackcdn.com/image/fetch/$s_!MO0m!,w_424,c_limit,f_auto,q_auto:good,fl_progressive:steep/https%3A%2F%2Fsubstack-post-media.s3.amazonaws.com%2Fpublic%2Fimages%2F23c3991c-3dcd-48f1-82f9-89db46d7c985_312x255.jpeg 424w, https://substackcdn.com/image/fetch/$s_!MO0m!,w_848,c_limit,f_auto,q_auto:good,fl_progressive:steep/https%3A%2F%2Fsubstack-post-media.s3.amazonaws.com%2Fpublic%2Fimages%2F23c3991c-3dcd-48f1-82f9-89db46d7c985_312x255.jpeg 848w, https://substackcdn.com/image/fetch/$s_!MO0m!,w_1272,c_limit,f_auto,q_auto:good,fl_progressive:steep/https%3A%2F%2Fsubstack-post-media.s3.amazonaws.com%2Fpublic%2Fimages%2F23c3991c-3dcd-48f1-82f9-89db46d7c985_312x255.jpeg 1272w, https://substackcdn.com/image/fetch/$s_!MO0m!,w_1456,c_limit,f_auto,q_auto:good,fl_progressive:steep/https%3A%2F%2Fsubstack-post-media.s3.amazonaws.com%2Fpublic%2Fimages%2F23c3991c-3dcd-48f1-82f9-89db46d7c985_312x255.jpeg 1456w" sizes="100vw" fetchpriority="high"></picture><div class="image-link-expand"><div class="pencraft pc-display-flex pc-gap-8 pc-reset"><button tabindex="0" type="button" class="pencraft pc-reset pencraft icon-container restack-image"><svg role="img" width="20" height="20" viewBox="0 0 20 20" fill="none" stroke-width="1.5" stroke="var(--color-fg-primary)" stroke-linecap="round" stroke-linejoin="round" xmlns="http://www.w3.org/2000/svg"><g><title></title><path d="M2.53001 7.81595C3.49179 4.73911 6.43281 2.5 9.91173 2.5C13.1684 2.5 15.9537 4.46214 17.0852 7.23684L17.6179 8.67647M17.6179 8.67647L18.5002 4.26471M17.6179 8.67647L13.6473 6.91176M17.4995 12.1841C16.5378 15.2609 13.5967 17.5 10.1178 17.5C6.86118 17.5 4.07589 15.5379 2.94432 12.7632L2.41165 11.3235M2.41165 11.3235L1.5293 15.7353M2.41165 11.3235L6.38224 13.0882"></path></g></svg></button><button tabindex="0" type="button" class="pencraft pc-reset pencraft icon-container view-image"><svg xmlns="http://www.w3.org/2000/svg" width="20" height="20" viewBox="0 0 24 24" fill="none" stroke="currentColor" stroke-width="2" stroke-linecap="round" stroke-linejoin="round" class="lucide lucide-maximize2 lucide-maximize-2"><polyline points="15 3 21 3 21 9"></polyline><polyline points="9 21 3 21 3 15"></polyline><line x1="21" x2="14" y1="3" y2="10"></line><line x1="3" x2="10" y1="21" y2="14"></line></svg></button></div></div></div></a></figure></div><p></p><h3><strong>What Are Self-Healing Materials?</strong></h3><p>Self-healing materials are advanced composites or coatings engineered to repair damage autonomously without human intervention. These materials mimic biological systems, such as human skin, which can regenerate and repair itself after an injury. By embedding microcapsules, dynamic bonds, or vascular networks into the material, self-healing technology activates when damage occurs, effectively restoring the material&#8217;s integrity. An example of a self-healing material is <strong>polymer-based coatings with embedded microcapsules containing healing agents</strong>. In <strong>electrical heat tracing (EHT) systems</strong>, such materials can be used in <strong>protective cable jackets or insulation coatings</strong>, enhancing durability by automatically repairing minor cracks or abrasions that could lead to system failure over time.</p><h4><strong>Self-Healing Materials: Enhancing the Reliability of Electrical Heat Tracing Systems</strong></h4><p>Self-healing materials offer a transformative approach to improving the reliability and longevity of electrical heat tracing systems. These innovative materials possess the inherent ability to automatically repair damage, reducing maintenance costs and downtime. The self-healing principle, inspired by biological repair mechanisms, generally involves a multi-stage process tailored for the demands of heat tracing applications:</p><ol><li><p><strong>Damage Detection:</strong> In the context of heat tracing, damage might include cracks in the protective jacketing, degradation of insulation, or even minor breaks in the heating element itself. The self-healing mechanism is triggered by this damage. For instance, changes in temperature or electrical conductivity could signal damage.</p></li><li><p><strong>Healing Agent Release/Activation:</strong> Once damage is detected, the healing process is initiated. This could involve the release of a conductive or insulating healing agent to the site of the damage. For example, microcapsules embedded within the jacketing could rupture and release a polymer to seal a crack, protecting the underlying insulation and heating element. In other cases, the damage itself might trigger a chemical reaction in the material, activating the healing process.</p></li><li><p><strong>Repair Process:</strong> The released or activated healing agent then undertakes the repair. For conductive materials used in the heating element, this might involve bridging a small break to restore electrical conductivity. For jacketing or insulation, the healing agent might fill cracks, seal breaches, and restore the protective barrier against moisture and other environmental factors that could compromise the heat tracing system's performance.</p></li><li><p><strong>Restoration:</strong> The final stage sees the damaged area restored. While perfect restoration isn't always achievable, the goal is to regain functionality and prevent further degradation. This could mean restoring the thermal insulation properties of the jacketing, ensuring continued electrical conductivity in the heating element, or both.</p></li></ol><h4>Several self-healing mechanisms are being explored for heat tracing applications:</h4><ul><li><p><strong>Microcapsules:</strong> As mentioned above, these can contain polymers, conductive materials, or other substances tailored to repair specific components of the heat tracing system.</p></li><li><p><strong>Vascular Networks:</strong> A network of channels within the material can contain healing agents that flow to the damaged area, particularly useful for larger-scale damage or in components like the jacketing.</p></li><li><p><strong>Chemical Reactions:</strong> Damage can trigger a chemical reaction that generates a healing agent or causes the material itself to self-repair, especially relevant for materials used in the heating element or conductive pathways.</p></li></ul><h4><strong>The Role of Self-Healing Materials in Heat Tracing Systems</strong></h4><h4><strong>Challenges in Traditional Heat Tracing Systems</strong></h4><h4>Heat tracing systems face various challenges, including:</h4><ul><li><p><strong>Mechanical Damage</strong>: Wear and tear from physical impacts or environmental factors.</p></li><li><p><strong>Thermal Cycling</strong>: Frequent temperature fluctuations can lead to material fatigue.</p></li><li><p><strong>Corrosion</strong>: Exposure to moisture, chemicals, or other corrosive agents.</p></li><li><p><strong>Maintenance Costs</strong>: Regular inspections and repairs increase operational expenses.</p></li></ul><h4><strong>How Self-Healing Materials Solve These Issues</strong></h4><ol><li><p><strong>Extending Lifespan</strong>: Repairing microcracks and preventing them from propagating.</p></li><li><p><strong>Reducing Downtime</strong>: Minimizing the need for manual repairs.</p></li><li><p><strong>Improving Safety</strong>: Maintaining system integrity even in extreme conditions.</p></li><li><p><strong>Enhancing Sustainability</strong>: Lowering material waste and energy consumption associated with repairs.</p></li></ol><div class="captioned-image-container"><figure><a class="image-link image2" target="_blank" href="https://substackcdn.com/image/fetch/$s_!PY9y!,f_auto,q_auto:good,fl_progressive:steep/https%3A%2F%2Fsubstack-post-media.s3.amazonaws.com%2Fpublic%2Fimages%2F4c6b0e0d-cbb0-402b-bca1-7caba45e5fff_349x235.jpeg" data-component-name="Image2ToDOM"><div class="image2-inset"><picture><source type="image/webp" srcset="https://substackcdn.com/image/fetch/$s_!PY9y!,w_424,c_limit,f_webp,q_auto:good,fl_progressive:steep/https%3A%2F%2Fsubstack-post-media.s3.amazonaws.com%2Fpublic%2Fimages%2F4c6b0e0d-cbb0-402b-bca1-7caba45e5fff_349x235.jpeg 424w, https://substackcdn.com/image/fetch/$s_!PY9y!,w_848,c_limit,f_webp,q_auto:good,fl_progressive:steep/https%3A%2F%2Fsubstack-post-media.s3.amazonaws.com%2Fpublic%2Fimages%2F4c6b0e0d-cbb0-402b-bca1-7caba45e5fff_349x235.jpeg 848w, https://substackcdn.com/image/fetch/$s_!PY9y!,w_1272,c_limit,f_webp,q_auto:good,fl_progressive:steep/https%3A%2F%2Fsubstack-post-media.s3.amazonaws.com%2Fpublic%2Fimages%2F4c6b0e0d-cbb0-402b-bca1-7caba45e5fff_349x235.jpeg 1272w, https://substackcdn.com/image/fetch/$s_!PY9y!,w_1456,c_limit,f_webp,q_auto:good,fl_progressive:steep/https%3A%2F%2Fsubstack-post-media.s3.amazonaws.com%2Fpublic%2Fimages%2F4c6b0e0d-cbb0-402b-bca1-7caba45e5fff_349x235.jpeg 1456w" sizes="100vw"><img src="https://substackcdn.com/image/fetch/$s_!PY9y!,w_1456,c_limit,f_auto,q_auto:good,fl_progressive:steep/https%3A%2F%2Fsubstack-post-media.s3.amazonaws.com%2Fpublic%2Fimages%2F4c6b0e0d-cbb0-402b-bca1-7caba45e5fff_349x235.jpeg" width="349" height="235" data-attrs="{&quot;src&quot;:&quot;https://substack-post-media.s3.amazonaws.com/public/images/4c6b0e0d-cbb0-402b-bca1-7caba45e5fff_349x235.jpeg&quot;,&quot;srcNoWatermark&quot;:null,&quot;fullscreen&quot;:null,&quot;imageSize&quot;:null,&quot;height&quot;:235,&quot;width&quot;:349,&quot;resizeWidth&quot;:null,&quot;bytes&quot;:14892,&quot;alt&quot;:null,&quot;title&quot;:null,&quot;type&quot;:&quot;image/jpeg&quot;,&quot;href&quot;:null,&quot;belowTheFold&quot;:true,&quot;topImage&quot;:false,&quot;internalRedirect&quot;:&quot;https://www.precisionnewsletter.com/i/158861664?img=https%3A%2F%2Fsubstack-post-media.s3.amazonaws.com%2Fpublic%2Fimages%2F4c6b0e0d-cbb0-402b-bca1-7caba45e5fff_349x235.jpeg&quot;,&quot;isProcessing&quot;:false,&quot;align&quot;:null,&quot;offset&quot;:false}" class="sizing-normal" alt="" srcset="https://substackcdn.com/image/fetch/$s_!PY9y!,w_424,c_limit,f_auto,q_auto:good,fl_progressive:steep/https%3A%2F%2Fsubstack-post-media.s3.amazonaws.com%2Fpublic%2Fimages%2F4c6b0e0d-cbb0-402b-bca1-7caba45e5fff_349x235.jpeg 424w, https://substackcdn.com/image/fetch/$s_!PY9y!,w_848,c_limit,f_auto,q_auto:good,fl_progressive:steep/https%3A%2F%2Fsubstack-post-media.s3.amazonaws.com%2Fpublic%2Fimages%2F4c6b0e0d-cbb0-402b-bca1-7caba45e5fff_349x235.jpeg 848w, https://substackcdn.com/image/fetch/$s_!PY9y!,w_1272,c_limit,f_auto,q_auto:good,fl_progressive:steep/https%3A%2F%2Fsubstack-post-media.s3.amazonaws.com%2Fpublic%2Fimages%2F4c6b0e0d-cbb0-402b-bca1-7caba45e5fff_349x235.jpeg 1272w, https://substackcdn.com/image/fetch/$s_!PY9y!,w_1456,c_limit,f_auto,q_auto:good,fl_progressive:steep/https%3A%2F%2Fsubstack-post-media.s3.amazonaws.com%2Fpublic%2Fimages%2F4c6b0e0d-cbb0-402b-bca1-7caba45e5fff_349x235.jpeg 1456w" sizes="100vw" loading="lazy"></picture><div></div></div></a></figure></div><h4><strong>Types of Self-Healing Materials for Heat Tracing Systems</strong></h4><h4><strong>Polymer-Based Materials</strong></h4><p>Polymers are widely used in heat tracing systems due to their flexibility and thermal insulation properties. Incorporating self-healing polymers ensures that cracks or abrasions are repaired automatically, maintaining the insulation's effectiveness over time.</p><h4><strong>Coatings with Microcapsules</strong></h4><p>These coatings contain microcapsules filled with healing agents. When the coating is damaged, the capsules rupture, releasing the healing agent to seal the crack and restore functionality.</p><p><strong>Metal-Based Self-Healing Alloys</strong></p><p>Metallic materials with self-healing capabilities are ideal for high-temperature applications. These alloys can repair microcracks through diffusion processes or by utilizing embedded healing agents that react under heat.</p><p>Among these materials, the <strong>specific self-healing materials used in heat tracing systems</strong> are:</p><ol><li><p><strong>Coatings with Microcapsules</strong> &#8211; These coatings are applied to <strong>heating cable jackets or protective outer layers</strong>. When the coating is scratched or damaged, embedded microcapsules rupture, releasing a polymeric healing agent that seals the breach, preventing moisture ingress and maintaining insulation integrity.</p></li><li><p><strong>Self-Healing Polymers</strong> &#8211; These materials are primarily used in <strong>insulation layers and protective sheathing</strong> of electrical heat tracing cables. They can autonomously repair minor cracks through dynamic bonding or embedded microcapsules, preventing degradation and prolonging system lifespan.</p></li></ol><p>While <strong>metal-based self-healing alloys</strong> have self-repairing capabilities, their use in electrical heat tracing is less common compared to polymer-based coatings and insulation</p><div class="captioned-image-container"><figure><a class="image-link image2 is-viewable-img" target="_blank" href="https://substackcdn.com/image/fetch/$s_!fr2g!,f_auto,q_auto:good,fl_progressive:steep/https%3A%2F%2Fsubstack-post-media.s3.amazonaws.com%2Fpublic%2Fimages%2Fcd2b402e-9282-4757-a909-3349151368c6_243x268.jpeg" data-component-name="Image2ToDOM"><div class="image2-inset"><picture><source type="image/webp" srcset="https://substackcdn.com/image/fetch/$s_!fr2g!,w_424,c_limit,f_webp,q_auto:good,fl_progressive:steep/https%3A%2F%2Fsubstack-post-media.s3.amazonaws.com%2Fpublic%2Fimages%2Fcd2b402e-9282-4757-a909-3349151368c6_243x268.jpeg 424w, https://substackcdn.com/image/fetch/$s_!fr2g!,w_848,c_limit,f_webp,q_auto:good,fl_progressive:steep/https%3A%2F%2Fsubstack-post-media.s3.amazonaws.com%2Fpublic%2Fimages%2Fcd2b402e-9282-4757-a909-3349151368c6_243x268.jpeg 848w, https://substackcdn.com/image/fetch/$s_!fr2g!,w_1272,c_limit,f_webp,q_auto:good,fl_progressive:steep/https%3A%2F%2Fsubstack-post-media.s3.amazonaws.com%2Fpublic%2Fimages%2Fcd2b402e-9282-4757-a909-3349151368c6_243x268.jpeg 1272w, https://substackcdn.com/image/fetch/$s_!fr2g!,w_1456,c_limit,f_webp,q_auto:good,fl_progressive:steep/https%3A%2F%2Fsubstack-post-media.s3.amazonaws.com%2Fpublic%2Fimages%2Fcd2b402e-9282-4757-a909-3349151368c6_243x268.jpeg 1456w" sizes="100vw"><img src="https://substackcdn.com/image/fetch/$s_!fr2g!,w_1456,c_limit,f_auto,q_auto:good,fl_progressive:steep/https%3A%2F%2Fsubstack-post-media.s3.amazonaws.com%2Fpublic%2Fimages%2Fcd2b402e-9282-4757-a909-3349151368c6_243x268.jpeg" width="243" height="268" data-attrs="{&quot;src&quot;:&quot;https://substack-post-media.s3.amazonaws.com/public/images/cd2b402e-9282-4757-a909-3349151368c6_243x268.jpeg&quot;,&quot;srcNoWatermark&quot;:null,&quot;fullscreen&quot;:null,&quot;imageSize&quot;:null,&quot;height&quot;:268,&quot;width&quot;:243,&quot;resizeWidth&quot;:null,&quot;bytes&quot;:19081,&quot;alt&quot;:null,&quot;title&quot;:null,&quot;type&quot;:&quot;image/jpeg&quot;,&quot;href&quot;:null,&quot;belowTheFold&quot;:true,&quot;topImage&quot;:false,&quot;internalRedirect&quot;:&quot;https://www.precisionnewsletter.com/i/158861664?img=https%3A%2F%2Fsubstack-post-media.s3.amazonaws.com%2Fpublic%2Fimages%2Fcd2b402e-9282-4757-a909-3349151368c6_243x268.jpeg&quot;,&quot;isProcessing&quot;:false,&quot;align&quot;:null,&quot;offset&quot;:false}" class="sizing-normal" alt="" srcset="https://substackcdn.com/image/fetch/$s_!fr2g!,w_424,c_limit,f_auto,q_auto:good,fl_progressive:steep/https%3A%2F%2Fsubstack-post-media.s3.amazonaws.com%2Fpublic%2Fimages%2Fcd2b402e-9282-4757-a909-3349151368c6_243x268.jpeg 424w, https://substackcdn.com/image/fetch/$s_!fr2g!,w_848,c_limit,f_auto,q_auto:good,fl_progressive:steep/https%3A%2F%2Fsubstack-post-media.s3.amazonaws.com%2Fpublic%2Fimages%2Fcd2b402e-9282-4757-a909-3349151368c6_243x268.jpeg 848w, https://substackcdn.com/image/fetch/$s_!fr2g!,w_1272,c_limit,f_auto,q_auto:good,fl_progressive:steep/https%3A%2F%2Fsubstack-post-media.s3.amazonaws.com%2Fpublic%2Fimages%2Fcd2b402e-9282-4757-a909-3349151368c6_243x268.jpeg 1272w, https://substackcdn.com/image/fetch/$s_!fr2g!,w_1456,c_limit,f_auto,q_auto:good,fl_progressive:steep/https%3A%2F%2Fsubstack-post-media.s3.amazonaws.com%2Fpublic%2Fimages%2Fcd2b402e-9282-4757-a909-3349151368c6_243x268.jpeg 1456w" sizes="100vw" loading="lazy"></picture><div class="image-link-expand"><div class="pencraft pc-display-flex pc-gap-8 pc-reset"><button tabindex="0" type="button" class="pencraft pc-reset pencraft icon-container restack-image"><svg role="img" width="20" height="20" viewBox="0 0 20 20" fill="none" stroke-width="1.5" stroke="var(--color-fg-primary)" stroke-linecap="round" stroke-linejoin="round" xmlns="http://www.w3.org/2000/svg"><g><title></title><path d="M2.53001 7.81595C3.49179 4.73911 6.43281 2.5 9.91173 2.5C13.1684 2.5 15.9537 4.46214 17.0852 7.23684L17.6179 8.67647M17.6179 8.67647L18.5002 4.26471M17.6179 8.67647L13.6473 6.91176M17.4995 12.1841C16.5378 15.2609 13.5967 17.5 10.1178 17.5C6.86118 17.5 4.07589 15.5379 2.94432 12.7632L2.41165 11.3235M2.41165 11.3235L1.5293 15.7353M2.41165 11.3235L6.38224 13.0882"></path></g></svg></button><button tabindex="0" type="button" class="pencraft pc-reset pencraft icon-container view-image"><svg xmlns="http://www.w3.org/2000/svg" width="20" height="20" viewBox="0 0 24 24" fill="none" stroke="currentColor" stroke-width="2" stroke-linecap="round" stroke-linejoin="round" class="lucide lucide-maximize2 lucide-maximize-2"><polyline points="15 3 21 3 21 9"></polyline><polyline points="9 21 3 21 3 15"></polyline><line x1="21" x2="14" y1="3" y2="10"></line><line x1="3" x2="10" y1="21" y2="14"></line></svg></button></div></div></div></a><figcaption class="image-caption">The image illustrates a self-healing mechanism within a polymer matrix, commonly applied in electronic applications. It depicts hollow fibers embedded in the polymer, each containing a healing agent. Upon experiencing a fracture, the hollow fibers release the healing agent into the damaged area, facilitating autonomous repair of the material. This self-healing approach is pertinent to electric heat tracing systems, where maintaining the integrity of insulating materials is crucial for consistent performance and longevity</figcaption></figure></div><h4><strong>Benefits of Self-Healing Heat Tracing Systems</strong></h4><ol><li><p><strong>Enhanced Durability</strong>: With the ability to self-repair, these systems withstand harsh environmental conditions longer than traditional materials.</p></li><li><p><strong>Cost Efficiency</strong>: Reduced maintenance needs lead to significant cost savings.</p></li><li><p><strong>Improved Performance</strong>: Continuous functionality ensures optimal heat transfer and system reliability.</p></li><li><p><strong>Environmental Impact</strong>: Fewer replacements and repairs contribute to sustainability.</p></li></ol><h4><strong>Applications of Self-Healing Heat Tracing Systems</strong></h4><p>Self-healing materials have broad applications across industries:</p><p><strong>Oil and Gas</strong></p><p>Pipelines in the oil and gas sector often operate in extreme temperatures and corrosive environments. Self-healing heat tracing systems ensure consistent performance, reducing the risk of pipeline failures and costly downtime.</p><p><strong>Chemical Processing</strong></p><p>Chemical plants require precise temperature control to maintain product quality. Self-healing materials enhance the reliability of heat tracing systems, ensuring uninterrupted operations.</p><p><strong>Food and Beverage Industry</strong></p><p>Heat tracing systems are critical for preventing frozen pipes and maintaining hygiene standards. Self-healing materials provide long-lasting solutions, minimizing disruptions in production processes.</p><div class="captioned-image-container"><figure><a class="image-link image2" target="_blank" href="https://substackcdn.com/image/fetch/$s_!rWDy!,f_auto,q_auto:good,fl_progressive:steep/https%3A%2F%2Fsubstack-post-media.s3.amazonaws.com%2Fpublic%2Fimages%2F2d692413-84a3-4d97-8d2e-51081aab5737_602x208.jpeg" data-component-name="Image2ToDOM"><div class="image2-inset"><picture><source type="image/webp" srcset="https://substackcdn.com/image/fetch/$s_!rWDy!,w_424,c_limit,f_webp,q_auto:good,fl_progressive:steep/https%3A%2F%2Fsubstack-post-media.s3.amazonaws.com%2Fpublic%2Fimages%2F2d692413-84a3-4d97-8d2e-51081aab5737_602x208.jpeg 424w, https://substackcdn.com/image/fetch/$s_!rWDy!,w_848,c_limit,f_webp,q_auto:good,fl_progressive:steep/https%3A%2F%2Fsubstack-post-media.s3.amazonaws.com%2Fpublic%2Fimages%2F2d692413-84a3-4d97-8d2e-51081aab5737_602x208.jpeg 848w, https://substackcdn.com/image/fetch/$s_!rWDy!,w_1272,c_limit,f_webp,q_auto:good,fl_progressive:steep/https%3A%2F%2Fsubstack-post-media.s3.amazonaws.com%2Fpublic%2Fimages%2F2d692413-84a3-4d97-8d2e-51081aab5737_602x208.jpeg 1272w, https://substackcdn.com/image/fetch/$s_!rWDy!,w_1456,c_limit,f_webp,q_auto:good,fl_progressive:steep/https%3A%2F%2Fsubstack-post-media.s3.amazonaws.com%2Fpublic%2Fimages%2F2d692413-84a3-4d97-8d2e-51081aab5737_602x208.jpeg 1456w" sizes="100vw"><img src="https://substackcdn.com/image/fetch/$s_!rWDy!,w_1456,c_limit,f_auto,q_auto:good,fl_progressive:steep/https%3A%2F%2Fsubstack-post-media.s3.amazonaws.com%2Fpublic%2Fimages%2F2d692413-84a3-4d97-8d2e-51081aab5737_602x208.jpeg" width="602" height="208" data-attrs="{&quot;src&quot;:&quot;https://substack-post-media.s3.amazonaws.com/public/images/2d692413-84a3-4d97-8d2e-51081aab5737_602x208.jpeg&quot;,&quot;srcNoWatermark&quot;:null,&quot;fullscreen&quot;:null,&quot;imageSize&quot;:null,&quot;height&quot;:208,&quot;width&quot;:602,&quot;resizeWidth&quot;:null,&quot;bytes&quot;:33688,&quot;alt&quot;:null,&quot;title&quot;:null,&quot;type&quot;:&quot;image/jpeg&quot;,&quot;href&quot;:null,&quot;belowTheFold&quot;:true,&quot;topImage&quot;:false,&quot;internalRedirect&quot;:&quot;https://www.precisionnewsletter.com/i/158861664?img=https%3A%2F%2Fsubstack-post-media.s3.amazonaws.com%2Fpublic%2Fimages%2F2d692413-84a3-4d97-8d2e-51081aab5737_602x208.jpeg&quot;,&quot;isProcessing&quot;:false,&quot;align&quot;:null,&quot;offset&quot;:false}" class="sizing-normal" alt="" srcset="https://substackcdn.com/image/fetch/$s_!rWDy!,w_424,c_limit,f_auto,q_auto:good,fl_progressive:steep/https%3A%2F%2Fsubstack-post-media.s3.amazonaws.com%2Fpublic%2Fimages%2F2d692413-84a3-4d97-8d2e-51081aab5737_602x208.jpeg 424w, https://substackcdn.com/image/fetch/$s_!rWDy!,w_848,c_limit,f_auto,q_auto:good,fl_progressive:steep/https%3A%2F%2Fsubstack-post-media.s3.amazonaws.com%2Fpublic%2Fimages%2F2d692413-84a3-4d97-8d2e-51081aab5737_602x208.jpeg 848w, https://substackcdn.com/image/fetch/$s_!rWDy!,w_1272,c_limit,f_auto,q_auto:good,fl_progressive:steep/https%3A%2F%2Fsubstack-post-media.s3.amazonaws.com%2Fpublic%2Fimages%2F2d692413-84a3-4d97-8d2e-51081aab5737_602x208.jpeg 1272w, https://substackcdn.com/image/fetch/$s_!rWDy!,w_1456,c_limit,f_auto,q_auto:good,fl_progressive:steep/https%3A%2F%2Fsubstack-post-media.s3.amazonaws.com%2Fpublic%2Fimages%2F2d692413-84a3-4d97-8d2e-51081aab5737_602x208.jpeg 1456w" sizes="100vw" loading="lazy"></picture><div></div></div></a><figcaption class="image-caption"><em>The image demonstrates a <strong>self-healing mechanism using a shape memory alloy (SMA) embedded in a polymer matrix</strong>.</em></figcaption></figure></div><ol><li><p><em><strong>Left Panel:</strong> Shows the undamaged state of the material, with SMAs integrated into the polymer matrix.</em></p></li><li><p><em><strong>Middle Panel:</strong> Under mechanical force, cracks form in the polymer, causing deformation.</em></p></li><li><p><em><strong>Right Panel:</strong> When heat is applied, the SMA undergoes reversion, closing the cracks. The polymer partially liquefies, filling the gaps, and the material's integrity is restored.</em></p></li></ol><h4><strong>Implementing Self-Healing Heat Tracing Systems</strong></h4><p><strong>Selecting the Right Materials</strong></p><p>Choosing the appropriate self-healing material depends on factors such as:</p><ul><li><p>Operating temperature range</p></li><li><p>Environmental conditions (e.g., moisture, chemicals, UV exposure)</p></li><li><p>System design and application requirements</p></li></ul><h4><strong>Installation Best Practices</strong></h4><p>To maximize the benefits of self-healing materials:</p><ol><li><p><strong>Assess Compatibility</strong>: Ensure the material is compatible with existing system components.</p></li><li><p><strong>Follow Manufacturer Guidelines</strong>: Adhere to installation procedures to achieve optimal performance.</p></li><li><p><strong>Regular Monitoring</strong>: While self-healing materials reduce maintenance needs, periodic inspections ensure early detection of potential issues.</p></li></ol><h4><strong>Future Trends in Self-Healing Materials for Heat Tracing Systems</strong></h4><p>The field of self-healing materials is rapidly evolving, and several promising trends are emerging. These trends aim to enhance the capabilities of self-healing materials, making them more efficient, responsive, and environmentally friendly. Here's how the three trends you mentioned relate to self-healing materials:</p><ul><li><p><strong>Nanotechnology Integration:</strong> Nanotechnology involves the use of nanoparticles to improve the properties of materials. In the context of self-healing materials, nanoparticles can be incorporated into the material's structure to enhance its self-healing capabilities. For example, nanoparticles can act as carriers for healing agents, facilitating their release and promoting faster and more efficient healing. They can also strengthen the material's matrix, making it more resistant to damage and improving its overall durability.</p></li><li><p><strong>Smart Systems:</strong> The integration of self-healing materials with smart systems, such as IoT sensors, enables real-time monitoring and diagnostics. Sensors can detect damage in the material and trigger the self-healing process automatically. This combination allows for proactive maintenance and prevents minor damage from escalating into major failures. Smart systems can also provide valuable data on the material's condition, helping to optimize its performance and extend its lifespan.</p></li><li><p><strong>Green Materials:</strong> The development of bio-based self-healing composites aligns with the growing emphasis on sustainability. Green materials are derived from renewable resources and have a lower environmental impact compared to traditional materials. By incorporating bio-based components into self-healing materials, we can create more eco-friendly solutions for various applications, including heat tracing systems</p></li></ul><h4><strong>Frequently Asked Questions (FAQs)</strong></h4><p><strong>How do self-healing materials work?</strong></p><p>Self-healing materials repair damage through mechanisms such as microcapsule rupture, dynamic chemical bonding, or diffusion processes, depending on the material type.</p><p><strong>Are self-healing heat tracing systems expensive?</strong></p><p>While initial costs may be higher, the long-term savings from reduced maintenance and extended lifespan make them cost-effective.</p><p><strong>Can self-healing materials withstand extreme temperatures?</strong></p><p>Yes, advanced self-healing materials are designed to function effectively in high-temperature environments, making them suitable for industrial heat tracing applications.</p><h4><strong>Conclusion</strong></h4><p>Self-healing materials are revolutionizing the durability and efficiency of heat tracing systems. By addressing common challenges such as mechanical damage, thermal cycling, and corrosion, these materials ensure long-lasting performance in demanding industrial settings. Investing in self-healing heat tracing systems not only reduces maintenance costs but also enhances safety and sustainability</p><h3>References</h3><ol><li><p><strong>White, S. R., et al. "Autonomic healing of polymer composites."</strong> Nature, 409, 794-797, 2001</p><p><a href="https://www.nature.com/articles/35057232">Link</a></p></li><li><p><strong>Toohey, K. S., et al. "Self-healing materials with microvascular networks</strong>." Nature Materials, 6, 581-585, 2007</p><p><a href="https://www.nature.com/articles/nmat1934">Link</a></p></li><li><p><strong>Brown, E. N., et al. "Repeated healing of a self-healing polymer." Advanced Materials</strong>, 14(23), 1850-1853, 2002.</p><p><a href="https://royalsocietypublishing.org/doi/abs/10.1098/rsif.2006.0209">Link</a></p></li><li><p><strong>Williams, H. R., and Trask, R. S. "Self-healing composite materials for aerospace applications." Proceedings of the Institution of Mechanical Engineers, Part G: Journal of Aerospace Engineering,</strong> 221(4), 553-558, 2007</p><p><a href="https://core.ac.uk/download/pdf/9026698.pdf">Link</a></p><p></p></li></ol><div class="subscription-widget-wrap-editor" data-attrs="{&quot;url&quot;:&quot;https://www.precisionnewsletter.com/subscribe?&quot;,&quot;text&quot;:&quot;Subscribe&quot;,&quot;language&quot;:&quot;en&quot;}" data-component-name="SubscribeWidgetToDOM"><div class="subscription-widget show-subscribe"><div class="preamble"><p class="cta-caption">Thanks for reading Precision Newsletter! Subscribe for free to receive new posts and support my work.</p></div><form class="subscription-widget-subscribe"><input type="email" class="email-input" name="email" placeholder="Type your email&#8230;" tabindex="-1"><input type="submit" class="button primary" value="Subscribe"><div class="fake-input-wrapper"><div class="fake-input"></div><div class="fake-button"></div></div></form></div></div>]]></content:encoded></item><item><title><![CDATA[Understanding Polymer Aging in Electrical Heat Tracing Systems: A Focus on XLPE and EPR/EPDM]]></title><description><![CDATA[&#8212; Environmental Factors, Causes of Degradation, Real-World Applications in Nuclear Power Plants, and Prevention Strategies for Prolonging Cable Life &#8212;]]></description><link>https://www.precisionnewsletter.com/p/understanding-polymer-aging-in-electrical</link><guid isPermaLink="false">https://www.precisionnewsletter.com/p/understanding-polymer-aging-in-electrical</guid><dc:creator><![CDATA[Jinwook Jung]]></dc:creator><pubDate>Wed, 05 Mar 2025 17:22:28 GMT</pubDate><enclosure url="https://substack-post-media.s3.amazonaws.com/public/images/a9c07855-daeb-4454-ae25-3ad7c919f42a_450x450.png" length="0" type="image/jpeg"/><content:encoded><![CDATA[<h1><strong>Abstract</strong></h1><p>Electrical Heat Tracing Systems play a critical role in maintaining the temperature of pipelines and equipment across industries such as oil, gas and nuclear power. However, the long-term reliability of these systems is compromised by the aging of the polymer insulation materials used in heating cables. This article explores the environmental factors contributing to polymer degradation, particularly focusing on Cross-Linked Polyethylene (XLPE) and Ethylene Propylene Rubber (EPR/EPDM) in nuclear power plants. It also discusses the underlying causes of polymer degradation and highlights nondestructive monitoring methods, particularly on capacitive sensing that can detect early signs of aging. Real-life applications, such as the use of these polymers in nuclear power plants, are examined, along with solutions for mitigating aging and prolonging cable life.</p><div class="captioned-image-container"><figure><a class="image-link image2 is-viewable-img" target="_blank" href="https://substackcdn.com/image/fetch/$s_!OliN!,f_auto,q_auto:good,fl_progressive:steep/https%3A%2F%2Fsubstack-post-media.s3.amazonaws.com%2Fpublic%2Fimages%2F11955c77-987f-40ec-9c48-4eb4061697de_545x334.jpeg" data-component-name="Image2ToDOM"><div class="image2-inset"><picture><source type="image/webp" srcset="https://substackcdn.com/image/fetch/$s_!OliN!,w_424,c_limit,f_webp,q_auto:good,fl_progressive:steep/https%3A%2F%2Fsubstack-post-media.s3.amazonaws.com%2Fpublic%2Fimages%2F11955c77-987f-40ec-9c48-4eb4061697de_545x334.jpeg 424w, https://substackcdn.com/image/fetch/$s_!OliN!,w_848,c_limit,f_webp,q_auto:good,fl_progressive:steep/https%3A%2F%2Fsubstack-post-media.s3.amazonaws.com%2Fpublic%2Fimages%2F11955c77-987f-40ec-9c48-4eb4061697de_545x334.jpeg 848w, https://substackcdn.com/image/fetch/$s_!OliN!,w_1272,c_limit,f_webp,q_auto:good,fl_progressive:steep/https%3A%2F%2Fsubstack-post-media.s3.amazonaws.com%2Fpublic%2Fimages%2F11955c77-987f-40ec-9c48-4eb4061697de_545x334.jpeg 1272w, https://substackcdn.com/image/fetch/$s_!OliN!,w_1456,c_limit,f_webp,q_auto:good,fl_progressive:steep/https%3A%2F%2Fsubstack-post-media.s3.amazonaws.com%2Fpublic%2Fimages%2F11955c77-987f-40ec-9c48-4eb4061697de_545x334.jpeg 1456w" sizes="100vw"><img src="https://substackcdn.com/image/fetch/$s_!OliN!,w_1456,c_limit,f_auto,q_auto:good,fl_progressive:steep/https%3A%2F%2Fsubstack-post-media.s3.amazonaws.com%2Fpublic%2Fimages%2F11955c77-987f-40ec-9c48-4eb4061697de_545x334.jpeg" width="471" height="288.64954128440365" data-attrs="{&quot;src&quot;:&quot;https://substack-post-media.s3.amazonaws.com/public/images/11955c77-987f-40ec-9c48-4eb4061697de_545x334.jpeg&quot;,&quot;srcNoWatermark&quot;:null,&quot;fullscreen&quot;:false,&quot;imageSize&quot;:&quot;normal&quot;,&quot;height&quot;:334,&quot;width&quot;:545,&quot;resizeWidth&quot;:471,&quot;bytes&quot;:34976,&quot;alt&quot;:null,&quot;title&quot;:null,&quot;type&quot;:&quot;image/jpeg&quot;,&quot;href&quot;:null,&quot;belowTheFold&quot;:false,&quot;topImage&quot;:true,&quot;internalRedirect&quot;:&quot;https://www.precisionnewsletter.com/i/158449683?img=https%3A%2F%2Fsubstack-post-media.s3.amazonaws.com%2Fpublic%2Fimages%2F11955c77-987f-40ec-9c48-4eb4061697de_545x334.jpeg&quot;,&quot;isProcessing&quot;:false,&quot;align&quot;:null,&quot;offset&quot;:false}" class="sizing-normal" alt="" srcset="https://substackcdn.com/image/fetch/$s_!OliN!,w_424,c_limit,f_auto,q_auto:good,fl_progressive:steep/https%3A%2F%2Fsubstack-post-media.s3.amazonaws.com%2Fpublic%2Fimages%2F11955c77-987f-40ec-9c48-4eb4061697de_545x334.jpeg 424w, https://substackcdn.com/image/fetch/$s_!OliN!,w_848,c_limit,f_auto,q_auto:good,fl_progressive:steep/https%3A%2F%2Fsubstack-post-media.s3.amazonaws.com%2Fpublic%2Fimages%2F11955c77-987f-40ec-9c48-4eb4061697de_545x334.jpeg 848w, https://substackcdn.com/image/fetch/$s_!OliN!,w_1272,c_limit,f_auto,q_auto:good,fl_progressive:steep/https%3A%2F%2Fsubstack-post-media.s3.amazonaws.com%2Fpublic%2Fimages%2F11955c77-987f-40ec-9c48-4eb4061697de_545x334.jpeg 1272w, https://substackcdn.com/image/fetch/$s_!OliN!,w_1456,c_limit,f_auto,q_auto:good,fl_progressive:steep/https%3A%2F%2Fsubstack-post-media.s3.amazonaws.com%2Fpublic%2Fimages%2F11955c77-987f-40ec-9c48-4eb4061697de_545x334.jpeg 1456w" sizes="100vw" fetchpriority="high"></picture><div class="image-link-expand"><div class="pencraft pc-display-flex pc-gap-8 pc-reset"><button tabindex="0" type="button" class="pencraft pc-reset pencraft icon-container restack-image"><svg role="img" width="20" height="20" viewBox="0 0 20 20" fill="none" stroke-width="1.5" stroke="var(--color-fg-primary)" stroke-linecap="round" stroke-linejoin="round" xmlns="http://www.w3.org/2000/svg"><g><title></title><path d="M2.53001 7.81595C3.49179 4.73911 6.43281 2.5 9.91173 2.5C13.1684 2.5 15.9537 4.46214 17.0852 7.23684L17.6179 8.67647M17.6179 8.67647L18.5002 4.26471M17.6179 8.67647L13.6473 6.91176M17.4995 12.1841C16.5378 15.2609 13.5967 17.5 10.1178 17.5C6.86118 17.5 4.07589 15.5379 2.94432 12.7632L2.41165 11.3235M2.41165 11.3235L1.5293 15.7353M2.41165 11.3235L6.38224 13.0882"></path></g></svg></button><button tabindex="0" type="button" class="pencraft pc-reset pencraft icon-container view-image"><svg xmlns="http://www.w3.org/2000/svg" width="20" height="20" viewBox="0 0 24 24" fill="none" stroke="currentColor" stroke-width="2" stroke-linecap="round" stroke-linejoin="round" class="lucide lucide-maximize2 lucide-maximize-2"><polyline points="15 3 21 3 21 9"></polyline><polyline points="9 21 3 21 3 15"></polyline><line x1="21" x2="14" y1="3" y2="10"></line><line x1="3" x2="10" y1="21" y2="14"></line></svg></button></div></div></div></a></figure></div><div><hr></div><h2><strong>Introduction to Polymer Aging and Degradation</strong></h2><p>Polymer aging in EHT cables is the process of gradual degradation in the insulation and outer jacket due to environmental stressors like heat, moisture, UV exposure, and chemical contact. These factors erode the mechanical and electrical properties of the polymer over time, compromising the overall performance and reliability of the cables. Cross-Linked Polyethylene (XLPE) and Ethylene Propylene Rubber (EPR/EPDM) are among the most commonly used polymers in EHT cables due to their excellent thermal stability and dielectric properties. However, despite their robustness, these polymers are not immune to aging, which can lead to mechanical deterioration, insulation failures, and potential system breakdowns. This article delves into the key environmental factors driving polymer aging, the underlying degradation mechanisms, and provides strategies to mitigate these effects. It also highlights real-world cases and explores the role of nondestructive monitoring techniques in maintaining the reliability of EHT systems.</p><div class="subscription-widget-wrap-editor" data-attrs="{&quot;url&quot;:&quot;https://www.precisionnewsletter.com/subscribe?&quot;,&quot;text&quot;:&quot;Subscribe&quot;,&quot;language&quot;:&quot;en&quot;}" data-component-name="SubscribeWidgetToDOM"><div class="subscription-widget show-subscribe"><div class="preamble"><p class="cta-caption">Thanks for reading Precision Newsletter! Subscribe for free to receive new posts and support my work.</p></div><form class="subscription-widget-subscribe"><input type="email" class="email-input" name="email" placeholder="Type your email&#8230;" tabindex="-1"><input type="submit" class="button primary" value="Subscribe"><div class="fake-input-wrapper"><div class="fake-input"></div><div class="fake-button"></div></div></form></div></div><h3><strong>Environmental Factors leading to Polymer Aging in EHT Cables</strong></h3><p>Polymer insulation in Electrical Heat Tracing cables is subjected to a range of environmental factors that accelerate aging and degradation. These factors weaken the polymers' mechanical and electrical properties, eventually leading to insulation failures and system malfunctions. Key environmental stressors include heat, moisture, UV radiation, and chemical exposure, all of which play a significant role in the aging process.</p><h4><strong>1. Heat Exposure:</strong></h4><p>EHT cables operate in high-temperature environments, and prolonged heat exposure can cause thermal degradation of polymer insulation. In materials like <strong>XLPE</strong>, which has a melting point of 110-125&#176;C, high temperatures can break down the crystalline structure, leading to reduced dielectric properties and embrittlement. <strong>EPR/EPDM</strong> polymers, with a melting point of 120-130&#176;C, are more resistant to high temperatures but still experience oxidative degradation, resulting in reduced flexibility and eventual cracking.</p><h4><strong>2. Moisture Ingress:</strong></h4><p>Moisture can infiltrate polymer insulation over time, especially in environments with high humidity or direct exposure to water. This leads to swelling, decreased dielectric strength, and possible electrical breakdown. <strong>XLPE</strong> and <strong>EPR</strong> are hydrophobic, but long-term moisture exposure, especially in submerged or humid environments, can cause degradation.</p><h4><strong>3. UV Radiation:</strong></h4><p>Outdoor EHT systems are often exposed to ultraviolet (UV) radiation, which degrades the surface of polymers like <strong>XLPE</strong> over time, causing discoloration, embrittlement, and surface cracking.</p><h4><strong>4. Chemical Exposure:</strong></h4><p>In industrial environments, cables may encounter chemicals such as solvents, oils, and corrosive substances. <strong>EPR/EPDM</strong>, though chemically resistant, can degrade when exposed to harsh solvents, while <strong>XLPE</strong> may undergo oxidation when exposed to chemicals at elevated temperatures.</p><h4><strong>Why Focus on XLPE and EPR/EPDM Polymer Aging in EHT Cables?</strong></h4><p>Cross-linked Polyethylene (XLPE) and Ethylene Propylene Rubber/Ethylene Propylene Diene Monomer (EPR/EPDM) are the predominant insulation materials used in EHT systems, especially in critical applications like nuclear power plants. According to the 1994 Electric Power Research Institute (EPRI) report, 89% of U.S. nuclear power plants use XLPE for low-voltage cable insulation, while 73% use EPR/EPDM. These polymers are widely favored for their excellent thermal stability, flexibility, and dielectric properties, making them well-suited for EHT cables that must withstand high temperatures, electrical stress, and harsh environmental conditions. However, despite their excellent properties, XLPE and EPR/EPDM are still susceptible to aging and degradation due to long-term exposure to harsh environments eventually leading to cracking and insulation breakdown</p><div class="captioned-image-container"><figure><a class="image-link image2 is-viewable-img" target="_blank" href="https://substackcdn.com/image/fetch/$s_!YVpi!,f_auto,q_auto:good,fl_progressive:steep/https%3A%2F%2Fsubstack-post-media.s3.amazonaws.com%2Fpublic%2Fimages%2Fb95db8c5-0d28-49a4-a4d7-9bc47a7db190_286x274.png" data-component-name="Image2ToDOM"><div class="image2-inset"><picture><source type="image/webp" srcset="https://substackcdn.com/image/fetch/$s_!YVpi!,w_424,c_limit,f_webp,q_auto:good,fl_progressive:steep/https%3A%2F%2Fsubstack-post-media.s3.amazonaws.com%2Fpublic%2Fimages%2Fb95db8c5-0d28-49a4-a4d7-9bc47a7db190_286x274.png 424w, https://substackcdn.com/image/fetch/$s_!YVpi!,w_848,c_limit,f_webp,q_auto:good,fl_progressive:steep/https%3A%2F%2Fsubstack-post-media.s3.amazonaws.com%2Fpublic%2Fimages%2Fb95db8c5-0d28-49a4-a4d7-9bc47a7db190_286x274.png 848w, https://substackcdn.com/image/fetch/$s_!YVpi!,w_1272,c_limit,f_webp,q_auto:good,fl_progressive:steep/https%3A%2F%2Fsubstack-post-media.s3.amazonaws.com%2Fpublic%2Fimages%2Fb95db8c5-0d28-49a4-a4d7-9bc47a7db190_286x274.png 1272w, https://substackcdn.com/image/fetch/$s_!YVpi!,w_1456,c_limit,f_webp,q_auto:good,fl_progressive:steep/https%3A%2F%2Fsubstack-post-media.s3.amazonaws.com%2Fpublic%2Fimages%2Fb95db8c5-0d28-49a4-a4d7-9bc47a7db190_286x274.png 1456w" sizes="100vw"><img src="https://substackcdn.com/image/fetch/$s_!YVpi!,w_1456,c_limit,f_auto,q_auto:good,fl_progressive:steep/https%3A%2F%2Fsubstack-post-media.s3.amazonaws.com%2Fpublic%2Fimages%2Fb95db8c5-0d28-49a4-a4d7-9bc47a7db190_286x274.png" width="448" height="429.2027972027972" data-attrs="{&quot;src&quot;:&quot;https://substack-post-media.s3.amazonaws.com/public/images/b95db8c5-0d28-49a4-a4d7-9bc47a7db190_286x274.png&quot;,&quot;srcNoWatermark&quot;:null,&quot;fullscreen&quot;:null,&quot;imageSize&quot;:null,&quot;height&quot;:274,&quot;width&quot;:286,&quot;resizeWidth&quot;:448,&quot;bytes&quot;:22541,&quot;alt&quot;:null,&quot;title&quot;:null,&quot;type&quot;:&quot;image/png&quot;,&quot;href&quot;:null,&quot;belowTheFold&quot;:true,&quot;topImage&quot;:false,&quot;internalRedirect&quot;:&quot;https://www.precisionnewsletter.com/i/158449683?img=https%3A%2F%2Fsubstack-post-media.s3.amazonaws.com%2Fpublic%2Fimages%2Fb95db8c5-0d28-49a4-a4d7-9bc47a7db190_286x274.png&quot;,&quot;isProcessing&quot;:false,&quot;align&quot;:null,&quot;offset&quot;:false}" class="sizing-normal" alt="" srcset="https://substackcdn.com/image/fetch/$s_!YVpi!,w_424,c_limit,f_auto,q_auto:good,fl_progressive:steep/https%3A%2F%2Fsubstack-post-media.s3.amazonaws.com%2Fpublic%2Fimages%2Fb95db8c5-0d28-49a4-a4d7-9bc47a7db190_286x274.png 424w, https://substackcdn.com/image/fetch/$s_!YVpi!,w_848,c_limit,f_auto,q_auto:good,fl_progressive:steep/https%3A%2F%2Fsubstack-post-media.s3.amazonaws.com%2Fpublic%2Fimages%2Fb95db8c5-0d28-49a4-a4d7-9bc47a7db190_286x274.png 848w, https://substackcdn.com/image/fetch/$s_!YVpi!,w_1272,c_limit,f_auto,q_auto:good,fl_progressive:steep/https%3A%2F%2Fsubstack-post-media.s3.amazonaws.com%2Fpublic%2Fimages%2Fb95db8c5-0d28-49a4-a4d7-9bc47a7db190_286x274.png 1272w, https://substackcdn.com/image/fetch/$s_!YVpi!,w_1456,c_limit,f_auto,q_auto:good,fl_progressive:steep/https%3A%2F%2Fsubstack-post-media.s3.amazonaws.com%2Fpublic%2Fimages%2Fb95db8c5-0d28-49a4-a4d7-9bc47a7db190_286x274.png 1456w" sizes="100vw" loading="lazy"></picture><div class="image-link-expand"><div class="pencraft pc-display-flex pc-gap-8 pc-reset"><button tabindex="0" type="button" class="pencraft pc-reset pencraft icon-container restack-image"><svg role="img" width="20" height="20" viewBox="0 0 20 20" fill="none" stroke-width="1.5" stroke="var(--color-fg-primary)" stroke-linecap="round" stroke-linejoin="round" xmlns="http://www.w3.org/2000/svg"><g><title></title><path d="M2.53001 7.81595C3.49179 4.73911 6.43281 2.5 9.91173 2.5C13.1684 2.5 15.9537 4.46214 17.0852 7.23684L17.6179 8.67647M17.6179 8.67647L18.5002 4.26471M17.6179 8.67647L13.6473 6.91176M17.4995 12.1841C16.5378 15.2609 13.5967 17.5 10.1178 17.5C6.86118 17.5 4.07589 15.5379 2.94432 12.7632L2.41165 11.3235M2.41165 11.3235L1.5293 15.7353M2.41165 11.3235L6.38224 13.0882"></path></g></svg></button><button tabindex="0" type="button" class="pencraft pc-reset pencraft icon-container view-image"><svg xmlns="http://www.w3.org/2000/svg" width="20" height="20" viewBox="0 0 24 24" fill="none" stroke="currentColor" stroke-width="2" stroke-linecap="round" stroke-linejoin="round" class="lucide lucide-maximize2 lucide-maximize-2"><polyline points="15 3 21 3 21 9"></polyline><polyline points="9 21 3 21 3 15"></polyline><line x1="21" x2="14" y1="3" y2="10"></line><line x1="3" x2="10" y1="21" y2="14"></line></svg></button></div></div></div></a><figcaption class="image-caption"><em>Fig 1.2: Cross-section of an XLPE-insulated EHT cable showing the key components, including the outer sheath, conducting tapes, gray and white XLPE insulators, and conductor</em>.</figcaption></figure></div><div><hr></div><div class="captioned-image-container"><figure><a class="image-link image2 is-viewable-img" target="_blank" href="https://substackcdn.com/image/fetch/$s_!JAnH!,f_auto,q_auto:good,fl_progressive:steep/https%3A%2F%2Fsubstack-post-media.s3.amazonaws.com%2Fpublic%2Fimages%2Fc56f387f-48c3-44e8-9110-b25b2fbf715c_316x253.jpeg" data-component-name="Image2ToDOM"><div class="image2-inset"><picture><source type="image/webp" srcset="https://substackcdn.com/image/fetch/$s_!JAnH!,w_424,c_limit,f_webp,q_auto:good,fl_progressive:steep/https%3A%2F%2Fsubstack-post-media.s3.amazonaws.com%2Fpublic%2Fimages%2Fc56f387f-48c3-44e8-9110-b25b2fbf715c_316x253.jpeg 424w, https://substackcdn.com/image/fetch/$s_!JAnH!,w_848,c_limit,f_webp,q_auto:good,fl_progressive:steep/https%3A%2F%2Fsubstack-post-media.s3.amazonaws.com%2Fpublic%2Fimages%2Fc56f387f-48c3-44e8-9110-b25b2fbf715c_316x253.jpeg 848w, https://substackcdn.com/image/fetch/$s_!JAnH!,w_1272,c_limit,f_webp,q_auto:good,fl_progressive:steep/https%3A%2F%2Fsubstack-post-media.s3.amazonaws.com%2Fpublic%2Fimages%2Fc56f387f-48c3-44e8-9110-b25b2fbf715c_316x253.jpeg 1272w, https://substackcdn.com/image/fetch/$s_!JAnH!,w_1456,c_limit,f_webp,q_auto:good,fl_progressive:steep/https%3A%2F%2Fsubstack-post-media.s3.amazonaws.com%2Fpublic%2Fimages%2Fc56f387f-48c3-44e8-9110-b25b2fbf715c_316x253.jpeg 1456w" sizes="100vw"><img src="https://substackcdn.com/image/fetch/$s_!JAnH!,w_1456,c_limit,f_auto,q_auto:good,fl_progressive:steep/https%3A%2F%2Fsubstack-post-media.s3.amazonaws.com%2Fpublic%2Fimages%2Fc56f387f-48c3-44e8-9110-b25b2fbf715c_316x253.jpeg" width="434" height="347.4746835443038" data-attrs="{&quot;src&quot;:&quot;https://substack-post-media.s3.amazonaws.com/public/images/c56f387f-48c3-44e8-9110-b25b2fbf715c_316x253.jpeg&quot;,&quot;srcNoWatermark&quot;:null,&quot;fullscreen&quot;:null,&quot;imageSize&quot;:null,&quot;height&quot;:253,&quot;width&quot;:316,&quot;resizeWidth&quot;:434,&quot;bytes&quot;:22230,&quot;alt&quot;:null,&quot;title&quot;:null,&quot;type&quot;:&quot;image/jpeg&quot;,&quot;href&quot;:null,&quot;belowTheFold&quot;:true,&quot;topImage&quot;:false,&quot;internalRedirect&quot;:&quot;https://www.precisionnewsletter.com/i/158449683?img=https%3A%2F%2Fsubstack-post-media.s3.amazonaws.com%2Fpublic%2Fimages%2Fc56f387f-48c3-44e8-9110-b25b2fbf715c_316x253.jpeg&quot;,&quot;isProcessing&quot;:false,&quot;align&quot;:null,&quot;offset&quot;:false}" class="sizing-normal" alt="" srcset="https://substackcdn.com/image/fetch/$s_!JAnH!,w_424,c_limit,f_auto,q_auto:good,fl_progressive:steep/https%3A%2F%2Fsubstack-post-media.s3.amazonaws.com%2Fpublic%2Fimages%2Fc56f387f-48c3-44e8-9110-b25b2fbf715c_316x253.jpeg 424w, https://substackcdn.com/image/fetch/$s_!JAnH!,w_848,c_limit,f_auto,q_auto:good,fl_progressive:steep/https%3A%2F%2Fsubstack-post-media.s3.amazonaws.com%2Fpublic%2Fimages%2Fc56f387f-48c3-44e8-9110-b25b2fbf715c_316x253.jpeg 848w, https://substackcdn.com/image/fetch/$s_!JAnH!,w_1272,c_limit,f_auto,q_auto:good,fl_progressive:steep/https%3A%2F%2Fsubstack-post-media.s3.amazonaws.com%2Fpublic%2Fimages%2Fc56f387f-48c3-44e8-9110-b25b2fbf715c_316x253.jpeg 1272w, https://substackcdn.com/image/fetch/$s_!JAnH!,w_1456,c_limit,f_auto,q_auto:good,fl_progressive:steep/https%3A%2F%2Fsubstack-post-media.s3.amazonaws.com%2Fpublic%2Fimages%2Fc56f387f-48c3-44e8-9110-b25b2fbf715c_316x253.jpeg 1456w" sizes="100vw" loading="lazy"></picture><div class="image-link-expand"><div class="pencraft pc-display-flex pc-gap-8 pc-reset"><button tabindex="0" type="button" class="pencraft pc-reset pencraft icon-container restack-image"><svg role="img" width="20" height="20" viewBox="0 0 20 20" fill="none" stroke-width="1.5" stroke="var(--color-fg-primary)" stroke-linecap="round" stroke-linejoin="round" xmlns="http://www.w3.org/2000/svg"><g><title></title><path d="M2.53001 7.81595C3.49179 4.73911 6.43281 2.5 9.91173 2.5C13.1684 2.5 15.9537 4.46214 17.0852 7.23684L17.6179 8.67647M17.6179 8.67647L18.5002 4.26471M17.6179 8.67647L13.6473 6.91176M17.4995 12.1841C16.5378 15.2609 13.5967 17.5 10.1178 17.5C6.86118 17.5 4.07589 15.5379 2.94432 12.7632L2.41165 11.3235M2.41165 11.3235L1.5293 15.7353M2.41165 11.3235L6.38224 13.0882"></path></g></svg></button><button tabindex="0" type="button" class="pencraft pc-reset pencraft icon-container view-image"><svg xmlns="http://www.w3.org/2000/svg" width="20" height="20" viewBox="0 0 24 24" fill="none" stroke="currentColor" stroke-width="2" stroke-linecap="round" stroke-linejoin="round" class="lucide lucide-maximize2 lucide-maximize-2"><polyline points="15 3 21 3 21 9"></polyline><polyline points="9 21 3 21 3 15"></polyline><line x1="21" x2="14" y1="3" y2="10"></line><line x1="3" x2="10" y1="21" y2="14"></line></svg></button></div></div></div></a><figcaption class="image-caption"><em>Fig 1.2: Cross-section of an XLPE-insulated EHT cable showing the key components, including the outer sheath, conducting tapes, gray and white XLPE insulators, and conductor</em>.</figcaption></figure></div><div><hr></div><h4><strong>Key Characteristics of XLPE and EPR/EPDM</strong></h4><div class="captioned-image-container"><figure><a class="image-link image2 is-viewable-img" target="_blank" href="https://substackcdn.com/image/fetch/$s_!KiTy!,f_auto,q_auto:good,fl_progressive:steep/https%3A%2F%2Fsubstack-post-media.s3.amazonaws.com%2Fpublic%2Fimages%2F925d570a-3284-4f9d-bc05-d299f68837f3_508x489.png" data-component-name="Image2ToDOM"><div class="image2-inset"><picture><source type="image/webp" srcset="https://substackcdn.com/image/fetch/$s_!KiTy!,w_424,c_limit,f_webp,q_auto:good,fl_progressive:steep/https%3A%2F%2Fsubstack-post-media.s3.amazonaws.com%2Fpublic%2Fimages%2F925d570a-3284-4f9d-bc05-d299f68837f3_508x489.png 424w, https://substackcdn.com/image/fetch/$s_!KiTy!,w_848,c_limit,f_webp,q_auto:good,fl_progressive:steep/https%3A%2F%2Fsubstack-post-media.s3.amazonaws.com%2Fpublic%2Fimages%2F925d570a-3284-4f9d-bc05-d299f68837f3_508x489.png 848w, https://substackcdn.com/image/fetch/$s_!KiTy!,w_1272,c_limit,f_webp,q_auto:good,fl_progressive:steep/https%3A%2F%2Fsubstack-post-media.s3.amazonaws.com%2Fpublic%2Fimages%2F925d570a-3284-4f9d-bc05-d299f68837f3_508x489.png 1272w, https://substackcdn.com/image/fetch/$s_!KiTy!,w_1456,c_limit,f_webp,q_auto:good,fl_progressive:steep/https%3A%2F%2Fsubstack-post-media.s3.amazonaws.com%2Fpublic%2Fimages%2F925d570a-3284-4f9d-bc05-d299f68837f3_508x489.png 1456w" sizes="100vw"><img src="https://substackcdn.com/image/fetch/$s_!KiTy!,w_1456,c_limit,f_auto,q_auto:good,fl_progressive:steep/https%3A%2F%2Fsubstack-post-media.s3.amazonaws.com%2Fpublic%2Fimages%2F925d570a-3284-4f9d-bc05-d299f68837f3_508x489.png" width="508" height="489" data-attrs="{&quot;src&quot;:&quot;https://substack-post-media.s3.amazonaws.com/public/images/925d570a-3284-4f9d-bc05-d299f68837f3_508x489.png&quot;,&quot;srcNoWatermark&quot;:null,&quot;fullscreen&quot;:null,&quot;imageSize&quot;:null,&quot;height&quot;:489,&quot;width&quot;:508,&quot;resizeWidth&quot;:null,&quot;bytes&quot;:35464,&quot;alt&quot;:null,&quot;title&quot;:null,&quot;type&quot;:&quot;image/png&quot;,&quot;href&quot;:null,&quot;belowTheFold&quot;:true,&quot;topImage&quot;:false,&quot;internalRedirect&quot;:&quot;https://www.precisionnewsletter.com/i/158449683?img=https%3A%2F%2Fsubstack-post-media.s3.amazonaws.com%2Fpublic%2Fimages%2F925d570a-3284-4f9d-bc05-d299f68837f3_508x489.png&quot;,&quot;isProcessing&quot;:false,&quot;align&quot;:null,&quot;offset&quot;:false}" class="sizing-normal" alt="" srcset="https://substackcdn.com/image/fetch/$s_!KiTy!,w_424,c_limit,f_auto,q_auto:good,fl_progressive:steep/https%3A%2F%2Fsubstack-post-media.s3.amazonaws.com%2Fpublic%2Fimages%2F925d570a-3284-4f9d-bc05-d299f68837f3_508x489.png 424w, https://substackcdn.com/image/fetch/$s_!KiTy!,w_848,c_limit,f_auto,q_auto:good,fl_progressive:steep/https%3A%2F%2Fsubstack-post-media.s3.amazonaws.com%2Fpublic%2Fimages%2F925d570a-3284-4f9d-bc05-d299f68837f3_508x489.png 848w, https://substackcdn.com/image/fetch/$s_!KiTy!,w_1272,c_limit,f_auto,q_auto:good,fl_progressive:steep/https%3A%2F%2Fsubstack-post-media.s3.amazonaws.com%2Fpublic%2Fimages%2F925d570a-3284-4f9d-bc05-d299f68837f3_508x489.png 1272w, https://substackcdn.com/image/fetch/$s_!KiTy!,w_1456,c_limit,f_auto,q_auto:good,fl_progressive:steep/https%3A%2F%2Fsubstack-post-media.s3.amazonaws.com%2Fpublic%2Fimages%2F925d570a-3284-4f9d-bc05-d299f68837f3_508x489.png 1456w" sizes="100vw" loading="lazy"></picture><div class="image-link-expand"><div class="pencraft pc-display-flex pc-gap-8 pc-reset"><button tabindex="0" type="button" class="pencraft pc-reset pencraft icon-container restack-image"><svg role="img" width="20" height="20" viewBox="0 0 20 20" fill="none" stroke-width="1.5" stroke="var(--color-fg-primary)" stroke-linecap="round" stroke-linejoin="round" xmlns="http://www.w3.org/2000/svg"><g><title></title><path d="M2.53001 7.81595C3.49179 4.73911 6.43281 2.5 9.91173 2.5C13.1684 2.5 15.9537 4.46214 17.0852 7.23684L17.6179 8.67647M17.6179 8.67647L18.5002 4.26471M17.6179 8.67647L13.6473 6.91176M17.4995 12.1841C16.5378 15.2609 13.5967 17.5 10.1178 17.5C6.86118 17.5 4.07589 15.5379 2.94432 12.7632L2.41165 11.3235M2.41165 11.3235L1.5293 15.7353M2.41165 11.3235L6.38224 13.0882"></path></g></svg></button><button tabindex="0" type="button" class="pencraft pc-reset pencraft icon-container view-image"><svg xmlns="http://www.w3.org/2000/svg" width="20" height="20" viewBox="0 0 24 24" fill="none" stroke="currentColor" stroke-width="2" stroke-linecap="round" stroke-linejoin="round" class="lucide lucide-maximize2 lucide-maximize-2"><polyline points="15 3 21 3 21 9"></polyline><polyline points="9 21 3 21 3 15"></polyline><line x1="21" x2="14" y1="3" y2="10"></line><line x1="3" x2="10" y1="21" y2="14"></line></svg></button></div></div></div></a><figcaption class="image-caption">Table 1.1: Selected physical and electrical properties of XLPE and EPR thermosets with temperature rating 105&#176;C. Data includes dielectric constant, tensile strength, crystallinity, and other key characteristics critical for EHT system performance</figcaption></figure></div><div><hr></div><h4><strong>Comparison of XLPE and EPR insulation based on their properties</strong></h4><p>When comparing <strong>Cross-Linked Polyethylene (XLPE)</strong> and <strong>Ethylene Propylene Rubber (EPR/EPDM)</strong> for Electrical Heat Tracing applications, both materials offer distinct advantages based on their unique physical and electrical properties. XLPE has higher <strong>mechanical strength</strong> with superior <strong>tensile strength</strong> and a <strong>higher crystallinity</strong>, making it more rigid and ideal for applications where <strong>mechanical robustness</strong> and <strong>dimensional stability</strong> are critical. It also has excellent <strong>thermal stability</strong> and operates well in <strong>cold environments</strong> due to its <strong>low glass transition temperature</strong>, preventing cracks under freezing conditions. However, XLPE has lower flexibility compared to EPR/EPDM.</p><p>On the other hand, <strong>EPR/EPDM</strong> provides <strong>greater flexibility</strong> with a wider range of <strong>elongation at break</strong>, making it ideal for applications requiring <strong>dynamic movement</strong> or installations where the cable must bend frequently. It also has superior <strong>dielectric strength</strong>, making it suitable for <strong>high-voltage applications</strong>, and its <strong>higher melting temperature</strong> allows it to withstand <strong>constant high-temperature environments</strong> better than XLPE. EPR/EPDM also performs well in <strong>humid or chemically exposed environments</strong>, as it offers better resistance to moisture ingress and chemical degradation.</p><h4><strong>Common Causes of Polymer Degradation in EHT Cables</strong></h4><h4><strong>1. Arrhenius and Non-Arrhenius Behaviors</strong></h4><p>The <strong>Arrhenius model</strong> or <strong>Arrhenius behavior</strong> is a formula used to predict the rate of chemical reactions, including degradation processes, based on temperature. It is named after Swedish chemist <strong>Svante Arrhenius</strong>, who proposed that reaction rates increase exponentially with temperature. The formula is:</p><div class="captioned-image-container"><figure><a class="image-link image2" target="_blank" href="https://substackcdn.com/image/fetch/$s_!96qv!,f_auto,q_auto:good,fl_progressive:steep/https%3A%2F%2Fsubstack-post-media.s3.amazonaws.com%2Fpublic%2Fimages%2Fb1d23e92-5e29-4e1d-aff0-177b92490b4a_108x36.png" data-component-name="Image2ToDOM"><div class="image2-inset"><picture><source type="image/webp" srcset="https://substackcdn.com/image/fetch/$s_!96qv!,w_424,c_limit,f_webp,q_auto:good,fl_progressive:steep/https%3A%2F%2Fsubstack-post-media.s3.amazonaws.com%2Fpublic%2Fimages%2Fb1d23e92-5e29-4e1d-aff0-177b92490b4a_108x36.png 424w, https://substackcdn.com/image/fetch/$s_!96qv!,w_848,c_limit,f_webp,q_auto:good,fl_progressive:steep/https%3A%2F%2Fsubstack-post-media.s3.amazonaws.com%2Fpublic%2Fimages%2Fb1d23e92-5e29-4e1d-aff0-177b92490b4a_108x36.png 848w, https://substackcdn.com/image/fetch/$s_!96qv!,w_1272,c_limit,f_webp,q_auto:good,fl_progressive:steep/https%3A%2F%2Fsubstack-post-media.s3.amazonaws.com%2Fpublic%2Fimages%2Fb1d23e92-5e29-4e1d-aff0-177b92490b4a_108x36.png 1272w, https://substackcdn.com/image/fetch/$s_!96qv!,w_1456,c_limit,f_webp,q_auto:good,fl_progressive:steep/https%3A%2F%2Fsubstack-post-media.s3.amazonaws.com%2Fpublic%2Fimages%2Fb1d23e92-5e29-4e1d-aff0-177b92490b4a_108x36.png 1456w" sizes="100vw"><img src="https://substackcdn.com/image/fetch/$s_!96qv!,w_1456,c_limit,f_auto,q_auto:good,fl_progressive:steep/https%3A%2F%2Fsubstack-post-media.s3.amazonaws.com%2Fpublic%2Fimages%2Fb1d23e92-5e29-4e1d-aff0-177b92490b4a_108x36.png" width="140" height="46.666666666666664" data-attrs="{&quot;src&quot;:&quot;https://substack-post-media.s3.amazonaws.com/public/images/b1d23e92-5e29-4e1d-aff0-177b92490b4a_108x36.png&quot;,&quot;srcNoWatermark&quot;:null,&quot;fullscreen&quot;:null,&quot;imageSize&quot;:null,&quot;height&quot;:36,&quot;width&quot;:108,&quot;resizeWidth&quot;:140,&quot;bytes&quot;:1467,&quot;alt&quot;:null,&quot;title&quot;:null,&quot;type&quot;:&quot;image/png&quot;,&quot;href&quot;:null,&quot;belowTheFold&quot;:true,&quot;topImage&quot;:false,&quot;internalRedirect&quot;:&quot;https://www.precisionnewsletter.com/i/158449683?img=https%3A%2F%2Fsubstack-post-media.s3.amazonaws.com%2Fpublic%2Fimages%2Fb1d23e92-5e29-4e1d-aff0-177b92490b4a_108x36.png&quot;,&quot;isProcessing&quot;:false,&quot;align&quot;:null,&quot;offset&quot;:false}" class="sizing-normal" alt="" srcset="https://substackcdn.com/image/fetch/$s_!96qv!,w_424,c_limit,f_auto,q_auto:good,fl_progressive:steep/https%3A%2F%2Fsubstack-post-media.s3.amazonaws.com%2Fpublic%2Fimages%2Fb1d23e92-5e29-4e1d-aff0-177b92490b4a_108x36.png 424w, https://substackcdn.com/image/fetch/$s_!96qv!,w_848,c_limit,f_auto,q_auto:good,fl_progressive:steep/https%3A%2F%2Fsubstack-post-media.s3.amazonaws.com%2Fpublic%2Fimages%2Fb1d23e92-5e29-4e1d-aff0-177b92490b4a_108x36.png 848w, https://substackcdn.com/image/fetch/$s_!96qv!,w_1272,c_limit,f_auto,q_auto:good,fl_progressive:steep/https%3A%2F%2Fsubstack-post-media.s3.amazonaws.com%2Fpublic%2Fimages%2Fb1d23e92-5e29-4e1d-aff0-177b92490b4a_108x36.png 1272w, https://substackcdn.com/image/fetch/$s_!96qv!,w_1456,c_limit,f_auto,q_auto:good,fl_progressive:steep/https%3A%2F%2Fsubstack-post-media.s3.amazonaws.com%2Fpublic%2Fimages%2Fb1d23e92-5e29-4e1d-aff0-177b92490b4a_108x36.png 1456w" sizes="100vw" loading="lazy"></picture><div></div></div></a></figure></div><p>Where:</p><ul><li><p>k is the rate constant of the reaction (or degradation rate in the case of polymers),</p></li><li><p>A is the pre-exponential factor (frequency of collisions leading to reactions),</p></li><li><p>E_a is the activation energy required for the reaction to occur,</p></li><li><p>R is the universal gas constant, and</p></li><li><p>T is the absolute temperature in Kelvin.</p></li></ul><p>In this model, the degradation rate of polymers, such as those used in<strong> EHT cables</strong>, increases exponentially with higher temperatures. For example, a small increase in operating temperature could lead to a <strong>significant acceleration</strong> of polymer degradation, causing a faster breakdown of insulation materials. The Arrhenius model helps engineers estimate the <strong>remaining useful life (RUL)</strong> of materials based on <strong>temperature stress</strong> and adjust system operation accordingly.</p><p>However, while the Arrhenius model works well for simple chemical reactions, it doesn't always accurately predict the degradation behavior of complex polymers like XLPE AND EPR/EPDM, particularly at different temperature ranges or in <strong>real-world applications</strong>. Many polymers exhibit <strong>non-Arrhenius behavior</strong>, where degradation rates do not follow a simple exponential relationship across all temperatures, especially around phase transitions like melting points.</p><div class="captioned-image-container"><figure><a class="image-link image2" target="_blank" href="https://substackcdn.com/image/fetch/$s_!z2Zn!,f_auto,q_auto:good,fl_progressive:steep/https%3A%2F%2Fsubstack-post-media.s3.amazonaws.com%2Fpublic%2Fimages%2Fbb671290-2279-40eb-a18d-2afb8215deb7_742x259.jpeg" data-component-name="Image2ToDOM"><div class="image2-inset"><picture><source type="image/webp" srcset="https://substackcdn.com/image/fetch/$s_!z2Zn!,w_424,c_limit,f_webp,q_auto:good,fl_progressive:steep/https%3A%2F%2Fsubstack-post-media.s3.amazonaws.com%2Fpublic%2Fimages%2Fbb671290-2279-40eb-a18d-2afb8215deb7_742x259.jpeg 424w, https://substackcdn.com/image/fetch/$s_!z2Zn!,w_848,c_limit,f_webp,q_auto:good,fl_progressive:steep/https%3A%2F%2Fsubstack-post-media.s3.amazonaws.com%2Fpublic%2Fimages%2Fbb671290-2279-40eb-a18d-2afb8215deb7_742x259.jpeg 848w, https://substackcdn.com/image/fetch/$s_!z2Zn!,w_1272,c_limit,f_webp,q_auto:good,fl_progressive:steep/https%3A%2F%2Fsubstack-post-media.s3.amazonaws.com%2Fpublic%2Fimages%2Fbb671290-2279-40eb-a18d-2afb8215deb7_742x259.jpeg 1272w, https://substackcdn.com/image/fetch/$s_!z2Zn!,w_1456,c_limit,f_webp,q_auto:good,fl_progressive:steep/https%3A%2F%2Fsubstack-post-media.s3.amazonaws.com%2Fpublic%2Fimages%2Fbb671290-2279-40eb-a18d-2afb8215deb7_742x259.jpeg 1456w" sizes="100vw"><img src="https://substackcdn.com/image/fetch/$s_!z2Zn!,w_1456,c_limit,f_auto,q_auto:good,fl_progressive:steep/https%3A%2F%2Fsubstack-post-media.s3.amazonaws.com%2Fpublic%2Fimages%2Fbb671290-2279-40eb-a18d-2afb8215deb7_742x259.jpeg" width="566" height="197.56603773584905" data-attrs="{&quot;src&quot;:&quot;https://substack-post-media.s3.amazonaws.com/public/images/bb671290-2279-40eb-a18d-2afb8215deb7_742x259.jpeg&quot;,&quot;srcNoWatermark&quot;:null,&quot;fullscreen&quot;:null,&quot;imageSize&quot;:null,&quot;height&quot;:259,&quot;width&quot;:742,&quot;resizeWidth&quot;:566,&quot;bytes&quot;:38371,&quot;alt&quot;:null,&quot;title&quot;:null,&quot;type&quot;:&quot;image/jpeg&quot;,&quot;href&quot;:null,&quot;belowTheFold&quot;:true,&quot;topImage&quot;:false,&quot;internalRedirect&quot;:&quot;https://www.precisionnewsletter.com/i/158449683?img=https%3A%2F%2Fsubstack-post-media.s3.amazonaws.com%2Fpublic%2Fimages%2Fbb671290-2279-40eb-a18d-2afb8215deb7_742x259.jpeg&quot;,&quot;isProcessing&quot;:false,&quot;align&quot;:null,&quot;offset&quot;:false}" class="sizing-normal" alt="" srcset="https://substackcdn.com/image/fetch/$s_!z2Zn!,w_424,c_limit,f_auto,q_auto:good,fl_progressive:steep/https%3A%2F%2Fsubstack-post-media.s3.amazonaws.com%2Fpublic%2Fimages%2Fbb671290-2279-40eb-a18d-2afb8215deb7_742x259.jpeg 424w, https://substackcdn.com/image/fetch/$s_!z2Zn!,w_848,c_limit,f_auto,q_auto:good,fl_progressive:steep/https%3A%2F%2Fsubstack-post-media.s3.amazonaws.com%2Fpublic%2Fimages%2Fbb671290-2279-40eb-a18d-2afb8215deb7_742x259.jpeg 848w, https://substackcdn.com/image/fetch/$s_!z2Zn!,w_1272,c_limit,f_auto,q_auto:good,fl_progressive:steep/https%3A%2F%2Fsubstack-post-media.s3.amazonaws.com%2Fpublic%2Fimages%2Fbb671290-2279-40eb-a18d-2afb8215deb7_742x259.jpeg 1272w, https://substackcdn.com/image/fetch/$s_!z2Zn!,w_1456,c_limit,f_auto,q_auto:good,fl_progressive:steep/https%3A%2F%2Fsubstack-post-media.s3.amazonaws.com%2Fpublic%2Fimages%2Fbb671290-2279-40eb-a18d-2afb8215deb7_742x259.jpeg 1456w" sizes="100vw" loading="lazy"></picture><div></div></div></a><figcaption class="image-caption">Fig 1.3: Non-Arrhenius Behavior of XLPE shown through Arrhenius plot which eventually leads to polymer degradation used in EHT Cables</figcaption></figure></div><div><hr></div><h4><strong>2.Gas Evolution</strong></h4><p>During the radiation-induced degradation of polymers, gases such as hydrogen and methane are evolved. The production of these gases can lead to internal pressure, causing mechanical strain and potentially leading to cracks. The presence of oxygen during aging results in additional gas evolution, including water vapor and carbon dioxide, which can exacerbate the degradation process.</p><h4><strong>3. Cross-Linking and Chain Scission</strong></h4><p>As polymers degrade, molecular changes such as cross-linking and chain scission occur. Cross-linking refers to the formation of new bonds between polymer chains, while chain scission involves the breaking of polymer chains. In the presence of oxygen, chain scission is more dominant, leading to the formation of free radicals that accelerate degradation. Cross-linking typically occurs in oxygen-free environments, changing the material's properties.</p><h4><strong>4. Oxidation and Antioxidant Depletion</strong></h4><p>Oxidation is a major cause of polymer degradation. Antioxidants are added to polymers like XLPE and EPR/EPDM to prevent oxidation by interacting with peroxy radicals and hydro-peroxides. However, over time, antioxidants are depleted, and once they fall below a critical threshold, the material&#8217;s mechanical properties begin to degrade rapidly. Depleted antioxidants result in faster aging, leading to embrittlement and cracking.</p><h4><strong>5. Inhomogeneous Oxidation</strong></h4><p>In real-world environments, oxidation does not occur uniformly. Inhomogeneous oxidation occurs when oxygen diffusion is slower than the rate of degradation, leading to uneven degradation across the material. This can cause localized cracks in heating cables, which eventually propagate and cause failure.</p><h4><strong>Preventing Polymer Aging in EHT Systems</strong></h4><p>Preventing or slowing down polymer aging in EHT systems involves several strategies:</p><h4><strong>Proper Installation:</strong> </h4><p>Ensuring that cables are installed in controlled environments where they are protected from moisture, direct sunlight, and high temperatures can reduce the rate of aging. Installing protective conduits or UV-resistant coatings can further help reducing polymer aging.</p><ol><li><p><strong>Regular Monitoring:</strong> </p><p>Nondestructive methods like capacitive sensing allow for continuous monitoring of cable insulation, enabling early detection of degradation and timely maintenance or replacement.</p></li><li><p><strong>Temperature Management:</strong></p><p>Maintaining operating temperatures within the recommended range for the polymer can prevent accelerated thermal aging.</p></li></ol><h4><strong>Capacitive Sensing for Monitoring Polymer Aging in EHT Cables</strong></h4><p>To detect early signs of polymer aging, <strong>nondestructive monitoring methods</strong> are used. <strong>Capacitive sensing</strong> is a key nondestructive method used to monitor insulation degradation in Electrical Heat Tracing cables, specifically focusing on insulation materials like XLPE and EPR. In the case of <strong>XLPE-insulated heating cables</strong>, capacitive sensing can detect early signs of cracking, brittleness, or other forms of mechanical deterioration caused by prolonged exposure to high temperatures and oxidative processes. For <strong>EPR/EPDM-insulated cables</strong>, the method is highly effective in identifying moisture ingress, which can compromise the electrical performance of the insulation.</p><p>By continuously monitoring the dielectric characteristics, capacitive sensing provides real-time data on the health of the polymer, allowing for timely maintenance and replacement before insulation failure occurs. This is particularly valuable in <strong>nuclear power plants</strong>, where downtime for cable inspection is impractical, and system integrity is critical.</p><h4><strong>Real-Time Monitoring of Heating Cables in Harsh Environments</strong></h4><p>One of the significant advantages of capacitive sensing is its ability to perform in situ, real-time monitoring of cable aging in challenging environments, such as nuclear power plants or extreme industrial settings. Traditional mechanical tests to assess insulation integrity would require cable disassembly or system shutdown, which is often impractical in such environments. Capacitive sensing, however, allows continuous monitoring without physical interference, ensuring that degradation trends are identified early. This capability is particularly useful for EHT cables exposed to high temperatures, chemicals, or moisture, where insulation integrity is critical to maintaining system reliability and safety.</p><h3><strong>Conclusion: </strong></h3><h5><strong>Safeguarding EHT Systems Against Polymer Aging</strong></h5><p>Polymer aging is a critical factor in the reliability of Electrical Heat Tracing systems, particularly for materials like XLPE and EPR/EPDM. Environmental factors such as heat, moisture, UV radiation, and chemical exposure significantly contribute to the degradation of these polymers. Understanding the causes of degradation and implementing preventive strategies can extend the life of EHT cables and reduce the risk of system failures. Nondestructive monitoring methods like capacitive sensing provide a valuable tool for early detection of insulation degradation, enabling proactive maintenance and improved safety in industries like nuclear power.</p><h4><strong>Citations and References:</strong></h4><ol><li><p>Aging Mechanisms and Monitoring of Cable Polymers:</p><p><a href="https://papers.phmsociety.org/index.php/ijphm/article/view/2287">Reference Link</a></p></li><li><p>Degradation of polymeric power cable due to water treeing under AC and DC stress:</p><p><a href="https://www.researchgate.net/publication/261166987_Degradation_of_polymeric_power_cable_due_to_water_treeing_under_AC_and_DC_stress">Reference Link</a></p></li><li><p>Aging Mechanisms and Non-Destructive Aging Indicators of XLPE/CSPE Unshielded LV Nuclear Power Cables Subjected to Simultaneous Radiation-Mechanical Aging:</p><p><a href="https://www.mdpi.com/2073-4360/13/18/3033">Reference Link</a></p></li></ol><div class="subscription-widget-wrap-editor" data-attrs="{&quot;url&quot;:&quot;https://www.precisionnewsletter.com/subscribe?&quot;,&quot;text&quot;:&quot;Subscribe&quot;,&quot;language&quot;:&quot;en&quot;}" data-component-name="SubscribeWidgetToDOM"><div class="subscription-widget show-subscribe"><div class="preamble"><p class="cta-caption">Thanks for reading Precision Newsletter! Subscribe for free to receive new posts and support my work.</p></div><form class="subscription-widget-subscribe"><input type="email" class="email-input" name="email" placeholder="Type your email&#8230;" tabindex="-1"><input type="submit" class="button primary" value="Subscribe"><div class="fake-input-wrapper"><div class="fake-input"></div><div class="fake-button"></div></div></form></div></div>]]></content:encoded></item><item><title><![CDATA[Advancements in Self-Regulating Heating Cable Technology: The Role of Polycrystalline Disc Technology and Barium Titanate (BaTiO₃)]]></title><description><![CDATA[&#8212; How PTC Ceramics Have Revolutionized the Performance and Efficiency of Self-Regulating Heating Cables &#8212;]]></description><link>https://www.precisionnewsletter.com/p/advancements-in-self-regulating-heating</link><guid isPermaLink="false">https://www.precisionnewsletter.com/p/advancements-in-self-regulating-heating</guid><dc:creator><![CDATA[Jinwook Jung]]></dc:creator><pubDate>Sat, 01 Mar 2025 11:02:33 GMT</pubDate><enclosure url="https://substack-post-media.s3.amazonaws.com/public/images/4ffb9a68-d01c-4411-b89a-bca007f196a4_1792x1344.jpeg" length="0" type="image/jpeg"/><content:encoded><![CDATA[<h2><strong>Abstract</strong></h2><p>Polycrystalline disc technology, using barium titanate (BaTiO&#8323;), has transformed self-regulating heating cables, offering precise thermal control and adaptability to various environmental conditions. This article focuses on how <strong>BaTiO&#8323;'s positive temperature coefficient (PTC)</strong> properties enhance the performance of these cables, making them more efficient, durable, and capable of operating across a wide voltage range. Key benefits include voltage flexibility, consistent heat output, and suitability for demanding industries like oil, gas, and power generation. The article highlights the construction, advantages, and industrial applications of BaTiO&#8323;-based polycrystalline disc heating cables, showcasing their role in the advancement of thermal management technology.</p><div class="captioned-image-container"><figure><a class="image-link image2 is-viewable-img" target="_blank" href="https://substackcdn.com/image/fetch/$s_!hprN!,f_auto,q_auto:good,fl_progressive:steep/https%3A%2F%2Fsubstack-post-media.s3.amazonaws.com%2Fpublic%2Fimages%2F4d65bfaf-a764-4e87-b95b-fa190b12008f_422x311.jpeg" data-component-name="Image2ToDOM"><div class="image2-inset"><picture><source type="image/webp" srcset="https://substackcdn.com/image/fetch/$s_!hprN!,w_424,c_limit,f_webp,q_auto:good,fl_progressive:steep/https%3A%2F%2Fsubstack-post-media.s3.amazonaws.com%2Fpublic%2Fimages%2F4d65bfaf-a764-4e87-b95b-fa190b12008f_422x311.jpeg 424w, https://substackcdn.com/image/fetch/$s_!hprN!,w_848,c_limit,f_webp,q_auto:good,fl_progressive:steep/https%3A%2F%2Fsubstack-post-media.s3.amazonaws.com%2Fpublic%2Fimages%2F4d65bfaf-a764-4e87-b95b-fa190b12008f_422x311.jpeg 848w, https://substackcdn.com/image/fetch/$s_!hprN!,w_1272,c_limit,f_webp,q_auto:good,fl_progressive:steep/https%3A%2F%2Fsubstack-post-media.s3.amazonaws.com%2Fpublic%2Fimages%2F4d65bfaf-a764-4e87-b95b-fa190b12008f_422x311.jpeg 1272w, https://substackcdn.com/image/fetch/$s_!hprN!,w_1456,c_limit,f_webp,q_auto:good,fl_progressive:steep/https%3A%2F%2Fsubstack-post-media.s3.amazonaws.com%2Fpublic%2Fimages%2F4d65bfaf-a764-4e87-b95b-fa190b12008f_422x311.jpeg 1456w" sizes="100vw"><img src="https://substackcdn.com/image/fetch/$s_!hprN!,w_1456,c_limit,f_auto,q_auto:good,fl_progressive:steep/https%3A%2F%2Fsubstack-post-media.s3.amazonaws.com%2Fpublic%2Fimages%2F4d65bfaf-a764-4e87-b95b-fa190b12008f_422x311.jpeg" width="422" height="311" data-attrs="{&quot;src&quot;:&quot;https://substack-post-media.s3.amazonaws.com/public/images/4d65bfaf-a764-4e87-b95b-fa190b12008f_422x311.jpeg&quot;,&quot;srcNoWatermark&quot;:null,&quot;fullscreen&quot;:null,&quot;imageSize&quot;:null,&quot;height&quot;:311,&quot;width&quot;:422,&quot;resizeWidth&quot;:null,&quot;bytes&quot;:22045,&quot;alt&quot;:&quot;&quot;,&quot;title&quot;:null,&quot;type&quot;:&quot;image/jpeg&quot;,&quot;href&quot;:null,&quot;belowTheFold&quot;:false,&quot;topImage&quot;:true,&quot;internalRedirect&quot;:&quot;https://www.precisionnewsletter.com/i/158097069?img=https%3A%2F%2Fsubstack-post-media.s3.amazonaws.com%2Fpublic%2Fimages%2F4d65bfaf-a764-4e87-b95b-fa190b12008f_422x311.jpeg&quot;,&quot;isProcessing&quot;:false,&quot;align&quot;:null,&quot;offset&quot;:false}" class="sizing-normal" alt="" title="" srcset="https://substackcdn.com/image/fetch/$s_!hprN!,w_424,c_limit,f_auto,q_auto:good,fl_progressive:steep/https%3A%2F%2Fsubstack-post-media.s3.amazonaws.com%2Fpublic%2Fimages%2F4d65bfaf-a764-4e87-b95b-fa190b12008f_422x311.jpeg 424w, https://substackcdn.com/image/fetch/$s_!hprN!,w_848,c_limit,f_auto,q_auto:good,fl_progressive:steep/https%3A%2F%2Fsubstack-post-media.s3.amazonaws.com%2Fpublic%2Fimages%2F4d65bfaf-a764-4e87-b95b-fa190b12008f_422x311.jpeg 848w, https://substackcdn.com/image/fetch/$s_!hprN!,w_1272,c_limit,f_auto,q_auto:good,fl_progressive:steep/https%3A%2F%2Fsubstack-post-media.s3.amazonaws.com%2Fpublic%2Fimages%2F4d65bfaf-a764-4e87-b95b-fa190b12008f_422x311.jpeg 1272w, https://substackcdn.com/image/fetch/$s_!hprN!,w_1456,c_limit,f_auto,q_auto:good,fl_progressive:steep/https%3A%2F%2Fsubstack-post-media.s3.amazonaws.com%2Fpublic%2Fimages%2F4d65bfaf-a764-4e87-b95b-fa190b12008f_422x311.jpeg 1456w" sizes="100vw" fetchpriority="high"></picture><div class="image-link-expand"><div class="pencraft pc-display-flex pc-gap-8 pc-reset"><button tabindex="0" type="button" class="pencraft pc-reset pencraft icon-container restack-image"><svg role="img" width="20" height="20" viewBox="0 0 20 20" fill="none" stroke-width="1.5" stroke="var(--color-fg-primary)" stroke-linecap="round" stroke-linejoin="round" xmlns="http://www.w3.org/2000/svg"><g><title></title><path d="M2.53001 7.81595C3.49179 4.73911 6.43281 2.5 9.91173 2.5C13.1684 2.5 15.9537 4.46214 17.0852 7.23684L17.6179 8.67647M17.6179 8.67647L18.5002 4.26471M17.6179 8.67647L13.6473 6.91176M17.4995 12.1841C16.5378 15.2609 13.5967 17.5 10.1178 17.5C6.86118 17.5 4.07589 15.5379 2.94432 12.7632L2.41165 11.3235M2.41165 11.3235L1.5293 15.7353M2.41165 11.3235L6.38224 13.0882"></path></g></svg></button><button tabindex="0" type="button" class="pencraft pc-reset pencraft icon-container view-image"><svg xmlns="http://www.w3.org/2000/svg" width="20" height="20" viewBox="0 0 24 24" fill="none" stroke="currentColor" stroke-width="2" stroke-linecap="round" stroke-linejoin="round" class="lucide lucide-maximize2 lucide-maximize-2"><polyline points="15 3 21 3 21 9"></polyline><polyline points="9 21 3 21 3 15"></polyline><line x1="21" x2="14" y1="3" y2="10"></line><line x1="3" x2="10" y1="21" y2="14"></line></svg></button></div></div></div></a></figure></div><h3><strong>Introduction to Polycrystalline Barium Titanate in Self-Regulating Heating Cables</strong></h3><p>Self-regulating heating cables are an essential part of industries requiring accurate temperature control, such as freeze protection and process temperature maintenance. However, conventional systems often face limitations due to voltage sensitivity and overheating risks. Polycrystalline disc technology, powered by barium titanate (BaTiO&#8323;), offers a breakthrough solution by providing self-limiting heat output and improved performance.</p><div class="subscription-widget-wrap-editor" data-attrs="{&quot;url&quot;:&quot;https://www.precisionnewsletter.com/subscribe?&quot;,&quot;text&quot;:&quot;Subscribe&quot;,&quot;language&quot;:&quot;en&quot;}" data-component-name="SubscribeWidgetToDOM"><div class="subscription-widget show-subscribe"><div class="preamble"><p class="cta-caption">Thanks for reading Precision Newsletter! Subscribe for free to receive new posts and support my work.</p></div><form class="subscription-widget-subscribe"><input type="email" class="email-input" name="email" placeholder="Type your email&#8230;" tabindex="-1"><input type="submit" class="button primary" value="Subscribe"><div class="fake-input-wrapper"><div class="fake-input"></div><div class="fake-button"></div></div></form></div></div><p>This article explores how BaTiO&#8323;-based polycrystalline discs enable efficient, flexible, and reliable heating cables, offering advantages like wide voltage operation and durability. We examine the construction and benefits of these cables and discuss their application in industrial settings, emphasizing their role in advancing thermal management solutions.</p><div><hr></div><h4><strong>Polycrystalline Disc Technology: A Breakthrough in Heating Systems</strong></h4><p>Polycrystalline power discs are a type of <strong>ceramic heating element</strong> used in self-regulating heating cables. These discs which utilize PTC ceramic technology offer a unique solution to common limitations faced by conventional heating cables. These discs are manufactured from <strong>barium titanate (BaTiO&#8323;)</strong>, a ceramic material known for its strong temperature-dependent resistance characteristics.This technology harnesses the ability of BaTiO&#8323; to increase its electrical resistance sharply as temperature rises, allowing for highly efficient and self-regulating heating behavior.</p><p>Traditionally, heating cables suffered from sensitivity to voltage fluctuations and high operating temperatures, which could lead to system inefficiencies or failures. In contrast, polycrystalline disc technology provides a stable and self-limiting output, where the heating element responds to changes in temperature by altering its resistance. As a result, these cables maintain optimal heating levels without the risk of overheating or system damage.</p><div><hr></div><div class="captioned-image-container"><figure><a class="image-link image2" target="_blank" href="https://substackcdn.com/image/fetch/$s_!AHRK!,f_auto,q_auto:good,fl_progressive:steep/https%3A%2F%2Fsubstack-post-media.s3.amazonaws.com%2Fpublic%2Fimages%2Fa1a2853c-c003-47a9-8dc7-4cb3ec82eb1a_295x177.jpeg" data-component-name="Image2ToDOM"><div class="image2-inset"><picture><source type="image/webp" srcset="https://substackcdn.com/image/fetch/$s_!AHRK!,w_424,c_limit,f_webp,q_auto:good,fl_progressive:steep/https%3A%2F%2Fsubstack-post-media.s3.amazonaws.com%2Fpublic%2Fimages%2Fa1a2853c-c003-47a9-8dc7-4cb3ec82eb1a_295x177.jpeg 424w, https://substackcdn.com/image/fetch/$s_!AHRK!,w_848,c_limit,f_webp,q_auto:good,fl_progressive:steep/https%3A%2F%2Fsubstack-post-media.s3.amazonaws.com%2Fpublic%2Fimages%2Fa1a2853c-c003-47a9-8dc7-4cb3ec82eb1a_295x177.jpeg 848w, https://substackcdn.com/image/fetch/$s_!AHRK!,w_1272,c_limit,f_webp,q_auto:good,fl_progressive:steep/https%3A%2F%2Fsubstack-post-media.s3.amazonaws.com%2Fpublic%2Fimages%2Fa1a2853c-c003-47a9-8dc7-4cb3ec82eb1a_295x177.jpeg 1272w, https://substackcdn.com/image/fetch/$s_!AHRK!,w_1456,c_limit,f_webp,q_auto:good,fl_progressive:steep/https%3A%2F%2Fsubstack-post-media.s3.amazonaws.com%2Fpublic%2Fimages%2Fa1a2853c-c003-47a9-8dc7-4cb3ec82eb1a_295x177.jpeg 1456w" sizes="100vw"><img src="https://substackcdn.com/image/fetch/$s_!AHRK!,w_1456,c_limit,f_auto,q_auto:good,fl_progressive:steep/https%3A%2F%2Fsubstack-post-media.s3.amazonaws.com%2Fpublic%2Fimages%2Fa1a2853c-c003-47a9-8dc7-4cb3ec82eb1a_295x177.jpeg" width="497" height="298.2" data-attrs="{&quot;src&quot;:&quot;https://substack-post-media.s3.amazonaws.com/public/images/a1a2853c-c003-47a9-8dc7-4cb3ec82eb1a_295x177.jpeg&quot;,&quot;srcNoWatermark&quot;:null,&quot;fullscreen&quot;:null,&quot;imageSize&quot;:null,&quot;height&quot;:177,&quot;width&quot;:295,&quot;resizeWidth&quot;:497,&quot;bytes&quot;:18447,&quot;alt&quot;:null,&quot;title&quot;:null,&quot;type&quot;:&quot;image/jpeg&quot;,&quot;href&quot;:null,&quot;belowTheFold&quot;:true,&quot;topImage&quot;:false,&quot;internalRedirect&quot;:&quot;https://www.precisionnewsletter.com/i/158097069?img=https%3A%2F%2Fsubstack-post-media.s3.amazonaws.com%2Fpublic%2Fimages%2Fa1a2853c-c003-47a9-8dc7-4cb3ec82eb1a_295x177.jpeg&quot;,&quot;isProcessing&quot;:false,&quot;align&quot;:null,&quot;offset&quot;:false}" class="sizing-normal" alt="" srcset="https://substackcdn.com/image/fetch/$s_!AHRK!,w_424,c_limit,f_auto,q_auto:good,fl_progressive:steep/https%3A%2F%2Fsubstack-post-media.s3.amazonaws.com%2Fpublic%2Fimages%2Fa1a2853c-c003-47a9-8dc7-4cb3ec82eb1a_295x177.jpeg 424w, https://substackcdn.com/image/fetch/$s_!AHRK!,w_848,c_limit,f_auto,q_auto:good,fl_progressive:steep/https%3A%2F%2Fsubstack-post-media.s3.amazonaws.com%2Fpublic%2Fimages%2Fa1a2853c-c003-47a9-8dc7-4cb3ec82eb1a_295x177.jpeg 848w, https://substackcdn.com/image/fetch/$s_!AHRK!,w_1272,c_limit,f_auto,q_auto:good,fl_progressive:steep/https%3A%2F%2Fsubstack-post-media.s3.amazonaws.com%2Fpublic%2Fimages%2Fa1a2853c-c003-47a9-8dc7-4cb3ec82eb1a_295x177.jpeg 1272w, https://substackcdn.com/image/fetch/$s_!AHRK!,w_1456,c_limit,f_auto,q_auto:good,fl_progressive:steep/https%3A%2F%2Fsubstack-post-media.s3.amazonaws.com%2Fpublic%2Fimages%2Fa1a2853c-c003-47a9-8dc7-4cb3ec82eb1a_295x177.jpeg 1456w" sizes="100vw" loading="lazy"></picture><div></div></div></a><figcaption class="image-caption"><em>Fig 1.1: Diagram of polycrystalline power discs manufactured to required dimensions by compression molding BaTiO&#8323; and additives to desired shape. The metallized surfaces on either side allow current to flow when voltage is applied. As the disc heats up, its resistance increases, reducing the current flow, which lowers heat output. This self-regulating behavior ensures consistent heating and prevents overheating, making it ideal for applications like pipeline freeze protection.</em></figcaption></figure></div><div><hr></div><div class="captioned-image-container"><figure><a class="image-link image2" target="_blank" href="https://substackcdn.com/image/fetch/$s_!aF19!,f_auto,q_auto:good,fl_progressive:steep/https%3A%2F%2Fsubstack-post-media.s3.amazonaws.com%2Fpublic%2Fimages%2F44c12634-8e32-4f53-b58d-37449eb817b2_302x232.png" data-component-name="Image2ToDOM"><div class="image2-inset"><picture><source type="image/webp" srcset="https://substackcdn.com/image/fetch/$s_!aF19!,w_424,c_limit,f_webp,q_auto:good,fl_progressive:steep/https%3A%2F%2Fsubstack-post-media.s3.amazonaws.com%2Fpublic%2Fimages%2F44c12634-8e32-4f53-b58d-37449eb817b2_302x232.png 424w, https://substackcdn.com/image/fetch/$s_!aF19!,w_848,c_limit,f_webp,q_auto:good,fl_progressive:steep/https%3A%2F%2Fsubstack-post-media.s3.amazonaws.com%2Fpublic%2Fimages%2F44c12634-8e32-4f53-b58d-37449eb817b2_302x232.png 848w, https://substackcdn.com/image/fetch/$s_!aF19!,w_1272,c_limit,f_webp,q_auto:good,fl_progressive:steep/https%3A%2F%2Fsubstack-post-media.s3.amazonaws.com%2Fpublic%2Fimages%2F44c12634-8e32-4f53-b58d-37449eb817b2_302x232.png 1272w, https://substackcdn.com/image/fetch/$s_!aF19!,w_1456,c_limit,f_webp,q_auto:good,fl_progressive:steep/https%3A%2F%2Fsubstack-post-media.s3.amazonaws.com%2Fpublic%2Fimages%2F44c12634-8e32-4f53-b58d-37449eb817b2_302x232.png 1456w" sizes="100vw"><img src="https://substackcdn.com/image/fetch/$s_!aF19!,w_1456,c_limit,f_auto,q_auto:good,fl_progressive:steep/https%3A%2F%2Fsubstack-post-media.s3.amazonaws.com%2Fpublic%2Fimages%2F44c12634-8e32-4f53-b58d-37449eb817b2_302x232.png" width="462" height="354.9139072847682" data-attrs="{&quot;src&quot;:&quot;https://substack-post-media.s3.amazonaws.com/public/images/44c12634-8e32-4f53-b58d-37449eb817b2_302x232.png&quot;,&quot;srcNoWatermark&quot;:null,&quot;fullscreen&quot;:null,&quot;imageSize&quot;:null,&quot;height&quot;:232,&quot;width&quot;:302,&quot;resizeWidth&quot;:462,&quot;bytes&quot;:17597,&quot;alt&quot;:null,&quot;title&quot;:null,&quot;type&quot;:&quot;image/png&quot;,&quot;href&quot;:null,&quot;belowTheFold&quot;:true,&quot;topImage&quot;:false,&quot;internalRedirect&quot;:&quot;https://www.precisionnewsletter.com/i/158097069?img=https%3A%2F%2Fsubstack-post-media.s3.amazonaws.com%2Fpublic%2Fimages%2F44c12634-8e32-4f53-b58d-37449eb817b2_302x232.png&quot;,&quot;isProcessing&quot;:false,&quot;align&quot;:null,&quot;offset&quot;:false}" class="sizing-normal" alt="" srcset="https://substackcdn.com/image/fetch/$s_!aF19!,w_424,c_limit,f_auto,q_auto:good,fl_progressive:steep/https%3A%2F%2Fsubstack-post-media.s3.amazonaws.com%2Fpublic%2Fimages%2F44c12634-8e32-4f53-b58d-37449eb817b2_302x232.png 424w, https://substackcdn.com/image/fetch/$s_!aF19!,w_848,c_limit,f_auto,q_auto:good,fl_progressive:steep/https%3A%2F%2Fsubstack-post-media.s3.amazonaws.com%2Fpublic%2Fimages%2F44c12634-8e32-4f53-b58d-37449eb817b2_302x232.png 848w, https://substackcdn.com/image/fetch/$s_!aF19!,w_1272,c_limit,f_auto,q_auto:good,fl_progressive:steep/https%3A%2F%2Fsubstack-post-media.s3.amazonaws.com%2Fpublic%2Fimages%2F44c12634-8e32-4f53-b58d-37449eb817b2_302x232.png 1272w, https://substackcdn.com/image/fetch/$s_!aF19!,w_1456,c_limit,f_auto,q_auto:good,fl_progressive:steep/https%3A%2F%2Fsubstack-post-media.s3.amazonaws.com%2Fpublic%2Fimages%2F44c12634-8e32-4f53-b58d-37449eb817b2_302x232.png 1456w" sizes="100vw" loading="lazy"></picture><div></div></div></a><figcaption class="image-caption">Fig 1.2: Typical resistance versus temperature characteristics of PTC heating ceramic.</figcaption></figure></div><div><hr></div><h4><strong>The Role of Barium Titanate in Self-Regulating Cables</strong></h4><p>At the core of polycrystalline disc technology is the use of barium titanate, a PTC ceramic material that has revolutionized the design and performance of self-regulating heating cables. Barium titanate, doped with rare earth elements, exhibits a sharp increase in resistance when the material's temperature exceeds its <strong>Curie point</strong>. Curie Point is defined as the exact reproducible temperature at which a ferromagnetic material loses its magnetism, resulting in a constant temperature until the heating coil is turned off. This property makes it ideal for applications where precise temperature control is essential.</p><p>When a voltage is applied to the polycrystalline disc, the barium titanate heats up rapidly. As the disc's temperature approaches the Curie point, its resistance increases dramatically, reducing the current flow and preventing further temperature rise. This self-regulating feature ensures that the cable delivers consistent heat output, independent of fluctuations in voltage or external environmental conditions.</p><div><hr></div><h4><strong>Construction and Performance of Polycrystalline Disc-Based Cables</strong></h4><p>The construction of polycrystalline disc-based heating cables is designed to leverage the unique properties of barium titanate. These cables feature discs made through compression molding of BaTiO&#8323; with specific additives, followed by firing in an oxygen-rich environment. The metallized surfaces of the discs allow for easy electrical connection. The discs are then incorporated into a dielectric carrier strip made of high-temperature materials like <strong>perfluoroalkoxy (PFA)</strong>, ensuring the cable can withstand temperatures up to <strong>285&#176;C</strong>.</p><p>This advanced construction technique allows polycrystalline power discs to be spaced evenly along the cable, typically at <strong>4-inch intervals</strong>, and connected to flat braided copper conductors. The copper not only supplies power to the discs but also serves as a heat diffuser, distributing the generated heat along the length of the cable. The entire assembly is insulated with fluorinated <strong>ethylene propylene (FEP)</strong> to provide additional protection and ensure long-term durability.</p><p>Performance tests have shown that polycrystalline disc-based cables exhibit exceptional stability under various operating conditions. Whether exposed to high-voltage stress, thermal cycling, or extreme heat shock, the cables maintain their output with minimal variation. For example, tests involving cycles of alternating high-temperature steam and cold water demonstrated only a 3% change in heating output after thousands of cycles, highlighting the durability and reliability of these cables.</p><div class="captioned-image-container"><figure><a class="image-link image2" target="_blank" href="https://substackcdn.com/image/fetch/$s_!KVc-!,f_auto,q_auto:good,fl_progressive:steep/https%3A%2F%2Fsubstack-post-media.s3.amazonaws.com%2Fpublic%2Fimages%2F3957462d-9472-4442-8016-0e963886f6bc_437x184.jpeg" data-component-name="Image2ToDOM"><div class="image2-inset"><picture><source type="image/webp" srcset="https://substackcdn.com/image/fetch/$s_!KVc-!,w_424,c_limit,f_webp,q_auto:good,fl_progressive:steep/https%3A%2F%2Fsubstack-post-media.s3.amazonaws.com%2Fpublic%2Fimages%2F3957462d-9472-4442-8016-0e963886f6bc_437x184.jpeg 424w, https://substackcdn.com/image/fetch/$s_!KVc-!,w_848,c_limit,f_webp,q_auto:good,fl_progressive:steep/https%3A%2F%2Fsubstack-post-media.s3.amazonaws.com%2Fpublic%2Fimages%2F3957462d-9472-4442-8016-0e963886f6bc_437x184.jpeg 848w, https://substackcdn.com/image/fetch/$s_!KVc-!,w_1272,c_limit,f_webp,q_auto:good,fl_progressive:steep/https%3A%2F%2Fsubstack-post-media.s3.amazonaws.com%2Fpublic%2Fimages%2F3957462d-9472-4442-8016-0e963886f6bc_437x184.jpeg 1272w, https://substackcdn.com/image/fetch/$s_!KVc-!,w_1456,c_limit,f_webp,q_auto:good,fl_progressive:steep/https%3A%2F%2Fsubstack-post-media.s3.amazonaws.com%2Fpublic%2Fimages%2F3957462d-9472-4442-8016-0e963886f6bc_437x184.jpeg 1456w" sizes="100vw"><img src="https://substackcdn.com/image/fetch/$s_!KVc-!,w_1456,c_limit,f_auto,q_auto:good,fl_progressive:steep/https%3A%2F%2Fsubstack-post-media.s3.amazonaws.com%2Fpublic%2Fimages%2F3957462d-9472-4442-8016-0e963886f6bc_437x184.jpeg" width="485" height="204.21052631578948" data-attrs="{&quot;src&quot;:&quot;https://substack-post-media.s3.amazonaws.com/public/images/3957462d-9472-4442-8016-0e963886f6bc_437x184.jpeg&quot;,&quot;srcNoWatermark&quot;:null,&quot;fullscreen&quot;:null,&quot;imageSize&quot;:null,&quot;height&quot;:184,&quot;width&quot;:437,&quot;resizeWidth&quot;:485,&quot;bytes&quot;:22867,&quot;alt&quot;:null,&quot;title&quot;:null,&quot;type&quot;:&quot;image/jpeg&quot;,&quot;href&quot;:null,&quot;belowTheFold&quot;:true,&quot;topImage&quot;:false,&quot;internalRedirect&quot;:&quot;https://www.precisionnewsletter.com/i/158097069?img=https%3A%2F%2Fsubstack-post-media.s3.amazonaws.com%2Fpublic%2Fimages%2F3957462d-9472-4442-8016-0e963886f6bc_437x184.jpeg&quot;,&quot;isProcessing&quot;:false,&quot;align&quot;:null,&quot;offset&quot;:false}" class="sizing-normal" alt="" srcset="https://substackcdn.com/image/fetch/$s_!KVc-!,w_424,c_limit,f_auto,q_auto:good,fl_progressive:steep/https%3A%2F%2Fsubstack-post-media.s3.amazonaws.com%2Fpublic%2Fimages%2F3957462d-9472-4442-8016-0e963886f6bc_437x184.jpeg 424w, https://substackcdn.com/image/fetch/$s_!KVc-!,w_848,c_limit,f_auto,q_auto:good,fl_progressive:steep/https%3A%2F%2Fsubstack-post-media.s3.amazonaws.com%2Fpublic%2Fimages%2F3957462d-9472-4442-8016-0e963886f6bc_437x184.jpeg 848w, https://substackcdn.com/image/fetch/$s_!KVc-!,w_1272,c_limit,f_auto,q_auto:good,fl_progressive:steep/https%3A%2F%2Fsubstack-post-media.s3.amazonaws.com%2Fpublic%2Fimages%2F3957462d-9472-4442-8016-0e963886f6bc_437x184.jpeg 1272w, https://substackcdn.com/image/fetch/$s_!KVc-!,w_1456,c_limit,f_auto,q_auto:good,fl_progressive:steep/https%3A%2F%2Fsubstack-post-media.s3.amazonaws.com%2Fpublic%2Fimages%2F3957462d-9472-4442-8016-0e963886f6bc_437x184.jpeg 1456w" sizes="100vw" loading="lazy"></picture><div></div></div></a><figcaption class="image-caption"><em>Fig 1.3: BaTiO&#8323;-Based Heating Cables embedded with flat braided heat-diffusing power conductors and primary dielectric jacket for insulation and protection.</em></figcaption></figure></div><div><hr></div><h4><strong>Benefits of BaTiO&#8323; in Self-Regulating Heating Cables</strong></h4><p>1. <strong>Temperature Regulation:</strong> The PTC characteristics of BaTiO&#8323; make it ideal for applications where temperature regulation is critical. By increasing resistance with rising temperatures, BaTiO&#8323; prevents overheating, ensuring that the cable delivers only the required heat.</p><ol start="2"><li><p><strong>Energy Efficiency:</strong> The self-limiting nature of BaTiO&#8323;-based cables reduces energy consumption by adjusting the heat output according to the ambient temperature. This leads to significant energy savings, especially in applications that require long-term or continuous heating.</p></li><li><p><strong>Voltage Independence:</strong> One of the key advantages of BaTiO&#8323;-based cables is their ability to operate across a wide range of voltages without significant changes in performance. Whether operating at low or high voltages, the self-limiting feature remains consistent, making these cables highly versatile for various industrial applications.</p></li><li><p><strong>Durability and Reliability:</strong> The high-temperature resistance and robust construction of BaTiO&#8323;-based cables ensure their durability even in extreme operating conditions. These cables are designed to withstand thermal cycling, high-voltage stress, and heat shock, making them reliable for critical industrial operations.</p></li></ol><h4><strong>Approval Testing for Polycrystalline Power Disc Cables</strong></h4><p>Polycrystalline power disc cables undergo several rigorous tests to ensure their safety, durability, and performance in extreme conditions. Such tests confirm the cable&#8217;s reliability for use in demanding industrial environments. These tests include:</p><ul><li><p><strong>Dielectric Test</strong>: Conducted at high temperatures (450&#176;F) to check insulation integrity after water submersion.</p></li><li><p><strong>Deformation and Impact Tests</strong>: Evaluated mechanical resilience under heavy load (225 lb) and impact at low temperatures (-40&#176;F) without electrical breakdown.</p></li><li><p><strong>Cold Bend Test</strong>: Tested flexibility at -60&#176;F to ensure the cable&#8217;s insulation remains intact under extreme cold conditions.</p></li><li><p><strong>T-Rating Verification</strong>: Ensured the cable could handle different voltages (120V, 240V, 277V) without exceeding the maximum temperature rating (T-3). The test involved placing the cable in an oven and raising temperatures incrementally to verify the sheath temperature stability.</p></li></ul><div class="captioned-image-container"><figure><a class="image-link image2 is-viewable-img" target="_blank" href="https://substackcdn.com/image/fetch/$s_!3pp8!,f_auto,q_auto:good,fl_progressive:steep/https%3A%2F%2Fsubstack-post-media.s3.amazonaws.com%2Fpublic%2Fimages%2Fdd514d43-4287-4998-9306-8aedb4d737cc_325x304.png" data-component-name="Image2ToDOM"><div class="image2-inset"><picture><source type="image/webp" srcset="https://substackcdn.com/image/fetch/$s_!3pp8!,w_424,c_limit,f_webp,q_auto:good,fl_progressive:steep/https%3A%2F%2Fsubstack-post-media.s3.amazonaws.com%2Fpublic%2Fimages%2Fdd514d43-4287-4998-9306-8aedb4d737cc_325x304.png 424w, https://substackcdn.com/image/fetch/$s_!3pp8!,w_848,c_limit,f_webp,q_auto:good,fl_progressive:steep/https%3A%2F%2Fsubstack-post-media.s3.amazonaws.com%2Fpublic%2Fimages%2Fdd514d43-4287-4998-9306-8aedb4d737cc_325x304.png 848w, https://substackcdn.com/image/fetch/$s_!3pp8!,w_1272,c_limit,f_webp,q_auto:good,fl_progressive:steep/https%3A%2F%2Fsubstack-post-media.s3.amazonaws.com%2Fpublic%2Fimages%2Fdd514d43-4287-4998-9306-8aedb4d737cc_325x304.png 1272w, https://substackcdn.com/image/fetch/$s_!3pp8!,w_1456,c_limit,f_webp,q_auto:good,fl_progressive:steep/https%3A%2F%2Fsubstack-post-media.s3.amazonaws.com%2Fpublic%2Fimages%2Fdd514d43-4287-4998-9306-8aedb4d737cc_325x304.png 1456w" sizes="100vw"><img src="https://substackcdn.com/image/fetch/$s_!3pp8!,w_1456,c_limit,f_auto,q_auto:good,fl_progressive:steep/https%3A%2F%2Fsubstack-post-media.s3.amazonaws.com%2Fpublic%2Fimages%2Fdd514d43-4287-4998-9306-8aedb4d737cc_325x304.png" width="513" height="479.8523076923077" data-attrs="{&quot;src&quot;:&quot;https://substack-post-media.s3.amazonaws.com/public/images/dd514d43-4287-4998-9306-8aedb4d737cc_325x304.png&quot;,&quot;srcNoWatermark&quot;:null,&quot;fullscreen&quot;:null,&quot;imageSize&quot;:null,&quot;height&quot;:304,&quot;width&quot;:325,&quot;resizeWidth&quot;:513,&quot;bytes&quot;:16113,&quot;alt&quot;:null,&quot;title&quot;:null,&quot;type&quot;:&quot;image/png&quot;,&quot;href&quot;:null,&quot;belowTheFold&quot;:true,&quot;topImage&quot;:false,&quot;internalRedirect&quot;:&quot;https://www.precisionnewsletter.com/i/158097069?img=https%3A%2F%2Fsubstack-post-media.s3.amazonaws.com%2Fpublic%2Fimages%2Fdd514d43-4287-4998-9306-8aedb4d737cc_325x304.png&quot;,&quot;isProcessing&quot;:false,&quot;align&quot;:null,&quot;offset&quot;:false}" class="sizing-normal" alt="" srcset="https://substackcdn.com/image/fetch/$s_!3pp8!,w_424,c_limit,f_auto,q_auto:good,fl_progressive:steep/https%3A%2F%2Fsubstack-post-media.s3.amazonaws.com%2Fpublic%2Fimages%2Fdd514d43-4287-4998-9306-8aedb4d737cc_325x304.png 424w, https://substackcdn.com/image/fetch/$s_!3pp8!,w_848,c_limit,f_auto,q_auto:good,fl_progressive:steep/https%3A%2F%2Fsubstack-post-media.s3.amazonaws.com%2Fpublic%2Fimages%2Fdd514d43-4287-4998-9306-8aedb4d737cc_325x304.png 848w, https://substackcdn.com/image/fetch/$s_!3pp8!,w_1272,c_limit,f_auto,q_auto:good,fl_progressive:steep/https%3A%2F%2Fsubstack-post-media.s3.amazonaws.com%2Fpublic%2Fimages%2Fdd514d43-4287-4998-9306-8aedb4d737cc_325x304.png 1272w, https://substackcdn.com/image/fetch/$s_!3pp8!,w_1456,c_limit,f_auto,q_auto:good,fl_progressive:steep/https%3A%2F%2Fsubstack-post-media.s3.amazonaws.com%2Fpublic%2Fimages%2Fdd514d43-4287-4998-9306-8aedb4d737cc_325x304.png 1456w" sizes="100vw" loading="lazy"></picture><div class="image-link-expand"><div class="pencraft pc-display-flex pc-gap-8 pc-reset"><button tabindex="0" type="button" class="pencraft pc-reset pencraft icon-container restack-image"><svg role="img" width="20" height="20" viewBox="0 0 20 20" fill="none" stroke-width="1.5" stroke="var(--color-fg-primary)" stroke-linecap="round" stroke-linejoin="round" xmlns="http://www.w3.org/2000/svg"><g><title></title><path d="M2.53001 7.81595C3.49179 4.73911 6.43281 2.5 9.91173 2.5C13.1684 2.5 15.9537 4.46214 17.0852 7.23684L17.6179 8.67647M17.6179 8.67647L18.5002 4.26471M17.6179 8.67647L13.6473 6.91176M17.4995 12.1841C16.5378 15.2609 13.5967 17.5 10.1178 17.5C6.86118 17.5 4.07589 15.5379 2.94432 12.7632L2.41165 11.3235M2.41165 11.3235L1.5293 15.7353M2.41165 11.3235L6.38224 13.0882"></path></g></svg></button><button tabindex="0" type="button" class="pencraft pc-reset pencraft icon-container view-image"><svg xmlns="http://www.w3.org/2000/svg" width="20" height="20" viewBox="0 0 24 24" fill="none" stroke="currentColor" stroke-width="2" stroke-linecap="round" stroke-linejoin="round" class="lucide lucide-maximize2 lucide-maximize-2"><polyline points="15 3 21 3 21 9"></polyline><polyline points="9 21 3 21 3 15"></polyline><line x1="21" x2="14" y1="3" y2="10"></line><line x1="3" x2="10" y1="21" y2="14"></line></svg></button></div></div></div></a><figcaption class="image-caption"><em>Fig 1.4: Graph shows results of test for polycrystalline disc cable utilizing T, the temperature read at intercept temperature, taken as maximum sheath temperature.</em></figcaption></figure></div><div><hr></div><h4><strong>Applications of BaTiO&#8323;-Based Self-Regulating Heating Cables</strong></h4><p>The versatility and reliability of polycrystalline BaTiO&#8323; have made it a cornerstone material in self-regulating electric cables used in a wide range of industries. These cables are commonly employed for freeze protection in pipelines, maintaining process temperatures in chemical plants, and providing thaw-out capabilities for process-filled piping systems. Their ability to regulate temperature without the need for complex control systems makes them an ideal solution for both industrial and commercial applications.</p><p>For example, in refineries and chemical plants, BaTiO&#8323;-based self-regulating cables are used to maintain consistent temperatures in pipelines carrying viscous fluids or sensitive chemicals. These cables are also favored in environments where safety and energy efficiency are paramount, as their self-regulating properties minimize the risk of overheating and energy wastage. Building on the versatility and reliability of polycrystalline BaTiO&#8323;, these self-regulating electric cables are instrumental in a variety of real-world applications:</p><h4>1. <strong>6-inch heavy distillate pipeline</strong>: </h4><p>The installation of Polycrystalline Power Disc SR heating cables on a 6-inch pipeline with 1.5 inches of fiberglass insulation highlights their role in temperature control. The system maintained a consistent temperature of 120&#176;F (49&#176;C) through the use of a microprocessor-based powerline carrier control system, ensuring efficient operation with an output of 18 W/ft (59 W/m). This setup is a great example of how these heating cables are employed in industrial processes that require precise temperature regulation to prevent issues such as crystallization or flow restriction in pipelines.</p><h4>2. <strong>Freeze protection for instrumentation level bridles</strong>: </h4><p>The use of low-voltage cables for freeze protection on instrumentation level bridles demonstrates the importance of maintaining safe and functional equipment in extreme cold conditions. By using a 24-V power distribution system, this setup ensures that sensitive instrumentation is protected from freezing, a critical application in harsh environments where equipment failure could lead to significant operational issues.</p><div><hr></div><h3><strong>Conclusion: </strong></h3><p><strong>The Future of BaTiO&#8323;-based SR Heating Cables</strong></p><p>As industries continue to demand more efficient and reliable thermal management solutions, polycrystalline disc technology, powered by barium titanate ceramics, is poised to play an even larger role in the future of self-regulating heating cables. The combination of PTC ceramics with advanced cable construction techniques offers a flexible, robust solution that can meet the demands of modern industrial applications.</p><p>With ongoing research and development, the potential applications of this technology will continue to expand, offering enhanced performance and reduced costs for a wide range of industries. The ability to deliver precise, self-regulating heat output without the need for external controls positions polycrystalline disc-based cables as a key innovation in the field of electric heat tracing.</p><p>In conclusion, the integration of barium titanate-based polycrystalline disc technology in self-regulating heating cables marks a significant advancement in thermal management solutions. Its unique properties provide industries with a reliable, efficient, and adaptable heating solution, ensuring consistent performance even in the most demanding environments.</p><h4><strong>References:</strong></h4><ul><li><p><em>Johnson, B. C., and J. E. Propst. "Technological advancement in self-limiting electric heat tracing cables." IEEE transactions on industry applications 25.6 (1989): 1006-1011 :</em></p></li></ul><p>       <a href="https://ieeexplore.ieee.org/abstract/document/44235?casa_token=dDP054P8j6QAAAAA:4PAx8o6ZE9-">Link 1</a></p><p>       <a href="http://HUxKB2et0zFqpwC9TdiUFCjMXP5kAVGKex9JYYC3nG0LzISXGaheFceeo1p826YI">Link 2</a></p><ul><li><p>Mechanical stability of BaTiO3-based PTC thermistor components: experimental investigation</p><p><a href="https://www.sciencedirect.com/science/article/abs/pii/S095522190000100X">Link 3</a></p></li></ul><div class="subscription-widget-wrap-editor" data-attrs="{&quot;url&quot;:&quot;https://www.precisionnewsletter.com/subscribe?&quot;,&quot;text&quot;:&quot;Subscribe&quot;,&quot;language&quot;:&quot;en&quot;}" data-component-name="SubscribeWidgetToDOM"><div class="subscription-widget show-subscribe"><div class="preamble"><p class="cta-caption">Thanks for reading Precision Newsletter! Subscribe for free to receive new posts and support my work.</p></div><form class="subscription-widget-subscribe"><input type="email" class="email-input" name="email" placeholder="Type your email&#8230;" tabindex="-1"><input type="submit" class="button primary" value="Subscribe"><div class="fake-input-wrapper"><div class="fake-input"></div><div class="fake-button"></div></div></form></div></div>]]></content:encoded></item><item><title><![CDATA[UV Exposure: Protecting the Self-Regulating Cables from UV radiations]]></title><description><![CDATA[Ever wondered if your heating cables enjoy a nice suntan&#8212;or if UV rays are actually plotting to turn them into brittle spaghetti?]]></description><link>https://www.precisionnewsletter.com/p/uv-exposure-protecting-the-self-regulating</link><guid isPermaLink="false">https://www.precisionnewsletter.com/p/uv-exposure-protecting-the-self-regulating</guid><dc:creator><![CDATA[Jinwook Jung]]></dc:creator><pubDate>Thu, 23 Jan 2025 07:47:24 GMT</pubDate><enclosure url="https://substack-post-media.s3.amazonaws.com/public/images/0079bbaf-8a5e-493c-8593-bb8601d223ed_5900x4038.jpeg" length="0" type="image/jpeg"/><content:encoded><![CDATA[<h2>Abstract</h2><p>This article addresses the impact of UV radiation on self-regulating (SR) heating cables, which are prone to insulation degradation and mechanical failure under prolonged sunlight exposure. It examines how UV affects each cable layer, from the outer jacket to internal conductors, highlighting risks like cracking, moisture ingress, and reduced efficiency. The article presents effective strategies for protection, including UV-resistant materials, protective conduits, coatings, and regular maintenance, ensuring SR cables' long-term durability, reliability, and performance in outdoor applications.</p><div><hr></div><h2><strong>Problem Statement</strong></h2><p>Self-regulating heating cables (SR cables) are widely used in industrial and residential applications to maintain temperatures in pipes, tanks, and other equipment. While these cables are designed for long-term durability, they are often installed outdoors where they are exposed to <strong>ultraviolet (UV) radiation</strong> from the sun. UV exposure poses a significant threat to the longevity of these cables by causing degradation of the cable's insulation and outer jacket. Prolonged exposure to UV rays weakens the mechanical strength of the cable, leading to cracking, reduced flexibility, and potential failure. Industries relying on SR cables are facing increased maintenance costs and unexpected system downtime due to the damaging effects of UV radiation.</p><div class="subscription-widget-wrap-editor" data-attrs="{&quot;url&quot;:&quot;https://www.precisionnewsletter.com/subscribe?&quot;,&quot;text&quot;:&quot;Subscribe&quot;,&quot;language&quot;:&quot;en&quot;}" data-component-name="SubscribeWidgetToDOM"><div class="subscription-widget show-subscribe"><div class="preamble"><p class="cta-caption">Thanks for reading Precision Newsletter! Subscribe for free to receive new posts and support my work.</p></div><form class="subscription-widget-subscribe"><input type="email" class="email-input" name="email" placeholder="Type your email&#8230;" tabindex="-1"><input type="submit" class="button primary" value="Subscribe"><div class="fake-input-wrapper"><div class="fake-input"></div><div class="fake-button"></div></div></form></div></div><div><hr></div><h2><strong>Purpose</strong></h2><p>The purpose of this article is to raise awareness about the <strong>detrimental effects of UV exposure</strong> on self-regulating heating cables and provide <strong>effective strategies</strong> to mitigate this risk. By understanding the science behind UV damage and implementing practical protective measures, industries can enhance the durability and performance of their Self-Regulating cables, minimizing failures, extending service life.</p><div><hr></div><h2>How UV Exposure Affects Self-Regulating Cable layers</h2><p>To understand how SR cables are affected by UV exposure, we need to first have an overview of SR cable&#8217;s layers and then we will discuss effect of UV on each layer, their consequences.</p><h4><strong>Introduction to SR cable layers</strong></h4><p>A typical self-regulating heating cable consists of <strong>multiple layers</strong>, each serving a specific purpose in ensuring the cable's functionality, durability, and safety:</p><ol><li><p><strong>Outer Jacket</strong>: This is the outermost protective layer, typically made from durable polymers like polyvinyl chloride (PVC), thermoplastic elastomers (TPE), or fluoropolymers (FEP or PTFE). It protects the inner components from external environmental factors such as moisture, chemicals, and mechanical damage. However, while these polymers are generally durable, not all of them are inherently resistant to <strong>ultraviolet (UV) radiation</strong>. Prolonged exposure to UV rays can cause even these tough polymers to degrade over time through processes like <strong>photo-oxidation</strong>, leading to brittleness, cracking, and reduced performance.</p></li><li><p><strong>Insulation Layer</strong>: Beneath the outer jacket lies the insulation layer, which electrically isolates the conductive elements from the external environment. This layer prevents short circuits and ensures safe and efficient electrical performance.</p></li><li><p><strong>Self-Regulating Core</strong>: The core is the functional heart of the SR cable. It is a <strong>semiconductive polymer matrix</strong> embedded with conductive carbon particles. The core regulates the heat output by adjusting its electrical resistance based on the temperature. As the temperature rises, the core reduces its heat output, and as the temperature drops, it increases the heat output.</p></li><li><p><strong>Internal Conductors</strong>: These are the electrical wires, usually made from copper or tinned copper, that carry the electrical current through the cable. The conductors are vital for powering the cable and allowing the self-regulating core to function.</p></li></ol><div class="captioned-image-container"><figure><a class="image-link image2 is-viewable-img" target="_blank" href="https://substackcdn.com/image/fetch/$s_!TsWJ!,f_auto,q_auto:good,fl_progressive:steep/https%3A%2F%2Fsubstack-post-media.s3.amazonaws.com%2Fpublic%2Fimages%2F9e087d32-479b-424d-a176-e38459323e39_1000x433.png" data-component-name="Image2ToDOM"><div class="image2-inset"><picture><source type="image/webp" srcset="https://substackcdn.com/image/fetch/$s_!TsWJ!,w_424,c_limit,f_webp,q_auto:good,fl_progressive:steep/https%3A%2F%2Fsubstack-post-media.s3.amazonaws.com%2Fpublic%2Fimages%2F9e087d32-479b-424d-a176-e38459323e39_1000x433.png 424w, https://substackcdn.com/image/fetch/$s_!TsWJ!,w_848,c_limit,f_webp,q_auto:good,fl_progressive:steep/https%3A%2F%2Fsubstack-post-media.s3.amazonaws.com%2Fpublic%2Fimages%2F9e087d32-479b-424d-a176-e38459323e39_1000x433.png 848w, https://substackcdn.com/image/fetch/$s_!TsWJ!,w_1272,c_limit,f_webp,q_auto:good,fl_progressive:steep/https%3A%2F%2Fsubstack-post-media.s3.amazonaws.com%2Fpublic%2Fimages%2F9e087d32-479b-424d-a176-e38459323e39_1000x433.png 1272w, https://substackcdn.com/image/fetch/$s_!TsWJ!,w_1456,c_limit,f_webp,q_auto:good,fl_progressive:steep/https%3A%2F%2Fsubstack-post-media.s3.amazonaws.com%2Fpublic%2Fimages%2F9e087d32-479b-424d-a176-e38459323e39_1000x433.png 1456w" sizes="100vw"><img src="https://substackcdn.com/image/fetch/$s_!TsWJ!,w_1456,c_limit,f_auto,q_auto:good,fl_progressive:steep/https%3A%2F%2Fsubstack-post-media.s3.amazonaws.com%2Fpublic%2Fimages%2F9e087d32-479b-424d-a176-e38459323e39_1000x433.png" width="1000" height="433" data-attrs="{&quot;src&quot;:&quot;https://substack-post-media.s3.amazonaws.com/public/images/9e087d32-479b-424d-a176-e38459323e39_1000x433.png&quot;,&quot;srcNoWatermark&quot;:null,&quot;fullscreen&quot;:null,&quot;imageSize&quot;:null,&quot;height&quot;:433,&quot;width&quot;:1000,&quot;resizeWidth&quot;:null,&quot;bytes&quot;:251104,&quot;alt&quot;:null,&quot;title&quot;:null,&quot;type&quot;:&quot;image/png&quot;,&quot;href&quot;:null,&quot;belowTheFold&quot;:true,&quot;topImage&quot;:false,&quot;internalRedirect&quot;:null,&quot;isProcessing&quot;:false,&quot;align&quot;:null,&quot;offset&quot;:false}" class="sizing-normal" alt="" srcset="https://substackcdn.com/image/fetch/$s_!TsWJ!,w_424,c_limit,f_auto,q_auto:good,fl_progressive:steep/https%3A%2F%2Fsubstack-post-media.s3.amazonaws.com%2Fpublic%2Fimages%2F9e087d32-479b-424d-a176-e38459323e39_1000x433.png 424w, https://substackcdn.com/image/fetch/$s_!TsWJ!,w_848,c_limit,f_auto,q_auto:good,fl_progressive:steep/https%3A%2F%2Fsubstack-post-media.s3.amazonaws.com%2Fpublic%2Fimages%2F9e087d32-479b-424d-a176-e38459323e39_1000x433.png 848w, https://substackcdn.com/image/fetch/$s_!TsWJ!,w_1272,c_limit,f_auto,q_auto:good,fl_progressive:steep/https%3A%2F%2Fsubstack-post-media.s3.amazonaws.com%2Fpublic%2Fimages%2F9e087d32-479b-424d-a176-e38459323e39_1000x433.png 1272w, https://substackcdn.com/image/fetch/$s_!TsWJ!,w_1456,c_limit,f_auto,q_auto:good,fl_progressive:steep/https%3A%2F%2Fsubstack-post-media.s3.amazonaws.com%2Fpublic%2Fimages%2F9e087d32-479b-424d-a176-e38459323e39_1000x433.png 1456w" sizes="100vw" loading="lazy"></picture><div class="image-link-expand"><div class="pencraft pc-display-flex pc-gap-8 pc-reset"><button tabindex="0" type="button" class="pencraft pc-reset pencraft icon-container restack-image"><svg role="img" width="20" height="20" viewBox="0 0 20 20" fill="none" stroke-width="1.5" stroke="var(--color-fg-primary)" stroke-linecap="round" stroke-linejoin="round" xmlns="http://www.w3.org/2000/svg"><g><title></title><path d="M2.53001 7.81595C3.49179 4.73911 6.43281 2.5 9.91173 2.5C13.1684 2.5 15.9537 4.46214 17.0852 7.23684L17.6179 8.67647M17.6179 8.67647L18.5002 4.26471M17.6179 8.67647L13.6473 6.91176M17.4995 12.1841C16.5378 15.2609 13.5967 17.5 10.1178 17.5C6.86118 17.5 4.07589 15.5379 2.94432 12.7632L2.41165 11.3235M2.41165 11.3235L1.5293 15.7353M2.41165 11.3235L6.38224 13.0882"></path></g></svg></button><button tabindex="0" type="button" class="pencraft pc-reset pencraft icon-container view-image"><svg xmlns="http://www.w3.org/2000/svg" width="20" height="20" viewBox="0 0 24 24" fill="none" stroke="currentColor" stroke-width="2" stroke-linecap="round" stroke-linejoin="round" class="lucide lucide-maximize2 lucide-maximize-2"><polyline points="15 3 21 3 21 9"></polyline><polyline points="9 21 3 21 3 15"></polyline><line x1="21" x2="14" y1="3" y2="10"></line><line x1="3" x2="10" y1="21" y2="14"></line></svg></button></div></div></div></a></figure></div><h3>Effect of UV on Outer Jacket of SR cable</h3><ul><li><p><strong>Photo-Oxidation</strong>: UV rays break the chemical bonds in the polymer chains of the outer jacket, causing a phenomenon known as <strong>photo-oxidation</strong>. This process involves the absorption of UV energy by the material, leading to the formation of free radicals and the subsequent oxidation of the polymer which leads to the deterioration of the polymer chains.</p><ul><li><p><strong>UV radiation + polymer bonds &#8594; free radicals</strong></p></li><li><p><strong>Free radicals + oxygen &#8594; oxidation of polymer</strong></p></li></ul><p>The photo-oxidation process is accelerated by the presence of <strong>oxygen</strong> in the environment, which reacts with the polymer, <strong>causing oxidation and further degradation</strong>. The <strong>rate of degradation</strong> can be described using the following formula, which relates the intensity of UV radiation to the degradation of the material:</p></li></ul><div class="captioned-image-container"><figure><a class="image-link image2" target="_blank" href="https://substackcdn.com/image/fetch/$s_!ejo8!,f_auto,q_auto:good,fl_progressive:steep/https%3A%2F%2Fsubstack-post-media.s3.amazonaws.com%2Fpublic%2Fimages%2Fba8e39d2-e752-4279-adac-92a1463dd82f_169x42.png" data-component-name="Image2ToDOM"><div class="image2-inset"><picture><source type="image/webp" srcset="https://substackcdn.com/image/fetch/$s_!ejo8!,w_424,c_limit,f_webp,q_auto:good,fl_progressive:steep/https%3A%2F%2Fsubstack-post-media.s3.amazonaws.com%2Fpublic%2Fimages%2Fba8e39d2-e752-4279-adac-92a1463dd82f_169x42.png 424w, https://substackcdn.com/image/fetch/$s_!ejo8!,w_848,c_limit,f_webp,q_auto:good,fl_progressive:steep/https%3A%2F%2Fsubstack-post-media.s3.amazonaws.com%2Fpublic%2Fimages%2Fba8e39d2-e752-4279-adac-92a1463dd82f_169x42.png 848w, https://substackcdn.com/image/fetch/$s_!ejo8!,w_1272,c_limit,f_webp,q_auto:good,fl_progressive:steep/https%3A%2F%2Fsubstack-post-media.s3.amazonaws.com%2Fpublic%2Fimages%2Fba8e39d2-e752-4279-adac-92a1463dd82f_169x42.png 1272w, https://substackcdn.com/image/fetch/$s_!ejo8!,w_1456,c_limit,f_webp,q_auto:good,fl_progressive:steep/https%3A%2F%2Fsubstack-post-media.s3.amazonaws.com%2Fpublic%2Fimages%2Fba8e39d2-e752-4279-adac-92a1463dd82f_169x42.png 1456w" sizes="100vw"><img src="https://substackcdn.com/image/fetch/$s_!ejo8!,w_1456,c_limit,f_auto,q_auto:good,fl_progressive:steep/https%3A%2F%2Fsubstack-post-media.s3.amazonaws.com%2Fpublic%2Fimages%2Fba8e39d2-e752-4279-adac-92a1463dd82f_169x42.png" width="169" height="42" data-attrs="{&quot;src&quot;:&quot;https://substack-post-media.s3.amazonaws.com/public/images/ba8e39d2-e752-4279-adac-92a1463dd82f_169x42.png&quot;,&quot;srcNoWatermark&quot;:null,&quot;fullscreen&quot;:null,&quot;imageSize&quot;:null,&quot;height&quot;:42,&quot;width&quot;:169,&quot;resizeWidth&quot;:null,&quot;bytes&quot;:2178,&quot;alt&quot;:null,&quot;title&quot;:null,&quot;type&quot;:&quot;image/png&quot;,&quot;href&quot;:null,&quot;belowTheFold&quot;:true,&quot;topImage&quot;:false,&quot;internalRedirect&quot;:null,&quot;isProcessing&quot;:false,&quot;align&quot;:null,&quot;offset&quot;:false}" class="sizing-normal" alt="" srcset="https://substackcdn.com/image/fetch/$s_!ejo8!,w_424,c_limit,f_auto,q_auto:good,fl_progressive:steep/https%3A%2F%2Fsubstack-post-media.s3.amazonaws.com%2Fpublic%2Fimages%2Fba8e39d2-e752-4279-adac-92a1463dd82f_169x42.png 424w, https://substackcdn.com/image/fetch/$s_!ejo8!,w_848,c_limit,f_auto,q_auto:good,fl_progressive:steep/https%3A%2F%2Fsubstack-post-media.s3.amazonaws.com%2Fpublic%2Fimages%2Fba8e39d2-e752-4279-adac-92a1463dd82f_169x42.png 848w, https://substackcdn.com/image/fetch/$s_!ejo8!,w_1272,c_limit,f_auto,q_auto:good,fl_progressive:steep/https%3A%2F%2Fsubstack-post-media.s3.amazonaws.com%2Fpublic%2Fimages%2Fba8e39d2-e752-4279-adac-92a1463dd82f_169x42.png 1272w, https://substackcdn.com/image/fetch/$s_!ejo8!,w_1456,c_limit,f_auto,q_auto:good,fl_progressive:steep/https%3A%2F%2Fsubstack-post-media.s3.amazonaws.com%2Fpublic%2Fimages%2Fba8e39d2-e752-4279-adac-92a1463dd82f_169x42.png 1456w" sizes="100vw" loading="lazy"></picture><div></div></div></a></figure></div><p>Where:</p><ul><li><p>D is the degree of degradation,</p></li><li><p>I is the intensity of UV radiation (in W/m&#178;),</p></li><li><p>t is the exposure time (in hours), and</p></li><li><p>k is a material constant that depends on the type of polymer and the conditions of exposure.</p></li></ul><div class="captioned-image-container"><figure><a class="image-link image2 is-viewable-img" target="_blank" href="https://substackcdn.com/image/fetch/$s_!P0lv!,f_auto,q_auto:good,fl_progressive:steep/https%3A%2F%2Fsubstack-post-media.s3.amazonaws.com%2Fpublic%2Fimages%2Fb0ccf694-903f-4e74-a0d7-1cb98338ad06_786x485.png" data-component-name="Image2ToDOM"><div class="image2-inset"><picture><source type="image/webp" srcset="https://substackcdn.com/image/fetch/$s_!P0lv!,w_424,c_limit,f_webp,q_auto:good,fl_progressive:steep/https%3A%2F%2Fsubstack-post-media.s3.amazonaws.com%2Fpublic%2Fimages%2Fb0ccf694-903f-4e74-a0d7-1cb98338ad06_786x485.png 424w, https://substackcdn.com/image/fetch/$s_!P0lv!,w_848,c_limit,f_webp,q_auto:good,fl_progressive:steep/https%3A%2F%2Fsubstack-post-media.s3.amazonaws.com%2Fpublic%2Fimages%2Fb0ccf694-903f-4e74-a0d7-1cb98338ad06_786x485.png 848w, https://substackcdn.com/image/fetch/$s_!P0lv!,w_1272,c_limit,f_webp,q_auto:good,fl_progressive:steep/https%3A%2F%2Fsubstack-post-media.s3.amazonaws.com%2Fpublic%2Fimages%2Fb0ccf694-903f-4e74-a0d7-1cb98338ad06_786x485.png 1272w, https://substackcdn.com/image/fetch/$s_!P0lv!,w_1456,c_limit,f_webp,q_auto:good,fl_progressive:steep/https%3A%2F%2Fsubstack-post-media.s3.amazonaws.com%2Fpublic%2Fimages%2Fb0ccf694-903f-4e74-a0d7-1cb98338ad06_786x485.png 1456w" sizes="100vw"><img src="https://substackcdn.com/image/fetch/$s_!P0lv!,w_1456,c_limit,f_auto,q_auto:good,fl_progressive:steep/https%3A%2F%2Fsubstack-post-media.s3.amazonaws.com%2Fpublic%2Fimages%2Fb0ccf694-903f-4e74-a0d7-1cb98338ad06_786x485.png" width="786" height="485" data-attrs="{&quot;src&quot;:&quot;https://substack-post-media.s3.amazonaws.com/public/images/b0ccf694-903f-4e74-a0d7-1cb98338ad06_786x485.png&quot;,&quot;srcNoWatermark&quot;:null,&quot;fullscreen&quot;:null,&quot;imageSize&quot;:null,&quot;height&quot;:485,&quot;width&quot;:786,&quot;resizeWidth&quot;:null,&quot;bytes&quot;:148160,&quot;alt&quot;:null,&quot;title&quot;:null,&quot;type&quot;:&quot;image/png&quot;,&quot;href&quot;:null,&quot;belowTheFold&quot;:true,&quot;topImage&quot;:false,&quot;internalRedirect&quot;:null,&quot;isProcessing&quot;:false,&quot;align&quot;:null,&quot;offset&quot;:false}" class="sizing-normal" alt="" srcset="https://substackcdn.com/image/fetch/$s_!P0lv!,w_424,c_limit,f_auto,q_auto:good,fl_progressive:steep/https%3A%2F%2Fsubstack-post-media.s3.amazonaws.com%2Fpublic%2Fimages%2Fb0ccf694-903f-4e74-a0d7-1cb98338ad06_786x485.png 424w, https://substackcdn.com/image/fetch/$s_!P0lv!,w_848,c_limit,f_auto,q_auto:good,fl_progressive:steep/https%3A%2F%2Fsubstack-post-media.s3.amazonaws.com%2Fpublic%2Fimages%2Fb0ccf694-903f-4e74-a0d7-1cb98338ad06_786x485.png 848w, https://substackcdn.com/image/fetch/$s_!P0lv!,w_1272,c_limit,f_auto,q_auto:good,fl_progressive:steep/https%3A%2F%2Fsubstack-post-media.s3.amazonaws.com%2Fpublic%2Fimages%2Fb0ccf694-903f-4e74-a0d7-1cb98338ad06_786x485.png 1272w, https://substackcdn.com/image/fetch/$s_!P0lv!,w_1456,c_limit,f_auto,q_auto:good,fl_progressive:steep/https%3A%2F%2Fsubstack-post-media.s3.amazonaws.com%2Fpublic%2Fimages%2Fb0ccf694-903f-4e74-a0d7-1cb98338ad06_786x485.png 1456w" sizes="100vw" loading="lazy"></picture><div class="image-link-expand"><div class="pencraft pc-display-flex pc-gap-8 pc-reset"><button tabindex="0" type="button" class="pencraft pc-reset pencraft icon-container restack-image"><svg role="img" width="20" height="20" viewBox="0 0 20 20" fill="none" stroke-width="1.5" stroke="var(--color-fg-primary)" stroke-linecap="round" stroke-linejoin="round" xmlns="http://www.w3.org/2000/svg"><g><title></title><path d="M2.53001 7.81595C3.49179 4.73911 6.43281 2.5 9.91173 2.5C13.1684 2.5 15.9537 4.46214 17.0852 7.23684L17.6179 8.67647M17.6179 8.67647L18.5002 4.26471M17.6179 8.67647L13.6473 6.91176M17.4995 12.1841C16.5378 15.2609 13.5967 17.5 10.1178 17.5C6.86118 17.5 4.07589 15.5379 2.94432 12.7632L2.41165 11.3235M2.41165 11.3235L1.5293 15.7353M2.41165 11.3235L6.38224 13.0882"></path></g></svg></button><button tabindex="0" type="button" class="pencraft pc-reset pencraft icon-container view-image"><svg xmlns="http://www.w3.org/2000/svg" width="20" height="20" viewBox="0 0 24 24" fill="none" stroke="currentColor" stroke-width="2" stroke-linecap="round" stroke-linejoin="round" class="lucide lucide-maximize2 lucide-maximize-2"><polyline points="15 3 21 3 21 9"></polyline><polyline points="9 21 3 21 3 15"></polyline><line x1="21" x2="14" y1="3" y2="10"></line><line x1="3" x2="10" y1="21" y2="14"></line></svg></button></div></div></div></a><figcaption class="image-caption">Degradation efficiency in material increases with time</figcaption></figure></div><ul><li><p><strong>Loss of Mechanical Integrity</strong>: As the jacket becomes brittle, it loses its <strong>tensile strength</strong> and <strong>flexibility</strong>. This makes the cable more vulnerable to mechanical stress, such as vibrations, bending, or abrasion, particularly in outdoor or industrial environments where the cable may be exposed to movement or impact.</p></li><li><p><strong>Brittleness and Cracking</strong>: Over time, photo-oxidation causes the outer jacket to become brittle. This brittleness results in cracks and fissures in the jacket, exposing the underlying layers to environmental stress.</p></li><li><p><strong>Discoloration</strong>: Prolonged UV exposure can also lead to visible changes, such as discoloration or a chalky surface, which are early signs of degradation.</p><div><hr></div></li></ul><h4><strong>Consequences</strong></h4><ul><li><p><strong>Moisture Ingress</strong>: Cracks in the outer jacket allow water and other contaminants to enter the cable, leading to corrosion of the internal layers and electrical faults.</p></li><li><p><strong>Mechanical Weakness</strong>: The outer jacket loses its ability to protect the inner components from mechanical stress, increasing the risk of damage from impact, vibration, or abrasion.</p></li><li><p><strong>Shortened Cable Lifespan</strong>: A compromised outer jacket accelerates the overall degradation of the cable, leading to premature failure and the need for early replacement.</p><div><hr></div></li></ul><h3>Effect of UV on Insulation layer</h3><p><strong>Secondary UV Damage</strong>: Although the insulation layer is not directly exposed to UV radiation, damage to the outer jacket from prolonged UV exposure can indirectly impact the insulation.</p><ul><li><p><strong>Exposure to Moisture and Debris</strong>: Once the outer jacket is damaged, moisture and contaminants can penetrate into the insulation layer, reducing its electrical resistance.</p></li><li><p><strong>Degradation of Insulation Properties</strong>: Continuous exposure to moisture and dirt can degrade the insulation, leading to a loss of its dielectric properties, which are essential for preventing electrical failures.</p></li></ul><h4><strong>Consequences</strong>:</h4><ul><li><p><strong>Electrical Short Circuits</strong>: If the insulation layer becomes compromised, it may allow electrical current to leak or short-circuit, leading to equipment failure or safety hazards.</p></li><li><p><strong>Reduced Safety</strong>: Degraded insulation increases the risk of electrical shock or fires, making it essential to regularly inspect and maintain this layer.</p></li></ul><h3>Effect of UV on Self Regulating Core</h3><p>The <strong>self-regulating core</strong> is the most critical component of the SR cable, responsible for adjusting the cable&#8217;s heat output in response to temperature changes. Although the core is protected by the outer jacket and insulation, UV-induced damage to these outer layers can indirectly affect the core.</p><ul><li><p><strong>Increased Thermal Stress</strong>: Although the self-regulating core is shielded by the outer layers, damage to the insulation and jacket due to UV exposure can lead to <strong>thermal instability</strong>. Cracks in the jacket may allow heat to escape unevenly, leading to <strong>temperature fluctuations</strong> in the core. This results in inefficient self-regulation and uneven heat distribution, which can cause hot spots and accelerate the degradation of the core material.</p></li><li><p><strong>Moisture Ingress and Contamination</strong>: Once UV-induced cracks allow moisture and other environmental contaminants to penetrate the cable, the self-regulating core can become <strong>electrically compromised</strong>. Moisture ingress may alter the electrical properties of the semiconductive polymer, leading to a reduction in its ability to properly regulate heat. Over time, this can cause <strong>irreversible damage</strong> to the core, leading to failure of the self-regulating functionality.</p></li></ul><h4><strong>Consequences</strong>:</h4><ul><li><p>Degradation of the self-regulating core results in <strong>loss of efficiency</strong> and <strong>uneven heating</strong>, defeating the purpose of using SR cables for precise temperature control.</p></li><li><p>Damaged cores often lead to <strong>overheating</strong> or <strong>underheating</strong> of the system, which can cause safety issues or equipment malfunction in critical applications.</p></li></ul><h3>Effect of UV on Internal Conductors</h3><p>The innermost layer of an SR cable consists of the <strong>electrical conductors</strong> (usually copper or tinned copper), which carry the electrical current that generates heat within the self-regulating core.</p><ul><li><p><strong>Corrosion</strong>: When cracks in the outer jacket allow moisture to reach the internal conductors, the copper wires may begin to <strong>corrode</strong>. Corrosion reduces the efficiency of electrical current transmission, which impairs the cable&#8217;s overall performance.</p></li><li><p><strong>Electrical Resistance</strong>: As corrosion builds up, the resistance in the conductors increases, which can lead to <strong>power loss</strong> and reduced heating efficiency.</p></li></ul><h4><strong>Consequences</strong>:</h4><ul><li><p><strong>Short Circuits and Electrical Failures</strong>: Corroded conductors can short-circuit, leading to system-wide electrical failures or even dangerous conditions such as fires.</p></li><li><p><strong>Decreased Performance</strong>: Corrosion reduces the conductivity of the wires, leading to <strong>inefficient heat generation</strong> and unreliable temperature control.</p></li></ul><h3>Summary</h3><div class="captioned-image-container"><figure><a class="image-link image2 is-viewable-img" target="_blank" href="https://substackcdn.com/image/fetch/$s_!gjUE!,f_auto,q_auto:good,fl_progressive:steep/https%3A%2F%2Fsubstack-post-media.s3.amazonaws.com%2Fpublic%2Fimages%2F97669f74-0df2-47da-9a13-dd88155af916_639x429.png" data-component-name="Image2ToDOM"><div class="image2-inset"><picture><source type="image/webp" srcset="https://substackcdn.com/image/fetch/$s_!gjUE!,w_424,c_limit,f_webp,q_auto:good,fl_progressive:steep/https%3A%2F%2Fsubstack-post-media.s3.amazonaws.com%2Fpublic%2Fimages%2F97669f74-0df2-47da-9a13-dd88155af916_639x429.png 424w, https://substackcdn.com/image/fetch/$s_!gjUE!,w_848,c_limit,f_webp,q_auto:good,fl_progressive:steep/https%3A%2F%2Fsubstack-post-media.s3.amazonaws.com%2Fpublic%2Fimages%2F97669f74-0df2-47da-9a13-dd88155af916_639x429.png 848w, https://substackcdn.com/image/fetch/$s_!gjUE!,w_1272,c_limit,f_webp,q_auto:good,fl_progressive:steep/https%3A%2F%2Fsubstack-post-media.s3.amazonaws.com%2Fpublic%2Fimages%2F97669f74-0df2-47da-9a13-dd88155af916_639x429.png 1272w, https://substackcdn.com/image/fetch/$s_!gjUE!,w_1456,c_limit,f_webp,q_auto:good,fl_progressive:steep/https%3A%2F%2Fsubstack-post-media.s3.amazonaws.com%2Fpublic%2Fimages%2F97669f74-0df2-47da-9a13-dd88155af916_639x429.png 1456w" sizes="100vw"><img src="https://substackcdn.com/image/fetch/$s_!gjUE!,w_1456,c_limit,f_auto,q_auto:good,fl_progressive:steep/https%3A%2F%2Fsubstack-post-media.s3.amazonaws.com%2Fpublic%2Fimages%2F97669f74-0df2-47da-9a13-dd88155af916_639x429.png" width="639" height="429" data-attrs="{&quot;src&quot;:&quot;https://substack-post-media.s3.amazonaws.com/public/images/97669f74-0df2-47da-9a13-dd88155af916_639x429.png&quot;,&quot;srcNoWatermark&quot;:null,&quot;fullscreen&quot;:null,&quot;imageSize&quot;:null,&quot;height&quot;:429,&quot;width&quot;:639,&quot;resizeWidth&quot;:null,&quot;bytes&quot;:78444,&quot;alt&quot;:null,&quot;title&quot;:null,&quot;type&quot;:&quot;image/png&quot;,&quot;href&quot;:null,&quot;belowTheFold&quot;:true,&quot;topImage&quot;:false,&quot;internalRedirect&quot;:null,&quot;isProcessing&quot;:false,&quot;align&quot;:null,&quot;offset&quot;:false}" class="sizing-normal" alt="" srcset="https://substackcdn.com/image/fetch/$s_!gjUE!,w_424,c_limit,f_auto,q_auto:good,fl_progressive:steep/https%3A%2F%2Fsubstack-post-media.s3.amazonaws.com%2Fpublic%2Fimages%2F97669f74-0df2-47da-9a13-dd88155af916_639x429.png 424w, https://substackcdn.com/image/fetch/$s_!gjUE!,w_848,c_limit,f_auto,q_auto:good,fl_progressive:steep/https%3A%2F%2Fsubstack-post-media.s3.amazonaws.com%2Fpublic%2Fimages%2F97669f74-0df2-47da-9a13-dd88155af916_639x429.png 848w, https://substackcdn.com/image/fetch/$s_!gjUE!,w_1272,c_limit,f_auto,q_auto:good,fl_progressive:steep/https%3A%2F%2Fsubstack-post-media.s3.amazonaws.com%2Fpublic%2Fimages%2F97669f74-0df2-47da-9a13-dd88155af916_639x429.png 1272w, https://substackcdn.com/image/fetch/$s_!gjUE!,w_1456,c_limit,f_auto,q_auto:good,fl_progressive:steep/https%3A%2F%2Fsubstack-post-media.s3.amazonaws.com%2Fpublic%2Fimages%2F97669f74-0df2-47da-9a13-dd88155af916_639x429.png 1456w" sizes="100vw" loading="lazy"></picture><div class="image-link-expand"><div class="pencraft pc-display-flex pc-gap-8 pc-reset"><button tabindex="0" type="button" class="pencraft pc-reset pencraft icon-container restack-image"><svg role="img" width="20" height="20" viewBox="0 0 20 20" fill="none" stroke-width="1.5" stroke="var(--color-fg-primary)" stroke-linecap="round" stroke-linejoin="round" xmlns="http://www.w3.org/2000/svg"><g><title></title><path d="M2.53001 7.81595C3.49179 4.73911 6.43281 2.5 9.91173 2.5C13.1684 2.5 15.9537 4.46214 17.0852 7.23684L17.6179 8.67647M17.6179 8.67647L18.5002 4.26471M17.6179 8.67647L13.6473 6.91176M17.4995 12.1841C16.5378 15.2609 13.5967 17.5 10.1178 17.5C6.86118 17.5 4.07589 15.5379 2.94432 12.7632L2.41165 11.3235M2.41165 11.3235L1.5293 15.7353M2.41165 11.3235L6.38224 13.0882"></path></g></svg></button><button tabindex="0" type="button" class="pencraft pc-reset pencraft icon-container view-image"><svg xmlns="http://www.w3.org/2000/svg" width="20" height="20" viewBox="0 0 24 24" fill="none" stroke="currentColor" stroke-width="2" stroke-linecap="round" stroke-linejoin="round" class="lucide lucide-maximize2 lucide-maximize-2"><polyline points="15 3 21 3 21 9"></polyline><polyline points="9 21 3 21 3 15"></polyline><line x1="21" x2="14" y1="3" y2="10"></line><line x1="3" x2="10" y1="21" y2="14"></line></svg></button></div></div></div></a></figure></div><div><hr></div><h2><strong>Strategies to Mitigate UV Damage</strong></h2><p>Several <strong>preventive strategies</strong> can be implemented to protect self-regulating heating cables from the harmful effects of UV exposure:</p><h3><strong>Use UV-Resistant Materials with UV stabilizers</strong></h3><p>Despite the outer jacket of self-regulating (SR) cables being made from <strong>UV-resistant polymers</strong> like PVC, thermoplastic elastomers (TPE), or fluoropolymers, prolonged exposure to intense sunlight can still cause degradation over time. Even UV-resistant materials can experience <strong>photo-oxidation</strong>, leading to gradual weakening, brittleness, and cracking. However, by using these materials in combination with <strong>UV stabilizers</strong>&#8212;which absorb and dissipate harmful UV radiation&#8212;or applying <strong>protective coatings</strong> like silicone or polyurethane, the damaging effects of UV exposure can be significantly reduced. These enhancements provide an additional layer of protection, extending the lifespan of the SR cable in outdoor environments while maintaining its performance.</p><h3><strong>UV Coatings</strong></h3><p>For SR cables installed in highly UV-exposed environments, additional layers of protection can be provided through coatings that act as shields against UV radiation.</p><ul><li><p><strong>Silicone-Based Coatings</strong>: Applying <strong>silicone-based coatings</strong> to the outer jacket creates a flexible, weather-resistant layer that blocks UV rays. Silicone coatings are particularly effective in outdoor environments with extreme temperatures and sunlight.</p></li></ul><div class="captioned-image-container"><figure><a class="image-link image2 is-viewable-img" target="_blank" href="https://substackcdn.com/image/fetch/$s_!dDHT!,f_auto,q_auto:good,fl_progressive:steep/https%3A%2F%2Fsubstack-post-media.s3.amazonaws.com%2Fpublic%2Fimages%2F2af22ce5-133e-410e-8b23-2455c1bd8d90_680x865.png" data-component-name="Image2ToDOM"><div class="image2-inset"><picture><source type="image/webp" srcset="https://substackcdn.com/image/fetch/$s_!dDHT!,w_424,c_limit,f_webp,q_auto:good,fl_progressive:steep/https%3A%2F%2Fsubstack-post-media.s3.amazonaws.com%2Fpublic%2Fimages%2F2af22ce5-133e-410e-8b23-2455c1bd8d90_680x865.png 424w, https://substackcdn.com/image/fetch/$s_!dDHT!,w_848,c_limit,f_webp,q_auto:good,fl_progressive:steep/https%3A%2F%2Fsubstack-post-media.s3.amazonaws.com%2Fpublic%2Fimages%2F2af22ce5-133e-410e-8b23-2455c1bd8d90_680x865.png 848w, https://substackcdn.com/image/fetch/$s_!dDHT!,w_1272,c_limit,f_webp,q_auto:good,fl_progressive:steep/https%3A%2F%2Fsubstack-post-media.s3.amazonaws.com%2Fpublic%2Fimages%2F2af22ce5-133e-410e-8b23-2455c1bd8d90_680x865.png 1272w, https://substackcdn.com/image/fetch/$s_!dDHT!,w_1456,c_limit,f_webp,q_auto:good,fl_progressive:steep/https%3A%2F%2Fsubstack-post-media.s3.amazonaws.com%2Fpublic%2Fimages%2F2af22ce5-133e-410e-8b23-2455c1bd8d90_680x865.png 1456w" sizes="100vw"><img src="https://substackcdn.com/image/fetch/$s_!dDHT!,w_1456,c_limit,f_auto,q_auto:good,fl_progressive:steep/https%3A%2F%2Fsubstack-post-media.s3.amazonaws.com%2Fpublic%2Fimages%2F2af22ce5-133e-410e-8b23-2455c1bd8d90_680x865.png" width="426" height="541.8970588235294" data-attrs="{&quot;src&quot;:&quot;https://substack-post-media.s3.amazonaws.com/public/images/2af22ce5-133e-410e-8b23-2455c1bd8d90_680x865.png&quot;,&quot;srcNoWatermark&quot;:null,&quot;fullscreen&quot;:null,&quot;imageSize&quot;:null,&quot;height&quot;:865,&quot;width&quot;:680,&quot;resizeWidth&quot;:426,&quot;bytes&quot;:460305,&quot;alt&quot;:null,&quot;title&quot;:null,&quot;type&quot;:&quot;image/png&quot;,&quot;href&quot;:null,&quot;belowTheFold&quot;:true,&quot;topImage&quot;:false,&quot;internalRedirect&quot;:null,&quot;isProcessing&quot;:false,&quot;align&quot;:null,&quot;offset&quot;:false}" class="sizing-normal" alt="" srcset="https://substackcdn.com/image/fetch/$s_!dDHT!,w_424,c_limit,f_auto,q_auto:good,fl_progressive:steep/https%3A%2F%2Fsubstack-post-media.s3.amazonaws.com%2Fpublic%2Fimages%2F2af22ce5-133e-410e-8b23-2455c1bd8d90_680x865.png 424w, https://substackcdn.com/image/fetch/$s_!dDHT!,w_848,c_limit,f_auto,q_auto:good,fl_progressive:steep/https%3A%2F%2Fsubstack-post-media.s3.amazonaws.com%2Fpublic%2Fimages%2F2af22ce5-133e-410e-8b23-2455c1bd8d90_680x865.png 848w, https://substackcdn.com/image/fetch/$s_!dDHT!,w_1272,c_limit,f_auto,q_auto:good,fl_progressive:steep/https%3A%2F%2Fsubstack-post-media.s3.amazonaws.com%2Fpublic%2Fimages%2F2af22ce5-133e-410e-8b23-2455c1bd8d90_680x865.png 1272w, https://substackcdn.com/image/fetch/$s_!dDHT!,w_1456,c_limit,f_auto,q_auto:good,fl_progressive:steep/https%3A%2F%2Fsubstack-post-media.s3.amazonaws.com%2Fpublic%2Fimages%2F2af22ce5-133e-410e-8b23-2455c1bd8d90_680x865.png 1456w" sizes="100vw" loading="lazy"></picture><div class="image-link-expand"><div class="pencraft pc-display-flex pc-gap-8 pc-reset"><button tabindex="0" type="button" class="pencraft pc-reset pencraft icon-container restack-image"><svg role="img" width="20" height="20" viewBox="0 0 20 20" fill="none" stroke-width="1.5" stroke="var(--color-fg-primary)" stroke-linecap="round" stroke-linejoin="round" xmlns="http://www.w3.org/2000/svg"><g><title></title><path d="M2.53001 7.81595C3.49179 4.73911 6.43281 2.5 9.91173 2.5C13.1684 2.5 15.9537 4.46214 17.0852 7.23684L17.6179 8.67647M17.6179 8.67647L18.5002 4.26471M17.6179 8.67647L13.6473 6.91176M17.4995 12.1841C16.5378 15.2609 13.5967 17.5 10.1178 17.5C6.86118 17.5 4.07589 15.5379 2.94432 12.7632L2.41165 11.3235M2.41165 11.3235L1.5293 15.7353M2.41165 11.3235L6.38224 13.0882"></path></g></svg></button><button tabindex="0" type="button" class="pencraft pc-reset pencraft icon-container view-image"><svg xmlns="http://www.w3.org/2000/svg" width="20" height="20" viewBox="0 0 24 24" fill="none" stroke="currentColor" stroke-width="2" stroke-linecap="round" stroke-linejoin="round" class="lucide lucide-maximize2 lucide-maximize-2"><polyline points="15 3 21 3 21 9"></polyline><polyline points="9 21 3 21 3 15"></polyline><line x1="21" x2="14" y1="3" y2="10"></line><line x1="3" x2="10" y1="21" y2="14"></line></svg></button></div></div></div></a><figcaption class="image-caption">Comparison of Effect of UV on material with and without UV coatings</figcaption></figure></div><div><hr></div><p>The primary feature of high-temperature coatings(Silicone based coatings) is their ability to withstand extreme heat without breaking down. These coatings can endure temperatures ranging from <strong>200&#176;C (392&#176;F) to over 1000&#176;C (1832&#176;F)</strong>, depending on the specific formulation. For example, <strong>silicon-based coatings</strong> are often used for applications up to <strong>650&#176;C (1202&#176;F).</strong> This resistance ensures the structural integrity of the coated surface is maintained, even under intense heat.</p><p>Various <strong>Silicon coatings</strong>, their UV resistance and UV protection mechanism are shown in table below:</p><div class="captioned-image-container"><figure><a class="image-link image2 is-viewable-img" target="_blank" href="https://substackcdn.com/image/fetch/$s_!GHak!,f_auto,q_auto:good,fl_progressive:steep/https%3A%2F%2Fsubstack-post-media.s3.amazonaws.com%2Fpublic%2Fimages%2Fdd34d276-8c7b-44d1-9e67-117880391ff3_699x526.png" data-component-name="Image2ToDOM"><div class="image2-inset"><picture><source type="image/webp" srcset="https://substackcdn.com/image/fetch/$s_!GHak!,w_424,c_limit,f_webp,q_auto:good,fl_progressive:steep/https%3A%2F%2Fsubstack-post-media.s3.amazonaws.com%2Fpublic%2Fimages%2Fdd34d276-8c7b-44d1-9e67-117880391ff3_699x526.png 424w, https://substackcdn.com/image/fetch/$s_!GHak!,w_848,c_limit,f_webp,q_auto:good,fl_progressive:steep/https%3A%2F%2Fsubstack-post-media.s3.amazonaws.com%2Fpublic%2Fimages%2Fdd34d276-8c7b-44d1-9e67-117880391ff3_699x526.png 848w, https://substackcdn.com/image/fetch/$s_!GHak!,w_1272,c_limit,f_webp,q_auto:good,fl_progressive:steep/https%3A%2F%2Fsubstack-post-media.s3.amazonaws.com%2Fpublic%2Fimages%2Fdd34d276-8c7b-44d1-9e67-117880391ff3_699x526.png 1272w, https://substackcdn.com/image/fetch/$s_!GHak!,w_1456,c_limit,f_webp,q_auto:good,fl_progressive:steep/https%3A%2F%2Fsubstack-post-media.s3.amazonaws.com%2Fpublic%2Fimages%2Fdd34d276-8c7b-44d1-9e67-117880391ff3_699x526.png 1456w" sizes="100vw"><img src="https://substackcdn.com/image/fetch/$s_!GHak!,w_1456,c_limit,f_auto,q_auto:good,fl_progressive:steep/https%3A%2F%2Fsubstack-post-media.s3.amazonaws.com%2Fpublic%2Fimages%2Fdd34d276-8c7b-44d1-9e67-117880391ff3_699x526.png" width="535" height="402.58941344778253" data-attrs="{&quot;src&quot;:&quot;https://substack-post-media.s3.amazonaws.com/public/images/dd34d276-8c7b-44d1-9e67-117880391ff3_699x526.png&quot;,&quot;srcNoWatermark&quot;:null,&quot;fullscreen&quot;:null,&quot;imageSize&quot;:null,&quot;height&quot;:526,&quot;width&quot;:699,&quot;resizeWidth&quot;:535,&quot;bytes&quot;:98348,&quot;alt&quot;:null,&quot;title&quot;:null,&quot;type&quot;:&quot;image/png&quot;,&quot;href&quot;:null,&quot;belowTheFold&quot;:true,&quot;topImage&quot;:false,&quot;internalRedirect&quot;:null,&quot;isProcessing&quot;:false,&quot;align&quot;:null,&quot;offset&quot;:false}" class="sizing-normal" alt="" srcset="https://substackcdn.com/image/fetch/$s_!GHak!,w_424,c_limit,f_auto,q_auto:good,fl_progressive:steep/https%3A%2F%2Fsubstack-post-media.s3.amazonaws.com%2Fpublic%2Fimages%2Fdd34d276-8c7b-44d1-9e67-117880391ff3_699x526.png 424w, https://substackcdn.com/image/fetch/$s_!GHak!,w_848,c_limit,f_auto,q_auto:good,fl_progressive:steep/https%3A%2F%2Fsubstack-post-media.s3.amazonaws.com%2Fpublic%2Fimages%2Fdd34d276-8c7b-44d1-9e67-117880391ff3_699x526.png 848w, https://substackcdn.com/image/fetch/$s_!GHak!,w_1272,c_limit,f_auto,q_auto:good,fl_progressive:steep/https%3A%2F%2Fsubstack-post-media.s3.amazonaws.com%2Fpublic%2Fimages%2Fdd34d276-8c7b-44d1-9e67-117880391ff3_699x526.png 1272w, https://substackcdn.com/image/fetch/$s_!GHak!,w_1456,c_limit,f_auto,q_auto:good,fl_progressive:steep/https%3A%2F%2Fsubstack-post-media.s3.amazonaws.com%2Fpublic%2Fimages%2Fdd34d276-8c7b-44d1-9e67-117880391ff3_699x526.png 1456w" sizes="100vw" loading="lazy"></picture><div class="image-link-expand"><div class="pencraft pc-display-flex pc-gap-8 pc-reset"><button tabindex="0" type="button" class="pencraft pc-reset pencraft icon-container restack-image"><svg role="img" width="20" height="20" viewBox="0 0 20 20" fill="none" stroke-width="1.5" stroke="var(--color-fg-primary)" stroke-linecap="round" stroke-linejoin="round" xmlns="http://www.w3.org/2000/svg"><g><title></title><path d="M2.53001 7.81595C3.49179 4.73911 6.43281 2.5 9.91173 2.5C13.1684 2.5 15.9537 4.46214 17.0852 7.23684L17.6179 8.67647M17.6179 8.67647L18.5002 4.26471M17.6179 8.67647L13.6473 6.91176M17.4995 12.1841C16.5378 15.2609 13.5967 17.5 10.1178 17.5C6.86118 17.5 4.07589 15.5379 2.94432 12.7632L2.41165 11.3235M2.41165 11.3235L1.5293 15.7353M2.41165 11.3235L6.38224 13.0882"></path></g></svg></button><button tabindex="0" type="button" class="pencraft pc-reset pencraft icon-container view-image"><svg xmlns="http://www.w3.org/2000/svg" width="20" height="20" viewBox="0 0 24 24" fill="none" stroke="currentColor" stroke-width="2" stroke-linecap="round" stroke-linejoin="round" class="lucide lucide-maximize2 lucide-maximize-2"><polyline points="15 3 21 3 21 9"></polyline><polyline points="9 21 3 21 3 15"></polyline><line x1="21" x2="14" y1="3" y2="10"></line><line x1="3" x2="10" y1="21" y2="14"></line></svg></button></div></div></div></a></figure></div><div class="captioned-image-container"><figure><a class="image-link image2" target="_blank" href="https://substackcdn.com/image/fetch/$s_!-zuz!,f_auto,q_auto:good,fl_progressive:steep/https%3A%2F%2Fsubstack-post-media.s3.amazonaws.com%2Fpublic%2Fimages%2F5250bfc2-509f-4196-b088-745b8115a6b2_697x278.png" data-component-name="Image2ToDOM"><div class="image2-inset"><picture><source type="image/webp" srcset="https://substackcdn.com/image/fetch/$s_!-zuz!,w_424,c_limit,f_webp,q_auto:good,fl_progressive:steep/https%3A%2F%2Fsubstack-post-media.s3.amazonaws.com%2Fpublic%2Fimages%2F5250bfc2-509f-4196-b088-745b8115a6b2_697x278.png 424w, https://substackcdn.com/image/fetch/$s_!-zuz!,w_848,c_limit,f_webp,q_auto:good,fl_progressive:steep/https%3A%2F%2Fsubstack-post-media.s3.amazonaws.com%2Fpublic%2Fimages%2F5250bfc2-509f-4196-b088-745b8115a6b2_697x278.png 848w, https://substackcdn.com/image/fetch/$s_!-zuz!,w_1272,c_limit,f_webp,q_auto:good,fl_progressive:steep/https%3A%2F%2Fsubstack-post-media.s3.amazonaws.com%2Fpublic%2Fimages%2F5250bfc2-509f-4196-b088-745b8115a6b2_697x278.png 1272w, https://substackcdn.com/image/fetch/$s_!-zuz!,w_1456,c_limit,f_webp,q_auto:good,fl_progressive:steep/https%3A%2F%2Fsubstack-post-media.s3.amazonaws.com%2Fpublic%2Fimages%2F5250bfc2-509f-4196-b088-745b8115a6b2_697x278.png 1456w" sizes="100vw"><img src="https://substackcdn.com/image/fetch/$s_!-zuz!,w_1456,c_limit,f_auto,q_auto:good,fl_progressive:steep/https%3A%2F%2Fsubstack-post-media.s3.amazonaws.com%2Fpublic%2Fimages%2F5250bfc2-509f-4196-b088-745b8115a6b2_697x278.png" width="533" height="212.58823529411765" data-attrs="{&quot;src&quot;:&quot;https://substack-post-media.s3.amazonaws.com/public/images/5250bfc2-509f-4196-b088-745b8115a6b2_697x278.png&quot;,&quot;srcNoWatermark&quot;:null,&quot;fullscreen&quot;:null,&quot;imageSize&quot;:null,&quot;height&quot;:278,&quot;width&quot;:697,&quot;resizeWidth&quot;:533,&quot;bytes&quot;:56452,&quot;alt&quot;:null,&quot;title&quot;:null,&quot;type&quot;:&quot;image/png&quot;,&quot;href&quot;:null,&quot;belowTheFold&quot;:true,&quot;topImage&quot;:false,&quot;internalRedirect&quot;:null,&quot;isProcessing&quot;:false,&quot;align&quot;:null,&quot;offset&quot;:false}" class="sizing-normal" alt="" srcset="https://substackcdn.com/image/fetch/$s_!-zuz!,w_424,c_limit,f_auto,q_auto:good,fl_progressive:steep/https%3A%2F%2Fsubstack-post-media.s3.amazonaws.com%2Fpublic%2Fimages%2F5250bfc2-509f-4196-b088-745b8115a6b2_697x278.png 424w, https://substackcdn.com/image/fetch/$s_!-zuz!,w_848,c_limit,f_auto,q_auto:good,fl_progressive:steep/https%3A%2F%2Fsubstack-post-media.s3.amazonaws.com%2Fpublic%2Fimages%2F5250bfc2-509f-4196-b088-745b8115a6b2_697x278.png 848w, https://substackcdn.com/image/fetch/$s_!-zuz!,w_1272,c_limit,f_auto,q_auto:good,fl_progressive:steep/https%3A%2F%2Fsubstack-post-media.s3.amazonaws.com%2Fpublic%2Fimages%2F5250bfc2-509f-4196-b088-745b8115a6b2_697x278.png 1272w, https://substackcdn.com/image/fetch/$s_!-zuz!,w_1456,c_limit,f_auto,q_auto:good,fl_progressive:steep/https%3A%2F%2Fsubstack-post-media.s3.amazonaws.com%2Fpublic%2Fimages%2F5250bfc2-509f-4196-b088-745b8115a6b2_697x278.png 1456w" sizes="100vw" loading="lazy"></picture><div></div></div></a></figure></div><div><hr></div><h3><strong>Which are preferred?</strong></h3><p>For <strong>self-regulating (SR) heating cables</strong> used in outdoor environments, the preferred silicone coating type for <strong>UV protection</strong> is typically a <strong>silicone elastomeric coating</strong> or a <strong>silicone resin-based coating</strong>. Here&#8217;s how these specific silicone coatings work effectively for SR cables: <strong>Silicone elastomeric coatings</strong> are flexible and can withstand continuous exposure to sunlight without breaking down. Their structure absorbs and deflects UV rays, preventing the cable&#8217;s outer material from degrading. <strong>Resin-based coatings</strong> form a durable, cross-linked matrix that provides excellent UV resistance while also withstanding moderate temperature variations. This type is more rigid than elastomers and can be combined with additives for enhanced UV stability, making it suitable for SR cables in consistently sunny and stable temperature environment. Two primary types of Silicone resin coatings are: Methyl Silicone Resin, Organic Resin Modified Silicone Resins. For detailed information refer</p><p><a href="https://romakksilicones.com/silicone-resins-high-performance-heat-resistant-coatings/">Silicone Resins: High-Performance Heat Resistant Coatings</a></p><div><hr></div><h3><strong>Polyurethane Coatings</strong>:</h3><p>These coatings offer a durable, UV-resistant layer that can be sprayed or painted onto the cable. Polyurethane is highly resistant to both UV radiation and moisture, making it a suitable choice for outdoor cables. Various <strong>Polyurethane Coatings and their comparison is mentioned below</strong></p><div class="captioned-image-container"><figure><a class="image-link image2 is-viewable-img" target="_blank" href="https://substackcdn.com/image/fetch/$s_!7iMA!,f_auto,q_auto:good,fl_progressive:steep/https%3A%2F%2Fsubstack-post-media.s3.amazonaws.com%2Fpublic%2Fimages%2Ff4165c0c-c692-4fec-973b-fe5e928f2f49_695x529.png" data-component-name="Image2ToDOM"><div class="image2-inset"><picture><source type="image/webp" srcset="https://substackcdn.com/image/fetch/$s_!7iMA!,w_424,c_limit,f_webp,q_auto:good,fl_progressive:steep/https%3A%2F%2Fsubstack-post-media.s3.amazonaws.com%2Fpublic%2Fimages%2Ff4165c0c-c692-4fec-973b-fe5e928f2f49_695x529.png 424w, https://substackcdn.com/image/fetch/$s_!7iMA!,w_848,c_limit,f_webp,q_auto:good,fl_progressive:steep/https%3A%2F%2Fsubstack-post-media.s3.amazonaws.com%2Fpublic%2Fimages%2Ff4165c0c-c692-4fec-973b-fe5e928f2f49_695x529.png 848w, https://substackcdn.com/image/fetch/$s_!7iMA!,w_1272,c_limit,f_webp,q_auto:good,fl_progressive:steep/https%3A%2F%2Fsubstack-post-media.s3.amazonaws.com%2Fpublic%2Fimages%2Ff4165c0c-c692-4fec-973b-fe5e928f2f49_695x529.png 1272w, https://substackcdn.com/image/fetch/$s_!7iMA!,w_1456,c_limit,f_webp,q_auto:good,fl_progressive:steep/https%3A%2F%2Fsubstack-post-media.s3.amazonaws.com%2Fpublic%2Fimages%2Ff4165c0c-c692-4fec-973b-fe5e928f2f49_695x529.png 1456w" sizes="100vw"><img src="https://substackcdn.com/image/fetch/$s_!7iMA!,w_1456,c_limit,f_auto,q_auto:good,fl_progressive:steep/https%3A%2F%2Fsubstack-post-media.s3.amazonaws.com%2Fpublic%2Fimages%2Ff4165c0c-c692-4fec-973b-fe5e928f2f49_695x529.png" width="551" height="419.39424460431655" data-attrs="{&quot;src&quot;:&quot;https://substack-post-media.s3.amazonaws.com/public/images/f4165c0c-c692-4fec-973b-fe5e928f2f49_695x529.png&quot;,&quot;srcNoWatermark&quot;:null,&quot;fullscreen&quot;:null,&quot;imageSize&quot;:null,&quot;height&quot;:529,&quot;width&quot;:695,&quot;resizeWidth&quot;:551,&quot;bytes&quot;:114930,&quot;alt&quot;:null,&quot;title&quot;:null,&quot;type&quot;:&quot;image/png&quot;,&quot;href&quot;:null,&quot;belowTheFold&quot;:true,&quot;topImage&quot;:false,&quot;internalRedirect&quot;:null,&quot;isProcessing&quot;:false,&quot;align&quot;:null,&quot;offset&quot;:false}" class="sizing-normal" alt="" srcset="https://substackcdn.com/image/fetch/$s_!7iMA!,w_424,c_limit,f_auto,q_auto:good,fl_progressive:steep/https%3A%2F%2Fsubstack-post-media.s3.amazonaws.com%2Fpublic%2Fimages%2Ff4165c0c-c692-4fec-973b-fe5e928f2f49_695x529.png 424w, https://substackcdn.com/image/fetch/$s_!7iMA!,w_848,c_limit,f_auto,q_auto:good,fl_progressive:steep/https%3A%2F%2Fsubstack-post-media.s3.amazonaws.com%2Fpublic%2Fimages%2Ff4165c0c-c692-4fec-973b-fe5e928f2f49_695x529.png 848w, https://substackcdn.com/image/fetch/$s_!7iMA!,w_1272,c_limit,f_auto,q_auto:good,fl_progressive:steep/https%3A%2F%2Fsubstack-post-media.s3.amazonaws.com%2Fpublic%2Fimages%2Ff4165c0c-c692-4fec-973b-fe5e928f2f49_695x529.png 1272w, https://substackcdn.com/image/fetch/$s_!7iMA!,w_1456,c_limit,f_auto,q_auto:good,fl_progressive:steep/https%3A%2F%2Fsubstack-post-media.s3.amazonaws.com%2Fpublic%2Fimages%2Ff4165c0c-c692-4fec-973b-fe5e928f2f49_695x529.png 1456w" sizes="100vw" loading="lazy"></picture><div class="image-link-expand"><div class="pencraft pc-display-flex pc-gap-8 pc-reset"><button tabindex="0" type="button" class="pencraft pc-reset pencraft icon-container restack-image"><svg role="img" width="20" height="20" viewBox="0 0 20 20" fill="none" stroke-width="1.5" stroke="var(--color-fg-primary)" stroke-linecap="round" stroke-linejoin="round" xmlns="http://www.w3.org/2000/svg"><g><title></title><path d="M2.53001 7.81595C3.49179 4.73911 6.43281 2.5 9.91173 2.5C13.1684 2.5 15.9537 4.46214 17.0852 7.23684L17.6179 8.67647M17.6179 8.67647L18.5002 4.26471M17.6179 8.67647L13.6473 6.91176M17.4995 12.1841C16.5378 15.2609 13.5967 17.5 10.1178 17.5C6.86118 17.5 4.07589 15.5379 2.94432 12.7632L2.41165 11.3235M2.41165 11.3235L1.5293 15.7353M2.41165 11.3235L6.38224 13.0882"></path></g></svg></button><button tabindex="0" type="button" class="pencraft pc-reset pencraft icon-container view-image"><svg xmlns="http://www.w3.org/2000/svg" width="20" height="20" viewBox="0 0 24 24" fill="none" stroke="currentColor" stroke-width="2" stroke-linecap="round" stroke-linejoin="round" class="lucide lucide-maximize2 lucide-maximize-2"><polyline points="15 3 21 3 21 9"></polyline><polyline points="9 21 3 21 3 15"></polyline><line x1="21" x2="14" y1="3" y2="10"></line><line x1="3" x2="10" y1="21" y2="14"></line></svg></button></div></div></div></a></figure></div><div><hr></div><p><strong>Which are preferred and why?</strong></p><p>For self-regulating (SR) cables, <strong>Aliphatic polyurethane coatings</strong> are typically preferred due to their exceptional UV resistance and broad temperature stability. This type of coating resists yellowing and deterioration from prolonged sunlight exposure, ensuring long-term durability, which is critical for outdoor applications.</p><p><strong>Additionally,</strong> aliphatic polyurethane remains stable up to <strong>around 100&#176;C,</strong> handling moderate temperature fluctuations without cracking, making it ideal for maintaining the cable's integrity in varying environmental conditions. This combination of UV resilience, temperature range compatibility, and mechanical durability makes aliphatic polyurethane the optimal choice for protecting SR cable outer jackets in demanding outdoor settings.</p><div><hr></div><h3><strong>UV-Resistant Electrical Tapes</strong>:</h3><p>Wrapping <strong>UV-resistant electrical tapes</strong> around exposed sections of the cable adds an extra layer of protection, especially in areas where sunlight exposure is intense. These tapes can be periodically replaced to maintain UV resistance over time.</p><p>Various types of UV-resistant Electrical tapes are:</p><ul><li><p><strong>3M Scotch Super 33+ Vinyl Electrical Tape</strong></p><ul><li><p><strong>UV Resistance</strong>: High, with robust resistance to abrasion, moisture, and various chemicals.</p></li><li><p><strong>Temperature Range</strong>: Effective from <strong>0&#176;F to 221&#176;F (-18&#176;C to 105&#176;C).</strong></p></li><li><p><strong>Application</strong>: Primarily used for insulating and protecting electrical wires and cables; suitable for both indoor and outdoor settings due to its durability and flexibility. It is highly conformable: resists UV rays, abrasion, corrosion, Alkalies and acids in all weather applications.</p></li></ul></li></ul><div class="captioned-image-container"><figure><a class="image-link image2 is-viewable-img" target="_blank" href="https://substackcdn.com/image/fetch/$s_!BUBq!,f_auto,q_auto:good,fl_progressive:steep/https%3A%2F%2Fsubstack-post-media.s3.amazonaws.com%2Fpublic%2Fimages%2F7a7040e9-5db0-415c-9dee-9b74c873a21c_446x474.png" data-component-name="Image2ToDOM"><div class="image2-inset"><picture><source type="image/webp" srcset="https://substackcdn.com/image/fetch/$s_!BUBq!,w_424,c_limit,f_webp,q_auto:good,fl_progressive:steep/https%3A%2F%2Fsubstack-post-media.s3.amazonaws.com%2Fpublic%2Fimages%2F7a7040e9-5db0-415c-9dee-9b74c873a21c_446x474.png 424w, https://substackcdn.com/image/fetch/$s_!BUBq!,w_848,c_limit,f_webp,q_auto:good,fl_progressive:steep/https%3A%2F%2Fsubstack-post-media.s3.amazonaws.com%2Fpublic%2Fimages%2F7a7040e9-5db0-415c-9dee-9b74c873a21c_446x474.png 848w, https://substackcdn.com/image/fetch/$s_!BUBq!,w_1272,c_limit,f_webp,q_auto:good,fl_progressive:steep/https%3A%2F%2Fsubstack-post-media.s3.amazonaws.com%2Fpublic%2Fimages%2F7a7040e9-5db0-415c-9dee-9b74c873a21c_446x474.png 1272w, https://substackcdn.com/image/fetch/$s_!BUBq!,w_1456,c_limit,f_webp,q_auto:good,fl_progressive:steep/https%3A%2F%2Fsubstack-post-media.s3.amazonaws.com%2Fpublic%2Fimages%2F7a7040e9-5db0-415c-9dee-9b74c873a21c_446x474.png 1456w" sizes="100vw"><img src="https://substackcdn.com/image/fetch/$s_!BUBq!,w_1456,c_limit,f_auto,q_auto:good,fl_progressive:steep/https%3A%2F%2Fsubstack-post-media.s3.amazonaws.com%2Fpublic%2Fimages%2F7a7040e9-5db0-415c-9dee-9b74c873a21c_446x474.png" width="264" height="280.5739910313901" data-attrs="{&quot;src&quot;:&quot;https://substack-post-media.s3.amazonaws.com/public/images/7a7040e9-5db0-415c-9dee-9b74c873a21c_446x474.png&quot;,&quot;srcNoWatermark&quot;:null,&quot;fullscreen&quot;:null,&quot;imageSize&quot;:null,&quot;height&quot;:474,&quot;width&quot;:446,&quot;resizeWidth&quot;:264,&quot;bytes&quot;:249133,&quot;alt&quot;:null,&quot;title&quot;:null,&quot;type&quot;:&quot;image/png&quot;,&quot;href&quot;:null,&quot;belowTheFold&quot;:true,&quot;topImage&quot;:false,&quot;internalRedirect&quot;:null,&quot;isProcessing&quot;:false,&quot;align&quot;:null,&quot;offset&quot;:false}" class="sizing-normal" alt="" srcset="https://substackcdn.com/image/fetch/$s_!BUBq!,w_424,c_limit,f_auto,q_auto:good,fl_progressive:steep/https%3A%2F%2Fsubstack-post-media.s3.amazonaws.com%2Fpublic%2Fimages%2F7a7040e9-5db0-415c-9dee-9b74c873a21c_446x474.png 424w, https://substackcdn.com/image/fetch/$s_!BUBq!,w_848,c_limit,f_auto,q_auto:good,fl_progressive:steep/https%3A%2F%2Fsubstack-post-media.s3.amazonaws.com%2Fpublic%2Fimages%2F7a7040e9-5db0-415c-9dee-9b74c873a21c_446x474.png 848w, https://substackcdn.com/image/fetch/$s_!BUBq!,w_1272,c_limit,f_auto,q_auto:good,fl_progressive:steep/https%3A%2F%2Fsubstack-post-media.s3.amazonaws.com%2Fpublic%2Fimages%2F7a7040e9-5db0-415c-9dee-9b74c873a21c_446x474.png 1272w, https://substackcdn.com/image/fetch/$s_!BUBq!,w_1456,c_limit,f_auto,q_auto:good,fl_progressive:steep/https%3A%2F%2Fsubstack-post-media.s3.amazonaws.com%2Fpublic%2Fimages%2F7a7040e9-5db0-415c-9dee-9b74c873a21c_446x474.png 1456w" sizes="100vw" loading="lazy"></picture><div class="image-link-expand"><div class="pencraft pc-display-flex pc-gap-8 pc-reset"><button tabindex="0" type="button" class="pencraft pc-reset pencraft icon-container restack-image"><svg role="img" width="20" height="20" viewBox="0 0 20 20" fill="none" stroke-width="1.5" stroke="var(--color-fg-primary)" stroke-linecap="round" stroke-linejoin="round" xmlns="http://www.w3.org/2000/svg"><g><title></title><path d="M2.53001 7.81595C3.49179 4.73911 6.43281 2.5 9.91173 2.5C13.1684 2.5 15.9537 4.46214 17.0852 7.23684L17.6179 8.67647M17.6179 8.67647L18.5002 4.26471M17.6179 8.67647L13.6473 6.91176M17.4995 12.1841C16.5378 15.2609 13.5967 17.5 10.1178 17.5C6.86118 17.5 4.07589 15.5379 2.94432 12.7632L2.41165 11.3235M2.41165 11.3235L1.5293 15.7353M2.41165 11.3235L6.38224 13.0882"></path></g></svg></button><button tabindex="0" type="button" class="pencraft pc-reset pencraft icon-container view-image"><svg xmlns="http://www.w3.org/2000/svg" width="20" height="20" viewBox="0 0 24 24" fill="none" stroke="currentColor" stroke-width="2" stroke-linecap="round" stroke-linejoin="round" class="lucide lucide-maximize2 lucide-maximize-2"><polyline points="15 3 21 3 21 9"></polyline><polyline points="9 21 3 21 3 15"></polyline><line x1="21" x2="14" y1="3" y2="10"></line><line x1="3" x2="10" y1="21" y2="14"></line></svg></button></div></div></div></a><figcaption class="image-caption">3M Scotch Super 33+ Vinyl Electrical Tape</figcaption></figure></div><div><hr></div><ul><li><p><strong>3M Scotch Rubber Mastic Tape 2228</strong></p><ul><li><p><strong>UV Resistance</strong>: High, with a thick mastic construction that enhances its durability under UV exposure. Offers resistance to moisture and ultraviolet exposure and is intended for both indoor and weather-exposed outdoor applications.</p></li><li><p><strong>Temperature Range</strong>: Effective <strong>up to 194&#176;F (90&#176;C).</strong></p></li><li><p><strong>Application</strong>: Best for sealing and insulating electrical splices and protecting against moisture in outdoor installations. Its thick build makes it ideal for irregular or high-stress cable areas.</p></li></ul></li></ul><div class="captioned-image-container"><figure><a class="image-link image2" target="_blank" href="https://substackcdn.com/image/fetch/$s_!3O9B!,f_auto,q_auto:good,fl_progressive:steep/https%3A%2F%2Fsubstack-post-media.s3.amazonaws.com%2Fpublic%2Fimages%2Fae9a70bf-ea5a-432a-b251-30bb5be3d95e_442x268.png" data-component-name="Image2ToDOM"><div class="image2-inset"><picture><source type="image/webp" srcset="https://substackcdn.com/image/fetch/$s_!3O9B!,w_424,c_limit,f_webp,q_auto:good,fl_progressive:steep/https%3A%2F%2Fsubstack-post-media.s3.amazonaws.com%2Fpublic%2Fimages%2Fae9a70bf-ea5a-432a-b251-30bb5be3d95e_442x268.png 424w, https://substackcdn.com/image/fetch/$s_!3O9B!,w_848,c_limit,f_webp,q_auto:good,fl_progressive:steep/https%3A%2F%2Fsubstack-post-media.s3.amazonaws.com%2Fpublic%2Fimages%2Fae9a70bf-ea5a-432a-b251-30bb5be3d95e_442x268.png 848w, https://substackcdn.com/image/fetch/$s_!3O9B!,w_1272,c_limit,f_webp,q_auto:good,fl_progressive:steep/https%3A%2F%2Fsubstack-post-media.s3.amazonaws.com%2Fpublic%2Fimages%2Fae9a70bf-ea5a-432a-b251-30bb5be3d95e_442x268.png 1272w, https://substackcdn.com/image/fetch/$s_!3O9B!,w_1456,c_limit,f_webp,q_auto:good,fl_progressive:steep/https%3A%2F%2Fsubstack-post-media.s3.amazonaws.com%2Fpublic%2Fimages%2Fae9a70bf-ea5a-432a-b251-30bb5be3d95e_442x268.png 1456w" sizes="100vw"><img src="https://substackcdn.com/image/fetch/$s_!3O9B!,w_1456,c_limit,f_auto,q_auto:good,fl_progressive:steep/https%3A%2F%2Fsubstack-post-media.s3.amazonaws.com%2Fpublic%2Fimages%2Fae9a70bf-ea5a-432a-b251-30bb5be3d95e_442x268.png" width="316" height="191.60180995475113" data-attrs="{&quot;src&quot;:&quot;https://substack-post-media.s3.amazonaws.com/public/images/ae9a70bf-ea5a-432a-b251-30bb5be3d95e_442x268.png&quot;,&quot;srcNoWatermark&quot;:null,&quot;fullscreen&quot;:null,&quot;imageSize&quot;:null,&quot;height&quot;:268,&quot;width&quot;:442,&quot;resizeWidth&quot;:316,&quot;bytes&quot;:160951,&quot;alt&quot;:null,&quot;title&quot;:null,&quot;type&quot;:&quot;image/png&quot;,&quot;href&quot;:null,&quot;belowTheFold&quot;:true,&quot;topImage&quot;:false,&quot;internalRedirect&quot;:null,&quot;isProcessing&quot;:false,&quot;align&quot;:null,&quot;offset&quot;:false}" class="sizing-normal" alt="" srcset="https://substackcdn.com/image/fetch/$s_!3O9B!,w_424,c_limit,f_auto,q_auto:good,fl_progressive:steep/https%3A%2F%2Fsubstack-post-media.s3.amazonaws.com%2Fpublic%2Fimages%2Fae9a70bf-ea5a-432a-b251-30bb5be3d95e_442x268.png 424w, https://substackcdn.com/image/fetch/$s_!3O9B!,w_848,c_limit,f_auto,q_auto:good,fl_progressive:steep/https%3A%2F%2Fsubstack-post-media.s3.amazonaws.com%2Fpublic%2Fimages%2Fae9a70bf-ea5a-432a-b251-30bb5be3d95e_442x268.png 848w, https://substackcdn.com/image/fetch/$s_!3O9B!,w_1272,c_limit,f_auto,q_auto:good,fl_progressive:steep/https%3A%2F%2Fsubstack-post-media.s3.amazonaws.com%2Fpublic%2Fimages%2Fae9a70bf-ea5a-432a-b251-30bb5be3d95e_442x268.png 1272w, https://substackcdn.com/image/fetch/$s_!3O9B!,w_1456,c_limit,f_auto,q_auto:good,fl_progressive:steep/https%3A%2F%2Fsubstack-post-media.s3.amazonaws.com%2Fpublic%2Fimages%2Fae9a70bf-ea5a-432a-b251-30bb5be3d95e_442x268.png 1456w" sizes="100vw" loading="lazy"></picture><div></div></div></a><figcaption class="image-caption">3M Scotch Rubber Mastic Tape 2228</figcaption></figure></div><div><hr></div><h3><strong>Conclusion</strong></h3><p>In conclusion, mitigating UV damage to self-regulating heating cables is essential to ensure long-term durability and performance in outdoor environments. By utilizing UV-resistant materials, protective coatings, and physical shielding such as conduits, industries can significantly reduce the harmful effects of UV exposure. Regular maintenance and strategic cable placement further extend the lifespan of these cables, minimizing costly repairs and ensuring reliable heating system operation. Implementing these strategies offers enhanced protection and efficiency, safeguarding your investment over time.</p><div class="subscription-widget-wrap-editor" data-attrs="{&quot;url&quot;:&quot;https://www.precisionnewsletter.com/subscribe?&quot;,&quot;text&quot;:&quot;Subscribe&quot;,&quot;language&quot;:&quot;en&quot;}" data-component-name="SubscribeWidgetToDOM"><div class="subscription-widget show-subscribe"><div class="preamble"><p class="cta-caption">Thanks for reading Precision Newsletter! Subscribe for free to receive new posts and support my work.</p></div><form class="subscription-widget-subscribe"><input type="email" class="email-input" name="email" placeholder="Type your email&#8230;" tabindex="-1"><input type="submit" class="button primary" value="Subscribe"><div class="fake-input-wrapper"><div class="fake-input"></div><div class="fake-button"></div></div></form></div></div>]]></content:encoded></item><item><title><![CDATA[Understanding Thermal Cycling Stress: Enhancing Durability of Self-Regulating Heating Cables]]></title><description><![CDATA[In an industry where reliability and efficiency are paramount, can we afford to overlook the longevity of self-regulating heating cables?]]></description><link>https://www.precisionnewsletter.com/p/understanding-thermal-cycling-stress</link><guid isPermaLink="false">https://www.precisionnewsletter.com/p/understanding-thermal-cycling-stress</guid><dc:creator><![CDATA[Jinwook Jung]]></dc:creator><pubDate>Fri, 17 Jan 2025 10:35:40 GMT</pubDate><enclosure url="https://substack-post-media.s3.amazonaws.com/public/images/f4ed1c5f-63da-4aec-bf66-0285337fc5f9_6000x4000.jpeg" length="0" type="image/jpeg"/><content:encoded><![CDATA[<h2>Abstract</h2><p>This article explores the challenges of thermal cycling stress on self-regulating heating cables, focusing on how repeated heating and cooling cycles lead to material fatigue and compromise durability. Thermal cycling stress varies significantly with temperature: at low temperatures, brittleness can cause microcracking, while high temperatures lead to expansion, softening, and potential oxidation. Practical solutions to counter these effects include selecting durable insulation materials(including comparison table of various materials), deploying heat-tracing controllers to manage temperature fluctuations, integrating design adaptations like expansion loops, and scheduling regular maintenance. By applying these strategies, industries can significantly enhance the lifespan, reliability, and cost-effectiveness of their heating cable systems, reducing the risk of failures and downtime in high-demand applications.</p><h2>Problem</h2><p>Industries that rely on self-regulating heating cables face a significant challenge with <strong>thermal cycling stress</strong> arising from repeated heating and cooling cycles. These fluctuations cause materials in the cables to expand and contract, leading to mechanical fatigue, microcracking, and, over time, a reduction in the cables' structural integrity.</p><div class="subscription-widget-wrap-editor" data-attrs="{&quot;url&quot;:&quot;https://www.precisionnewsletter.com/subscribe?&quot;,&quot;text&quot;:&quot;Subscribe&quot;,&quot;language&quot;:&quot;en&quot;}" data-component-name="SubscribeWidgetToDOM"><div class="subscription-widget show-subscribe"><div class="preamble"><p class="cta-caption">Thanks for reading Precision Newsletter! Subscribe for free to receive new posts and support my work.</p></div><form class="subscription-widget-subscribe"><input type="email" class="email-input" name="email" placeholder="Type your email&#8230;" tabindex="-1"><input type="submit" class="button primary" value="Subscribe"><div class="fake-input-wrapper"><div class="fake-input"></div><div class="fake-button"></div></div></form></div></div><h2>Purpose</h2><p>The purpose of our article is to shed light on the specific challenges posed by thermal cycling stress and offer practical solutions for mitigating its effects. By educating industry professionals on the causes and consequences of this stress, as well as providing actionable strategies such as material selection, thermal insulation, and proactive maintenance, the article aims to help industries extend the lifespan and maximizing durability of their heating cable systems.</p><h2>Thermal Cycling Stress: How It Differs at Low and High Temperatures</h2><h3>Introduction</h3><p>Thermal cycling stress refers to the mechanical stress generated in materials due to <strong>repeated temperature fluctuations</strong>. As temperatures change, materials expand and contract. Over time, these cyclical movements lead to mechanical fatigue, deformation, or even failure. While this phenomenon is especially critical for equipment like pipelines and traditional electrical cables, self-regulating heating cables (SR cables) are specifically designed to adapt to temperature variations, mitigating the direct impact of thermal cycling stress. However, other environmental factors, such as prolonged exposure to extreme temperatures, can still influence the durability and performance of SR cables.</p><h3>Science behind thermal cycling stress</h3><p>The amount of expansion or contraction depends on the material&#8217;s <em><strong>thermal expansion coefficient</strong></em>. Thermal cycling becomes problematic when materials undergo frequent heating and cooling over time. Each cycle adds <strong>mechanical stress</strong>, which eventually leads to fatigue and cracking.</p><p><strong>Formula:</strong></p><div class="captioned-image-container"><figure><a class="image-link image2" target="_blank" href="https://substackcdn.com/image/fetch/$s_!u3jh!,f_auto,q_auto:good,fl_progressive:steep/https%3A%2F%2Fsubstack-post-media.s3.amazonaws.com%2Fpublic%2Fimages%2F5c5074a0-c881-4132-91a0-031cd43368d3_196x42.png" data-component-name="Image2ToDOM"><div class="image2-inset"><picture><source type="image/webp" srcset="https://substackcdn.com/image/fetch/$s_!u3jh!,w_424,c_limit,f_webp,q_auto:good,fl_progressive:steep/https%3A%2F%2Fsubstack-post-media.s3.amazonaws.com%2Fpublic%2Fimages%2F5c5074a0-c881-4132-91a0-031cd43368d3_196x42.png 424w, https://substackcdn.com/image/fetch/$s_!u3jh!,w_848,c_limit,f_webp,q_auto:good,fl_progressive:steep/https%3A%2F%2Fsubstack-post-media.s3.amazonaws.com%2Fpublic%2Fimages%2F5c5074a0-c881-4132-91a0-031cd43368d3_196x42.png 848w, https://substackcdn.com/image/fetch/$s_!u3jh!,w_1272,c_limit,f_webp,q_auto:good,fl_progressive:steep/https%3A%2F%2Fsubstack-post-media.s3.amazonaws.com%2Fpublic%2Fimages%2F5c5074a0-c881-4132-91a0-031cd43368d3_196x42.png 1272w, https://substackcdn.com/image/fetch/$s_!u3jh!,w_1456,c_limit,f_webp,q_auto:good,fl_progressive:steep/https%3A%2F%2Fsubstack-post-media.s3.amazonaws.com%2Fpublic%2Fimages%2F5c5074a0-c881-4132-91a0-031cd43368d3_196x42.png 1456w" sizes="100vw"><img src="https://substackcdn.com/image/fetch/$s_!u3jh!,w_1456,c_limit,f_auto,q_auto:good,fl_progressive:steep/https%3A%2F%2Fsubstack-post-media.s3.amazonaws.com%2Fpublic%2Fimages%2F5c5074a0-c881-4132-91a0-031cd43368d3_196x42.png" width="196" height="42" data-attrs="{&quot;src&quot;:&quot;https://substack-post-media.s3.amazonaws.com/public/images/5c5074a0-c881-4132-91a0-031cd43368d3_196x42.png&quot;,&quot;srcNoWatermark&quot;:null,&quot;fullscreen&quot;:null,&quot;imageSize&quot;:null,&quot;height&quot;:42,&quot;width&quot;:196,&quot;resizeWidth&quot;:null,&quot;bytes&quot;:2822,&quot;alt&quot;:null,&quot;title&quot;:null,&quot;type&quot;:&quot;image/png&quot;,&quot;href&quot;:null,&quot;belowTheFold&quot;:true,&quot;topImage&quot;:false,&quot;internalRedirect&quot;:null,&quot;isProcessing&quot;:false,&quot;align&quot;:null,&quot;offset&quot;:false}" class="sizing-normal" alt="" srcset="https://substackcdn.com/image/fetch/$s_!u3jh!,w_424,c_limit,f_auto,q_auto:good,fl_progressive:steep/https%3A%2F%2Fsubstack-post-media.s3.amazonaws.com%2Fpublic%2Fimages%2F5c5074a0-c881-4132-91a0-031cd43368d3_196x42.png 424w, https://substackcdn.com/image/fetch/$s_!u3jh!,w_848,c_limit,f_auto,q_auto:good,fl_progressive:steep/https%3A%2F%2Fsubstack-post-media.s3.amazonaws.com%2Fpublic%2Fimages%2F5c5074a0-c881-4132-91a0-031cd43368d3_196x42.png 848w, https://substackcdn.com/image/fetch/$s_!u3jh!,w_1272,c_limit,f_auto,q_auto:good,fl_progressive:steep/https%3A%2F%2Fsubstack-post-media.s3.amazonaws.com%2Fpublic%2Fimages%2F5c5074a0-c881-4132-91a0-031cd43368d3_196x42.png 1272w, https://substackcdn.com/image/fetch/$s_!u3jh!,w_1456,c_limit,f_auto,q_auto:good,fl_progressive:steep/https%3A%2F%2Fsubstack-post-media.s3.amazonaws.com%2Fpublic%2Fimages%2F5c5074a0-c881-4132-91a0-031cd43368d3_196x42.png 1456w" sizes="100vw" loading="lazy"></picture><div></div></div></a></figure></div><p>where</p><ul><li><p>&#963;: Thermal stress (Pa)</p></li><li><p>E: Young&#8217;s modulus of the material (Pa)</p></li><li><p>&#945;: Coefficient of thermal expansion (1/&#176;C)</p></li><li><p>&#916;T: Temperature difference between cycles (&#176;C)</p></li></ul><p>Below is a <strong>graph</strong> showing how thermal stress accumulates over time during thermal cycling at different temperature ranges.</p><div class="captioned-image-container"><figure><a class="image-link image2" target="_blank" href="https://substackcdn.com/image/fetch/$s_!Vy31!,f_auto,q_auto:good,fl_progressive:steep/https%3A%2F%2Fsubstack-post-media.s3.amazonaws.com%2Fpublic%2Fimages%2F0eaf0004-26e6-4b09-9602-7066de2fae81_482x42.png" data-component-name="Image2ToDOM"><div class="image2-inset"><picture><source type="image/webp" srcset="https://substackcdn.com/image/fetch/$s_!Vy31!,w_424,c_limit,f_webp,q_auto:good,fl_progressive:steep/https%3A%2F%2Fsubstack-post-media.s3.amazonaws.com%2Fpublic%2Fimages%2F0eaf0004-26e6-4b09-9602-7066de2fae81_482x42.png 424w, https://substackcdn.com/image/fetch/$s_!Vy31!,w_848,c_limit,f_webp,q_auto:good,fl_progressive:steep/https%3A%2F%2Fsubstack-post-media.s3.amazonaws.com%2Fpublic%2Fimages%2F0eaf0004-26e6-4b09-9602-7066de2fae81_482x42.png 848w, https://substackcdn.com/image/fetch/$s_!Vy31!,w_1272,c_limit,f_webp,q_auto:good,fl_progressive:steep/https%3A%2F%2Fsubstack-post-media.s3.amazonaws.com%2Fpublic%2Fimages%2F0eaf0004-26e6-4b09-9602-7066de2fae81_482x42.png 1272w, https://substackcdn.com/image/fetch/$s_!Vy31!,w_1456,c_limit,f_webp,q_auto:good,fl_progressive:steep/https%3A%2F%2Fsubstack-post-media.s3.amazonaws.com%2Fpublic%2Fimages%2F0eaf0004-26e6-4b09-9602-7066de2fae81_482x42.png 1456w" sizes="100vw"><img src="https://substackcdn.com/image/fetch/$s_!Vy31!,w_1456,c_limit,f_auto,q_auto:good,fl_progressive:steep/https%3A%2F%2Fsubstack-post-media.s3.amazonaws.com%2Fpublic%2Fimages%2F0eaf0004-26e6-4b09-9602-7066de2fae81_482x42.png" width="482" height="42" data-attrs="{&quot;src&quot;:&quot;https://substack-post-media.s3.amazonaws.com/public/images/0eaf0004-26e6-4b09-9602-7066de2fae81_482x42.png&quot;,&quot;srcNoWatermark&quot;:null,&quot;fullscreen&quot;:null,&quot;imageSize&quot;:null,&quot;height&quot;:42,&quot;width&quot;:482,&quot;resizeWidth&quot;:null,&quot;bytes&quot;:7151,&quot;alt&quot;:null,&quot;title&quot;:null,&quot;type&quot;:&quot;image/png&quot;,&quot;href&quot;:null,&quot;belowTheFold&quot;:true,&quot;topImage&quot;:false,&quot;internalRedirect&quot;:null,&quot;isProcessing&quot;:false,&quot;align&quot;:null,&quot;offset&quot;:false}" class="sizing-normal" alt="" srcset="https://substackcdn.com/image/fetch/$s_!Vy31!,w_424,c_limit,f_auto,q_auto:good,fl_progressive:steep/https%3A%2F%2Fsubstack-post-media.s3.amazonaws.com%2Fpublic%2Fimages%2F0eaf0004-26e6-4b09-9602-7066de2fae81_482x42.png 424w, https://substackcdn.com/image/fetch/$s_!Vy31!,w_848,c_limit,f_auto,q_auto:good,fl_progressive:steep/https%3A%2F%2Fsubstack-post-media.s3.amazonaws.com%2Fpublic%2Fimages%2F0eaf0004-26e6-4b09-9602-7066de2fae81_482x42.png 848w, https://substackcdn.com/image/fetch/$s_!Vy31!,w_1272,c_limit,f_auto,q_auto:good,fl_progressive:steep/https%3A%2F%2Fsubstack-post-media.s3.amazonaws.com%2Fpublic%2Fimages%2F0eaf0004-26e6-4b09-9602-7066de2fae81_482x42.png 1272w, https://substackcdn.com/image/fetch/$s_!Vy31!,w_1456,c_limit,f_auto,q_auto:good,fl_progressive:steep/https%3A%2F%2Fsubstack-post-media.s3.amazonaws.com%2Fpublic%2Fimages%2F0eaf0004-26e6-4b09-9602-7066de2fae81_482x42.png 1456w" sizes="100vw" loading="lazy"></picture><div></div></div></a></figure></div><div class="captioned-image-container"><figure><a class="image-link image2 is-viewable-img" target="_blank" href="https://substackcdn.com/image/fetch/$s_!Pb4y!,f_auto,q_auto:good,fl_progressive:steep/https%3A%2F%2Fsubstack-post-media.s3.amazonaws.com%2Fpublic%2Fimages%2F1cd8a611-3b5e-4d29-b014-4b6c5b90ff59_428x307.png" data-component-name="Image2ToDOM"><div class="image2-inset"><picture><source type="image/webp" srcset="https://substackcdn.com/image/fetch/$s_!Pb4y!,w_424,c_limit,f_webp,q_auto:good,fl_progressive:steep/https%3A%2F%2Fsubstack-post-media.s3.amazonaws.com%2Fpublic%2Fimages%2F1cd8a611-3b5e-4d29-b014-4b6c5b90ff59_428x307.png 424w, https://substackcdn.com/image/fetch/$s_!Pb4y!,w_848,c_limit,f_webp,q_auto:good,fl_progressive:steep/https%3A%2F%2Fsubstack-post-media.s3.amazonaws.com%2Fpublic%2Fimages%2F1cd8a611-3b5e-4d29-b014-4b6c5b90ff59_428x307.png 848w, https://substackcdn.com/image/fetch/$s_!Pb4y!,w_1272,c_limit,f_webp,q_auto:good,fl_progressive:steep/https%3A%2F%2Fsubstack-post-media.s3.amazonaws.com%2Fpublic%2Fimages%2F1cd8a611-3b5e-4d29-b014-4b6c5b90ff59_428x307.png 1272w, https://substackcdn.com/image/fetch/$s_!Pb4y!,w_1456,c_limit,f_webp,q_auto:good,fl_progressive:steep/https%3A%2F%2Fsubstack-post-media.s3.amazonaws.com%2Fpublic%2Fimages%2F1cd8a611-3b5e-4d29-b014-4b6c5b90ff59_428x307.png 1456w" sizes="100vw"><img src="https://substackcdn.com/image/fetch/$s_!Pb4y!,w_1456,c_limit,f_auto,q_auto:good,fl_progressive:steep/https%3A%2F%2Fsubstack-post-media.s3.amazonaws.com%2Fpublic%2Fimages%2F1cd8a611-3b5e-4d29-b014-4b6c5b90ff59_428x307.png" width="428" height="307" data-attrs="{&quot;src&quot;:&quot;https://substack-post-media.s3.amazonaws.com/public/images/1cd8a611-3b5e-4d29-b014-4b6c5b90ff59_428x307.png&quot;,&quot;srcNoWatermark&quot;:null,&quot;fullscreen&quot;:null,&quot;imageSize&quot;:null,&quot;height&quot;:307,&quot;width&quot;:428,&quot;resizeWidth&quot;:null,&quot;bytes&quot;:92215,&quot;alt&quot;:null,&quot;title&quot;:null,&quot;type&quot;:&quot;image/png&quot;,&quot;href&quot;:null,&quot;belowTheFold&quot;:true,&quot;topImage&quot;:false,&quot;internalRedirect&quot;:null,&quot;isProcessing&quot;:false,&quot;align&quot;:null,&quot;offset&quot;:false}" class="sizing-normal" alt="" srcset="https://substackcdn.com/image/fetch/$s_!Pb4y!,w_424,c_limit,f_auto,q_auto:good,fl_progressive:steep/https%3A%2F%2Fsubstack-post-media.s3.amazonaws.com%2Fpublic%2Fimages%2F1cd8a611-3b5e-4d29-b014-4b6c5b90ff59_428x307.png 424w, https://substackcdn.com/image/fetch/$s_!Pb4y!,w_848,c_limit,f_auto,q_auto:good,fl_progressive:steep/https%3A%2F%2Fsubstack-post-media.s3.amazonaws.com%2Fpublic%2Fimages%2F1cd8a611-3b5e-4d29-b014-4b6c5b90ff59_428x307.png 848w, https://substackcdn.com/image/fetch/$s_!Pb4y!,w_1272,c_limit,f_auto,q_auto:good,fl_progressive:steep/https%3A%2F%2Fsubstack-post-media.s3.amazonaws.com%2Fpublic%2Fimages%2F1cd8a611-3b5e-4d29-b014-4b6c5b90ff59_428x307.png 1272w, https://substackcdn.com/image/fetch/$s_!Pb4y!,w_1456,c_limit,f_auto,q_auto:good,fl_progressive:steep/https%3A%2F%2Fsubstack-post-media.s3.amazonaws.com%2Fpublic%2Fimages%2F1cd8a611-3b5e-4d29-b014-4b6c5b90ff59_428x307.png 1456w" sizes="100vw" loading="lazy"></picture><div class="image-link-expand"><div class="pencraft pc-display-flex pc-gap-8 pc-reset"><button tabindex="0" type="button" class="pencraft pc-reset pencraft icon-container restack-image"><svg role="img" width="20" height="20" viewBox="0 0 20 20" fill="none" stroke-width="1.5" stroke="var(--color-fg-primary)" stroke-linecap="round" stroke-linejoin="round" xmlns="http://www.w3.org/2000/svg"><g><title></title><path d="M2.53001 7.81595C3.49179 4.73911 6.43281 2.5 9.91173 2.5C13.1684 2.5 15.9537 4.46214 17.0852 7.23684L17.6179 8.67647M17.6179 8.67647L18.5002 4.26471M17.6179 8.67647L13.6473 6.91176M17.4995 12.1841C16.5378 15.2609 13.5967 17.5 10.1178 17.5C6.86118 17.5 4.07589 15.5379 2.94432 12.7632L2.41165 11.3235M2.41165 11.3235L1.5293 15.7353M2.41165 11.3235L6.38224 13.0882"></path></g></svg></button><button tabindex="0" type="button" class="pencraft pc-reset pencraft icon-container view-image"><svg xmlns="http://www.w3.org/2000/svg" width="20" height="20" viewBox="0 0 24 24" fill="none" stroke="currentColor" stroke-width="2" stroke-linecap="round" stroke-linejoin="round" class="lucide lucide-maximize2 lucide-maximize-2"><polyline points="15 3 21 3 21 9"></polyline><polyline points="9 21 3 21 3 15"></polyline><line x1="21" x2="14" y1="3" y2="10"></line><line x1="3" x2="10" y1="21" y2="14"></line></svg></button></div></div></div></a></figure></div><h3>Thermal cycling stress at low temperature</h3><p>At <strong>low temperatures</strong>, materials often exhibit <strong>brittleness</strong>, losing their elasticity and becoming more susceptible to fracture under stress, which increases the likelihood of sudden failures in various applications. Additionally, the <strong>reduced thermal expansion</strong> at low temperatures results in less pronounced changes in size and shape, as the temperature fluctuations per cycle tend to be smaller, posing challenges in accommodating thermal stresses, particularly in systems designed for higher operational temperatures. This brittle behavior facilitates the formation of <strong>microcracks</strong> during thermal cycling, leading to accelerated fatigue and a significant reduction in structural integrity. Moreover, some materials may exhibit <strong>delayed recovery</strong>, meaning they do not return to their original shape immediately after contraction, which can lead to <strong>cumulative stress</strong> within the material. Understanding these behaviors is essential for selecting appropriate materials and designing systems that can withstand the challenges posed by low-temperature environments.</p><div class="captioned-image-container"><figure><a class="image-link image2 is-viewable-img" target="_blank" href="https://substackcdn.com/image/fetch/$s_!S9go!,f_auto,q_auto:good,fl_progressive:steep/https%3A%2F%2Fsubstack-post-media.s3.amazonaws.com%2Fpublic%2Fimages%2F0bbebf45-b3cb-4671-8c61-38ad3f68f50b_540x333.jpeg" data-component-name="Image2ToDOM"><div class="image2-inset"><picture><source type="image/webp" srcset="https://substackcdn.com/image/fetch/$s_!S9go!,w_424,c_limit,f_webp,q_auto:good,fl_progressive:steep/https%3A%2F%2Fsubstack-post-media.s3.amazonaws.com%2Fpublic%2Fimages%2F0bbebf45-b3cb-4671-8c61-38ad3f68f50b_540x333.jpeg 424w, https://substackcdn.com/image/fetch/$s_!S9go!,w_848,c_limit,f_webp,q_auto:good,fl_progressive:steep/https%3A%2F%2Fsubstack-post-media.s3.amazonaws.com%2Fpublic%2Fimages%2F0bbebf45-b3cb-4671-8c61-38ad3f68f50b_540x333.jpeg 848w, https://substackcdn.com/image/fetch/$s_!S9go!,w_1272,c_limit,f_webp,q_auto:good,fl_progressive:steep/https%3A%2F%2Fsubstack-post-media.s3.amazonaws.com%2Fpublic%2Fimages%2F0bbebf45-b3cb-4671-8c61-38ad3f68f50b_540x333.jpeg 1272w, https://substackcdn.com/image/fetch/$s_!S9go!,w_1456,c_limit,f_webp,q_auto:good,fl_progressive:steep/https%3A%2F%2Fsubstack-post-media.s3.amazonaws.com%2Fpublic%2Fimages%2F0bbebf45-b3cb-4671-8c61-38ad3f68f50b_540x333.jpeg 1456w" sizes="100vw"><img src="https://substackcdn.com/image/fetch/$s_!S9go!,w_1456,c_limit,f_auto,q_auto:good,fl_progressive:steep/https%3A%2F%2Fsubstack-post-media.s3.amazonaws.com%2Fpublic%2Fimages%2F0bbebf45-b3cb-4671-8c61-38ad3f68f50b_540x333.jpeg" width="540" height="333" data-attrs="{&quot;src&quot;:&quot;https://substack-post-media.s3.amazonaws.com/public/images/0bbebf45-b3cb-4671-8c61-38ad3f68f50b_540x333.jpeg&quot;,&quot;srcNoWatermark&quot;:null,&quot;fullscreen&quot;:null,&quot;imageSize&quot;:null,&quot;height&quot;:333,&quot;width&quot;:540,&quot;resizeWidth&quot;:null,&quot;bytes&quot;:17210,&quot;alt&quot;:null,&quot;title&quot;:null,&quot;type&quot;:&quot;image/jpeg&quot;,&quot;href&quot;:null,&quot;belowTheFold&quot;:true,&quot;topImage&quot;:false,&quot;internalRedirect&quot;:null,&quot;isProcessing&quot;:false,&quot;align&quot;:null,&quot;offset&quot;:false}" class="sizing-normal" alt="" srcset="https://substackcdn.com/image/fetch/$s_!S9go!,w_424,c_limit,f_auto,q_auto:good,fl_progressive:steep/https%3A%2F%2Fsubstack-post-media.s3.amazonaws.com%2Fpublic%2Fimages%2F0bbebf45-b3cb-4671-8c61-38ad3f68f50b_540x333.jpeg 424w, https://substackcdn.com/image/fetch/$s_!S9go!,w_848,c_limit,f_auto,q_auto:good,fl_progressive:steep/https%3A%2F%2Fsubstack-post-media.s3.amazonaws.com%2Fpublic%2Fimages%2F0bbebf45-b3cb-4671-8c61-38ad3f68f50b_540x333.jpeg 848w, https://substackcdn.com/image/fetch/$s_!S9go!,w_1272,c_limit,f_auto,q_auto:good,fl_progressive:steep/https%3A%2F%2Fsubstack-post-media.s3.amazonaws.com%2Fpublic%2Fimages%2F0bbebf45-b3cb-4671-8c61-38ad3f68f50b_540x333.jpeg 1272w, https://substackcdn.com/image/fetch/$s_!S9go!,w_1456,c_limit,f_auto,q_auto:good,fl_progressive:steep/https%3A%2F%2Fsubstack-post-media.s3.amazonaws.com%2Fpublic%2Fimages%2F0bbebf45-b3cb-4671-8c61-38ad3f68f50b_540x333.jpeg 1456w" sizes="100vw" loading="lazy"></picture><div class="image-link-expand"><div class="pencraft pc-display-flex pc-gap-8 pc-reset"><button tabindex="0" type="button" class="pencraft pc-reset pencraft icon-container restack-image"><svg role="img" width="20" height="20" viewBox="0 0 20 20" fill="none" stroke-width="1.5" stroke="var(--color-fg-primary)" stroke-linecap="round" stroke-linejoin="round" xmlns="http://www.w3.org/2000/svg"><g><title></title><path d="M2.53001 7.81595C3.49179 4.73911 6.43281 2.5 9.91173 2.5C13.1684 2.5 15.9537 4.46214 17.0852 7.23684L17.6179 8.67647M17.6179 8.67647L18.5002 4.26471M17.6179 8.67647L13.6473 6.91176M17.4995 12.1841C16.5378 15.2609 13.5967 17.5 10.1178 17.5C6.86118 17.5 4.07589 15.5379 2.94432 12.7632L2.41165 11.3235M2.41165 11.3235L1.5293 15.7353M2.41165 11.3235L6.38224 13.0882"></path></g></svg></button><button tabindex="0" type="button" class="pencraft pc-reset pencraft icon-container view-image"><svg xmlns="http://www.w3.org/2000/svg" width="20" height="20" viewBox="0 0 24 24" fill="none" stroke="currentColor" stroke-width="2" stroke-linecap="round" stroke-linejoin="round" class="lucide lucide-maximize2 lucide-maximize-2"><polyline points="15 3 21 3 21 9"></polyline><polyline points="9 21 3 21 3 15"></polyline><line x1="21" x2="14" y1="3" y2="10"></line><line x1="3" x2="10" y1="21" y2="14"></line></svg></button></div></div></div></a><figcaption class="image-caption">This image illustrates brittleness in metals, which is a similar phenomenon observed in heating cables under repeated thermal stress</figcaption></figure></div><h3>Thermal cycling stress at high temperature</h3><p>At <strong>elevated temperatures</strong>, materials experience <strong>softening</strong>, which increases their ductility, allowing them to stretch without breaking. This characteristic is critical in applications where materials must accommodate thermal expansion. As the temperature rises, materials undergo <strong>higher expansion</strong>, leading to more significant internal stress if they are restrained. This phenomenon can result in mechanical failures if not properly managed.</p><div class="image-gallery-embed" data-attrs="{&quot;gallery&quot;:{&quot;images&quot;:[{&quot;type&quot;:&quot;image/png&quot;,&quot;src&quot;:&quot;https://substack-post-media.s3.amazonaws.com/public/images/337a20d5-7954-4aa8-b991-a15b9f909aa4_402x337.png&quot;},{&quot;type&quot;:&quot;image/png&quot;,&quot;src&quot;:&quot;https://substack-post-media.s3.amazonaws.com/public/images/0d8f07e3-15d3-4b4f-b2b0-3551e153902f_313x488.png&quot;}],&quot;caption&quot;:&quot;Thermal expansion phenomena&quot;,&quot;alt&quot;:&quot;&quot;,&quot;staticGalleryImage&quot;:{&quot;type&quot;:&quot;image/png&quot;,&quot;src&quot;:&quot;https://substack-post-media.s3.amazonaws.com/public/images/1d861c35-8fb8-4969-a608-85ed15d6f472_1456x720.png&quot;}},&quot;isEditorNode&quot;:true}"></div><p>Furthermore, prolonged exposure to high temperatures leads to the <strong>creep effect</strong>, a gradual deformation that occurs over time. This slow deformation amplifies stress buildup during thermal cycling, contributing to the material's fatigue. Additionally, exposure to elevated temperatures can cause <strong>oxidation and degradation</strong> in metals and polymers, which may induce chemical changes that weaken their structural integrity. As a result, the likelihood of failure increases, emphasizing the need for careful material selection and engineering design in high-temperature applications.</p><h3>Comparison</h3><div class="captioned-image-container"><figure><a class="image-link image2 is-viewable-img" target="_blank" href="https://substackcdn.com/image/fetch/$s_!QKKL!,f_auto,q_auto:good,fl_progressive:steep/https%3A%2F%2Fsubstack-post-media.s3.amazonaws.com%2Fpublic%2Fimages%2F72e22c47-bdba-4ff6-a4a5-2b1f0a60b57a_709x322.png" data-component-name="Image2ToDOM"><div class="image2-inset"><picture><source type="image/webp" srcset="https://substackcdn.com/image/fetch/$s_!QKKL!,w_424,c_limit,f_webp,q_auto:good,fl_progressive:steep/https%3A%2F%2Fsubstack-post-media.s3.amazonaws.com%2Fpublic%2Fimages%2F72e22c47-bdba-4ff6-a4a5-2b1f0a60b57a_709x322.png 424w, https://substackcdn.com/image/fetch/$s_!QKKL!,w_848,c_limit,f_webp,q_auto:good,fl_progressive:steep/https%3A%2F%2Fsubstack-post-media.s3.amazonaws.com%2Fpublic%2Fimages%2F72e22c47-bdba-4ff6-a4a5-2b1f0a60b57a_709x322.png 848w, https://substackcdn.com/image/fetch/$s_!QKKL!,w_1272,c_limit,f_webp,q_auto:good,fl_progressive:steep/https%3A%2F%2Fsubstack-post-media.s3.amazonaws.com%2Fpublic%2Fimages%2F72e22c47-bdba-4ff6-a4a5-2b1f0a60b57a_709x322.png 1272w, https://substackcdn.com/image/fetch/$s_!QKKL!,w_1456,c_limit,f_webp,q_auto:good,fl_progressive:steep/https%3A%2F%2Fsubstack-post-media.s3.amazonaws.com%2Fpublic%2Fimages%2F72e22c47-bdba-4ff6-a4a5-2b1f0a60b57a_709x322.png 1456w" sizes="100vw"><img src="https://substackcdn.com/image/fetch/$s_!QKKL!,w_1456,c_limit,f_auto,q_auto:good,fl_progressive:steep/https%3A%2F%2Fsubstack-post-media.s3.amazonaws.com%2Fpublic%2Fimages%2F72e22c47-bdba-4ff6-a4a5-2b1f0a60b57a_709x322.png" width="709" height="322" data-attrs="{&quot;src&quot;:&quot;https://substack-post-media.s3.amazonaws.com/public/images/72e22c47-bdba-4ff6-a4a5-2b1f0a60b57a_709x322.png&quot;,&quot;srcNoWatermark&quot;:null,&quot;fullscreen&quot;:null,&quot;imageSize&quot;:null,&quot;height&quot;:322,&quot;width&quot;:709,&quot;resizeWidth&quot;:null,&quot;bytes&quot;:52175,&quot;alt&quot;:null,&quot;title&quot;:null,&quot;type&quot;:&quot;image/png&quot;,&quot;href&quot;:null,&quot;belowTheFold&quot;:true,&quot;topImage&quot;:false,&quot;internalRedirect&quot;:null,&quot;isProcessing&quot;:false,&quot;align&quot;:null,&quot;offset&quot;:false}" class="sizing-normal" alt="" srcset="https://substackcdn.com/image/fetch/$s_!QKKL!,w_424,c_limit,f_auto,q_auto:good,fl_progressive:steep/https%3A%2F%2Fsubstack-post-media.s3.amazonaws.com%2Fpublic%2Fimages%2F72e22c47-bdba-4ff6-a4a5-2b1f0a60b57a_709x322.png 424w, https://substackcdn.com/image/fetch/$s_!QKKL!,w_848,c_limit,f_auto,q_auto:good,fl_progressive:steep/https%3A%2F%2Fsubstack-post-media.s3.amazonaws.com%2Fpublic%2Fimages%2F72e22c47-bdba-4ff6-a4a5-2b1f0a60b57a_709x322.png 848w, https://substackcdn.com/image/fetch/$s_!QKKL!,w_1272,c_limit,f_auto,q_auto:good,fl_progressive:steep/https%3A%2F%2Fsubstack-post-media.s3.amazonaws.com%2Fpublic%2Fimages%2F72e22c47-bdba-4ff6-a4a5-2b1f0a60b57a_709x322.png 1272w, https://substackcdn.com/image/fetch/$s_!QKKL!,w_1456,c_limit,f_auto,q_auto:good,fl_progressive:steep/https%3A%2F%2Fsubstack-post-media.s3.amazonaws.com%2Fpublic%2Fimages%2F72e22c47-bdba-4ff6-a4a5-2b1f0a60b57a_709x322.png 1456w" sizes="100vw" loading="lazy"></picture><div class="image-link-expand"><div class="pencraft pc-display-flex pc-gap-8 pc-reset"><button tabindex="0" type="button" class="pencraft pc-reset pencraft icon-container restack-image"><svg role="img" width="20" height="20" viewBox="0 0 20 20" fill="none" stroke-width="1.5" stroke="var(--color-fg-primary)" stroke-linecap="round" stroke-linejoin="round" xmlns="http://www.w3.org/2000/svg"><g><title></title><path d="M2.53001 7.81595C3.49179 4.73911 6.43281 2.5 9.91173 2.5C13.1684 2.5 15.9537 4.46214 17.0852 7.23684L17.6179 8.67647M17.6179 8.67647L18.5002 4.26471M17.6179 8.67647L13.6473 6.91176M17.4995 12.1841C16.5378 15.2609 13.5967 17.5 10.1178 17.5C6.86118 17.5 4.07589 15.5379 2.94432 12.7632L2.41165 11.3235M2.41165 11.3235L1.5293 15.7353M2.41165 11.3235L6.38224 13.0882"></path></g></svg></button><button tabindex="0" type="button" class="pencraft pc-reset pencraft icon-container view-image"><svg xmlns="http://www.w3.org/2000/svg" width="20" height="20" viewBox="0 0 24 24" fill="none" stroke="currentColor" stroke-width="2" stroke-linecap="round" stroke-linejoin="round" class="lucide lucide-maximize2 lucide-maximize-2"><polyline points="15 3 21 3 21 9"></polyline><polyline points="9 21 3 21 3 15"></polyline><line x1="21" x2="14" y1="3" y2="10"></line><line x1="3" x2="10" y1="21" y2="14"></line></svg></button></div></div></div></a></figure></div><h3><strong>Challenges Faced by Industries Due to Thermal Cycling Stress</strong></h3><p>Industries that use self-regulating heating cables often face several challenges when it comes to managing thermal cycling stress:</p><ol><li><p><strong>Material Fatigue and Cracking</strong>: The most common issue is <strong>material fatigue</strong>, where repeated thermal cycling leads to the formation of cracks in the insulation or the conductive core of the cable. These cracks can worsen over time, leading to failure of the heating system.</p></li><li><p><strong>Reduced Cable Flexibility</strong>: In environments where cables experience low temperatures, <strong>brittleness</strong> sets in, reducing the flexibility of the cables and increasing the likelihood of mechanical failure.</p></li><li><p><strong>Chemical Degradation at High Temperatures</strong>: When exposed to high temperatures for extended periods, materials such as the cable&#8217;s outer jacket can degrade, reducing the overall durability of the system.</p></li><li><p><strong>Increased Maintenance Costs</strong>: The frequent need to inspect and replace damaged sections of cables due to thermal cycling increases operational and maintenance costs for industries.</p></li><li><p><strong>Risk of System Downtime</strong>: Unaddressed thermal cycling stress can lead to unexpected failures, causing system downtime, which can result in significant financial losses, especially in critical processes like oil refineries or chemical plants.</p></li><li><p><strong>Decrease in Heat Output:</strong> As thermal cycling stress progresses, one of the primary challenges observed in self-regulating heating cables is a gradual decrease in output efficiency. Repeated expansion and contraction can degrade the cable's conductive pathways over time, leading to reduced heat output. Eventually, if left unaddressed, this decline may reach a point where the cable can no longer function effectively as a heater.</p></li></ol><h3><strong>Mitigation Strategies for Thermal Cycling Stress</strong></h3><p>While thermal cycling stress poses challenges, there are effective strategies industries can adopt to mitigate its effects and extend the life of self-regulating heating cables.</p><h3>Select High-Quality Materials</h3><ul><li><p><strong>Advanced Insulation Materials</strong>: Utilize insulation materials with high thermal stability and resistance to cracking. For instance, <strong>fluoropolymers</strong> like PTFE and FEP offer excellent thermal and chemical resistance, while <strong>silicone rubber</strong> provides flexibility and resilience to thermal cycling.</p><h4><strong>Fluoropolymers Comparison Table:</strong></h4><div class="captioned-image-container"><figure><a class="image-link image2 is-viewable-img" target="_blank" href="https://substackcdn.com/image/fetch/$s_!OgrY!,f_auto,q_auto:good,fl_progressive:steep/https%3A%2F%2Fsubstack-post-media.s3.amazonaws.com%2Fpublic%2Fimages%2F3a2fad4e-678b-46f0-9425-69c071539e9b_614x315.png" data-component-name="Image2ToDOM"><div class="image2-inset"><picture><source type="image/webp" srcset="https://substackcdn.com/image/fetch/$s_!OgrY!,w_424,c_limit,f_webp,q_auto:good,fl_progressive:steep/https%3A%2F%2Fsubstack-post-media.s3.amazonaws.com%2Fpublic%2Fimages%2F3a2fad4e-678b-46f0-9425-69c071539e9b_614x315.png 424w, https://substackcdn.com/image/fetch/$s_!OgrY!,w_848,c_limit,f_webp,q_auto:good,fl_progressive:steep/https%3A%2F%2Fsubstack-post-media.s3.amazonaws.com%2Fpublic%2Fimages%2F3a2fad4e-678b-46f0-9425-69c071539e9b_614x315.png 848w, https://substackcdn.com/image/fetch/$s_!OgrY!,w_1272,c_limit,f_webp,q_auto:good,fl_progressive:steep/https%3A%2F%2Fsubstack-post-media.s3.amazonaws.com%2Fpublic%2Fimages%2F3a2fad4e-678b-46f0-9425-69c071539e9b_614x315.png 1272w, https://substackcdn.com/image/fetch/$s_!OgrY!,w_1456,c_limit,f_webp,q_auto:good,fl_progressive:steep/https%3A%2F%2Fsubstack-post-media.s3.amazonaws.com%2Fpublic%2Fimages%2F3a2fad4e-678b-46f0-9425-69c071539e9b_614x315.png 1456w" sizes="100vw"><img src="https://substackcdn.com/image/fetch/$s_!OgrY!,w_1456,c_limit,f_auto,q_auto:good,fl_progressive:steep/https%3A%2F%2Fsubstack-post-media.s3.amazonaws.com%2Fpublic%2Fimages%2F3a2fad4e-678b-46f0-9425-69c071539e9b_614x315.png" width="658" height="337.5732899022801" data-attrs="{&quot;src&quot;:&quot;https://substack-post-media.s3.amazonaws.com/public/images/3a2fad4e-678b-46f0-9425-69c071539e9b_614x315.png&quot;,&quot;srcNoWatermark&quot;:null,&quot;fullscreen&quot;:null,&quot;imageSize&quot;:null,&quot;height&quot;:315,&quot;width&quot;:614,&quot;resizeWidth&quot;:658,&quot;bytes&quot;:42387,&quot;alt&quot;:null,&quot;title&quot;:null,&quot;type&quot;:&quot;image/png&quot;,&quot;href&quot;:null,&quot;belowTheFold&quot;:true,&quot;topImage&quot;:false,&quot;internalRedirect&quot;:&quot;https://www.precisionnewsletter.com/i/154998531?img=https%3A%2F%2Fsubstack-post-media.s3.amazonaws.com%2Fpublic%2Fimages%2F3a2fad4e-678b-46f0-9425-69c071539e9b_614x315.png&quot;,&quot;isProcessing&quot;:false,&quot;align&quot;:null,&quot;offset&quot;:false}" class="sizing-normal" alt="" srcset="https://substackcdn.com/image/fetch/$s_!OgrY!,w_424,c_limit,f_auto,q_auto:good,fl_progressive:steep/https%3A%2F%2Fsubstack-post-media.s3.amazonaws.com%2Fpublic%2Fimages%2F3a2fad4e-678b-46f0-9425-69c071539e9b_614x315.png 424w, https://substackcdn.com/image/fetch/$s_!OgrY!,w_848,c_limit,f_auto,q_auto:good,fl_progressive:steep/https%3A%2F%2Fsubstack-post-media.s3.amazonaws.com%2Fpublic%2Fimages%2F3a2fad4e-678b-46f0-9425-69c071539e9b_614x315.png 848w, https://substackcdn.com/image/fetch/$s_!OgrY!,w_1272,c_limit,f_auto,q_auto:good,fl_progressive:steep/https%3A%2F%2Fsubstack-post-media.s3.amazonaws.com%2Fpublic%2Fimages%2F3a2fad4e-678b-46f0-9425-69c071539e9b_614x315.png 1272w, https://substackcdn.com/image/fetch/$s_!OgrY!,w_1456,c_limit,f_auto,q_auto:good,fl_progressive:steep/https%3A%2F%2Fsubstack-post-media.s3.amazonaws.com%2Fpublic%2Fimages%2F3a2fad4e-678b-46f0-9425-69c071539e9b_614x315.png 1456w" sizes="100vw" loading="lazy"></picture><div class="image-link-expand"><div class="pencraft pc-display-flex pc-gap-8 pc-reset"><button tabindex="0" type="button" class="pencraft pc-reset pencraft icon-container restack-image"><svg role="img" width="20" height="20" viewBox="0 0 20 20" fill="none" stroke-width="1.5" stroke="var(--color-fg-primary)" stroke-linecap="round" stroke-linejoin="round" xmlns="http://www.w3.org/2000/svg"><g><title></title><path d="M2.53001 7.81595C3.49179 4.73911 6.43281 2.5 9.91173 2.5C13.1684 2.5 15.9537 4.46214 17.0852 7.23684L17.6179 8.67647M17.6179 8.67647L18.5002 4.26471M17.6179 8.67647L13.6473 6.91176M17.4995 12.1841C16.5378 15.2609 13.5967 17.5 10.1178 17.5C6.86118 17.5 4.07589 15.5379 2.94432 12.7632L2.41165 11.3235M2.41165 11.3235L1.5293 15.7353M2.41165 11.3235L6.38224 13.0882"></path></g></svg></button><button tabindex="0" type="button" class="pencraft pc-reset pencraft icon-container view-image"><svg xmlns="http://www.w3.org/2000/svg" width="20" height="20" viewBox="0 0 24 24" fill="none" stroke="currentColor" stroke-width="2" stroke-linecap="round" stroke-linejoin="round" class="lucide lucide-maximize2 lucide-maximize-2"><polyline points="15 3 21 3 21 9"></polyline><polyline points="9 21 3 21 3 15"></polyline><line x1="21" x2="14" y1="3" y2="10"></line><line x1="3" x2="10" y1="21" y2="14"></line></svg></button></div></div></div></a></figure></div><div class="captioned-image-container"><figure><a class="image-link image2 is-viewable-img" target="_blank" href="https://substackcdn.com/image/fetch/$s_!N5jN!,f_auto,q_auto:good,fl_progressive:steep/https%3A%2F%2Fsubstack-post-media.s3.amazonaws.com%2Fpublic%2Fimages%2Ff33417ab-0c28-421b-95b5-3bb31c838244_658x434.png" data-component-name="Image2ToDOM"><div class="image2-inset"><picture><source type="image/webp" srcset="https://substackcdn.com/image/fetch/$s_!N5jN!,w_424,c_limit,f_webp,q_auto:good,fl_progressive:steep/https%3A%2F%2Fsubstack-post-media.s3.amazonaws.com%2Fpublic%2Fimages%2Ff33417ab-0c28-421b-95b5-3bb31c838244_658x434.png 424w, https://substackcdn.com/image/fetch/$s_!N5jN!,w_848,c_limit,f_webp,q_auto:good,fl_progressive:steep/https%3A%2F%2Fsubstack-post-media.s3.amazonaws.com%2Fpublic%2Fimages%2Ff33417ab-0c28-421b-95b5-3bb31c838244_658x434.png 848w, https://substackcdn.com/image/fetch/$s_!N5jN!,w_1272,c_limit,f_webp,q_auto:good,fl_progressive:steep/https%3A%2F%2Fsubstack-post-media.s3.amazonaws.com%2Fpublic%2Fimages%2Ff33417ab-0c28-421b-95b5-3bb31c838244_658x434.png 1272w, https://substackcdn.com/image/fetch/$s_!N5jN!,w_1456,c_limit,f_webp,q_auto:good,fl_progressive:steep/https%3A%2F%2Fsubstack-post-media.s3.amazonaws.com%2Fpublic%2Fimages%2Ff33417ab-0c28-421b-95b5-3bb31c838244_658x434.png 1456w" sizes="100vw"><img src="https://substackcdn.com/image/fetch/$s_!N5jN!,w_1456,c_limit,f_auto,q_auto:good,fl_progressive:steep/https%3A%2F%2Fsubstack-post-media.s3.amazonaws.com%2Fpublic%2Fimages%2Ff33417ab-0c28-421b-95b5-3bb31c838244_658x434.png" width="658" height="434" data-attrs="{&quot;src&quot;:&quot;https://substack-post-media.s3.amazonaws.com/public/images/f33417ab-0c28-421b-95b5-3bb31c838244_658x434.png&quot;,&quot;srcNoWatermark&quot;:null,&quot;fullscreen&quot;:null,&quot;imageSize&quot;:null,&quot;height&quot;:434,&quot;width&quot;:658,&quot;resizeWidth&quot;:null,&quot;bytes&quot;:66764,&quot;alt&quot;:null,&quot;title&quot;:null,&quot;type&quot;:&quot;image/png&quot;,&quot;href&quot;:null,&quot;belowTheFold&quot;:true,&quot;topImage&quot;:false,&quot;internalRedirect&quot;:&quot;https://www.precisionnewsletter.com/i/154998531?img=https%3A%2F%2Fsubstack-post-media.s3.amazonaws.com%2Fpublic%2Fimages%2Ff33417ab-0c28-421b-95b5-3bb31c838244_658x434.png&quot;,&quot;isProcessing&quot;:false,&quot;align&quot;:null,&quot;offset&quot;:false}" class="sizing-normal" alt="" srcset="https://substackcdn.com/image/fetch/$s_!N5jN!,w_424,c_limit,f_auto,q_auto:good,fl_progressive:steep/https%3A%2F%2Fsubstack-post-media.s3.amazonaws.com%2Fpublic%2Fimages%2Ff33417ab-0c28-421b-95b5-3bb31c838244_658x434.png 424w, https://substackcdn.com/image/fetch/$s_!N5jN!,w_848,c_limit,f_auto,q_auto:good,fl_progressive:steep/https%3A%2F%2Fsubstack-post-media.s3.amazonaws.com%2Fpublic%2Fimages%2Ff33417ab-0c28-421b-95b5-3bb31c838244_658x434.png 848w, https://substackcdn.com/image/fetch/$s_!N5jN!,w_1272,c_limit,f_auto,q_auto:good,fl_progressive:steep/https%3A%2F%2Fsubstack-post-media.s3.amazonaws.com%2Fpublic%2Fimages%2Ff33417ab-0c28-421b-95b5-3bb31c838244_658x434.png 1272w, https://substackcdn.com/image/fetch/$s_!N5jN!,w_1456,c_limit,f_auto,q_auto:good,fl_progressive:steep/https%3A%2F%2Fsubstack-post-media.s3.amazonaws.com%2Fpublic%2Fimages%2Ff33417ab-0c28-421b-95b5-3bb31c838244_658x434.png 1456w" sizes="100vw" loading="lazy"></picture><div class="image-link-expand"><div class="pencraft pc-display-flex pc-gap-8 pc-reset"><button tabindex="0" type="button" class="pencraft pc-reset pencraft icon-container restack-image"><svg role="img" width="20" height="20" viewBox="0 0 20 20" fill="none" stroke-width="1.5" stroke="var(--color-fg-primary)" stroke-linecap="round" stroke-linejoin="round" xmlns="http://www.w3.org/2000/svg"><g><title></title><path d="M2.53001 7.81595C3.49179 4.73911 6.43281 2.5 9.91173 2.5C13.1684 2.5 15.9537 4.46214 17.0852 7.23684L17.6179 8.67647M17.6179 8.67647L18.5002 4.26471M17.6179 8.67647L13.6473 6.91176M17.4995 12.1841C16.5378 15.2609 13.5967 17.5 10.1178 17.5C6.86118 17.5 4.07589 15.5379 2.94432 12.7632L2.41165 11.3235M2.41165 11.3235L1.5293 15.7353M2.41165 11.3235L6.38224 13.0882"></path></g></svg></button><button tabindex="0" type="button" class="pencraft pc-reset pencraft icon-container view-image"><svg xmlns="http://www.w3.org/2000/svg" width="20" height="20" viewBox="0 0 24 24" fill="none" stroke="currentColor" stroke-width="2" stroke-linecap="round" stroke-linejoin="round" class="lucide lucide-maximize2 lucide-maximize-2"><polyline points="15 3 21 3 21 9"></polyline><polyline points="9 21 3 21 3 15"></polyline><line x1="21" x2="14" y1="3" y2="10"></line><line x1="3" x2="10" y1="21" y2="14"></line></svg></button></div></div></div></a></figure></div></li><li><p><strong>PTFE versus PFA</strong></p><ul><li><p>PTFE has a slightly higher heat resistance, the melting points of PFA and PTFE are <strong>260&#176;C and 327&#176;C</strong> respectively.</p></li><li><p>Water absorption (permeability) and weathering affect PFA more than PTFE, although PFA is superior in resistance to salts.</p></li><li><p>Like PTFE, PFA has excellent resistance to cracking and stress and a low coefficient of friction.</p></li><li><p>The electrical insulating capacity (dielectric strength) of PTFE is excellent, but PFA is still 3-4 times higher. For gas and liquid systems this will not be decisive very often.</p></li><li><p>The main difference is that PFA can be molten and PTFE cannot. PFA can be formed by conventional injection moulding or screw extrusion. PTFE on the other hand can only be machined by turning and milling. That gives other possibilities for the shapes to be made. You could call PFA the injection mould version of PTFE</p></li></ul><p><strong>PFA is often preferred when high reliability is required in environments with high chemical, thermal and mechanical stresses.</strong> <strong>In summary,</strong> <strong>PFA</strong> combines high thermal stability, chemical resistance, and flexibility, which are essential for reducing thermal cycling stress and maximizing the lifespan of self-regulating cables.</p><p><strong>Silicon Rubber:</strong> Silicone rubber has good heat resistance in high-temperature environments and can maintain its elasticity and mechanical properties within the range of <strong>&#8722; 50 to 250 &#176;C.</strong></p><ul><li><p><strong>Conductive Core Materials</strong>: Opt for cores made from high-quality conductive polymers that maintain performance over a wide temperature range. Various conductive polymers and their properties are shown below:</p><div class="captioned-image-container"><figure><a class="image-link image2 is-viewable-img" target="_blank" href="https://substackcdn.com/image/fetch/$s_!jNFc!,f_auto,q_auto:good,fl_progressive:steep/https%3A%2F%2Fsubstack-post-media.s3.amazonaws.com%2Fpublic%2Fimages%2F731e90c2-17ce-491a-9bd5-fd1da3b4762d_671x453.png" data-component-name="Image2ToDOM"><div class="image2-inset"><picture><source type="image/webp" srcset="https://substackcdn.com/image/fetch/$s_!jNFc!,w_424,c_limit,f_webp,q_auto:good,fl_progressive:steep/https%3A%2F%2Fsubstack-post-media.s3.amazonaws.com%2Fpublic%2Fimages%2F731e90c2-17ce-491a-9bd5-fd1da3b4762d_671x453.png 424w, https://substackcdn.com/image/fetch/$s_!jNFc!,w_848,c_limit,f_webp,q_auto:good,fl_progressive:steep/https%3A%2F%2Fsubstack-post-media.s3.amazonaws.com%2Fpublic%2Fimages%2F731e90c2-17ce-491a-9bd5-fd1da3b4762d_671x453.png 848w, https://substackcdn.com/image/fetch/$s_!jNFc!,w_1272,c_limit,f_webp,q_auto:good,fl_progressive:steep/https%3A%2F%2Fsubstack-post-media.s3.amazonaws.com%2Fpublic%2Fimages%2F731e90c2-17ce-491a-9bd5-fd1da3b4762d_671x453.png 1272w, https://substackcdn.com/image/fetch/$s_!jNFc!,w_1456,c_limit,f_webp,q_auto:good,fl_progressive:steep/https%3A%2F%2Fsubstack-post-media.s3.amazonaws.com%2Fpublic%2Fimages%2F731e90c2-17ce-491a-9bd5-fd1da3b4762d_671x453.png 1456w" sizes="100vw"><img src="https://substackcdn.com/image/fetch/$s_!jNFc!,w_1456,c_limit,f_auto,q_auto:good,fl_progressive:steep/https%3A%2F%2Fsubstack-post-media.s3.amazonaws.com%2Fpublic%2Fimages%2F731e90c2-17ce-491a-9bd5-fd1da3b4762d_671x453.png" width="671" height="453" data-attrs="{&quot;src&quot;:&quot;https://substack-post-media.s3.amazonaws.com/public/images/731e90c2-17ce-491a-9bd5-fd1da3b4762d_671x453.png&quot;,&quot;srcNoWatermark&quot;:null,&quot;fullscreen&quot;:null,&quot;imageSize&quot;:null,&quot;height&quot;:453,&quot;width&quot;:671,&quot;resizeWidth&quot;:null,&quot;bytes&quot;:86553,&quot;alt&quot;:null,&quot;title&quot;:null,&quot;type&quot;:&quot;image/png&quot;,&quot;href&quot;:null,&quot;belowTheFold&quot;:true,&quot;topImage&quot;:false,&quot;internalRedirect&quot;:null,&quot;isProcessing&quot;:false,&quot;align&quot;:null,&quot;offset&quot;:false}" class="sizing-normal" alt="" srcset="https://substackcdn.com/image/fetch/$s_!jNFc!,w_424,c_limit,f_auto,q_auto:good,fl_progressive:steep/https%3A%2F%2Fsubstack-post-media.s3.amazonaws.com%2Fpublic%2Fimages%2F731e90c2-17ce-491a-9bd5-fd1da3b4762d_671x453.png 424w, https://substackcdn.com/image/fetch/$s_!jNFc!,w_848,c_limit,f_auto,q_auto:good,fl_progressive:steep/https%3A%2F%2Fsubstack-post-media.s3.amazonaws.com%2Fpublic%2Fimages%2F731e90c2-17ce-491a-9bd5-fd1da3b4762d_671x453.png 848w, https://substackcdn.com/image/fetch/$s_!jNFc!,w_1272,c_limit,f_auto,q_auto:good,fl_progressive:steep/https%3A%2F%2Fsubstack-post-media.s3.amazonaws.com%2Fpublic%2Fimages%2F731e90c2-17ce-491a-9bd5-fd1da3b4762d_671x453.png 1272w, https://substackcdn.com/image/fetch/$s_!jNFc!,w_1456,c_limit,f_auto,q_auto:good,fl_progressive:steep/https%3A%2F%2Fsubstack-post-media.s3.amazonaws.com%2Fpublic%2Fimages%2F731e90c2-17ce-491a-9bd5-fd1da3b4762d_671x453.png 1456w" sizes="100vw" loading="lazy"></picture><div class="image-link-expand"><div class="pencraft pc-display-flex pc-gap-8 pc-reset"><button tabindex="0" type="button" class="pencraft pc-reset pencraft icon-container restack-image"><svg role="img" width="20" height="20" viewBox="0 0 20 20" fill="none" stroke-width="1.5" stroke="var(--color-fg-primary)" stroke-linecap="round" stroke-linejoin="round" xmlns="http://www.w3.org/2000/svg"><g><title></title><path d="M2.53001 7.81595C3.49179 4.73911 6.43281 2.5 9.91173 2.5C13.1684 2.5 15.9537 4.46214 17.0852 7.23684L17.6179 8.67647M17.6179 8.67647L18.5002 4.26471M17.6179 8.67647L13.6473 6.91176M17.4995 12.1841C16.5378 15.2609 13.5967 17.5 10.1178 17.5C6.86118 17.5 4.07589 15.5379 2.94432 12.7632L2.41165 11.3235M2.41165 11.3235L1.5293 15.7353M2.41165 11.3235L6.38224 13.0882"></path></g></svg></button><button tabindex="0" type="button" class="pencraft pc-reset pencraft icon-container view-image"><svg xmlns="http://www.w3.org/2000/svg" width="20" height="20" viewBox="0 0 24 24" fill="none" stroke="currentColor" stroke-width="2" stroke-linecap="round" stroke-linejoin="round" class="lucide lucide-maximize2 lucide-maximize-2"><polyline points="15 3 21 3 21 9"></polyline><polyline points="9 21 3 21 3 15"></polyline><line x1="21" x2="14" y1="3" y2="10"></line><line x1="3" x2="10" y1="21" y2="14"></line></svg></button></div></div></div></a></figure></div><h3><strong>Employ Heat Tracing Controllers</strong>:</h3><p>Controllers, such as <strong>Proportional Ambient Sensing Controllers (PASC)</strong>, optimize power use based on ambient conditions, reducing unnecessary heating and extending cable life. They adjust heat output dynamically and help avoid overheating, which can otherwise accelerate material fatigue in SR cables. PASC uses an electronic controller to sense ambient temperature and continuously adjust the controller&#8217;s duty cycle to provide the heat tracing power needed for a piped system.</p><h3><strong>Employ Heat Tracing Controllers</strong>:</h3><p>Controllers, such as <strong>Proportional Ambient Sensing Controllers (PASC)</strong>, optimize power use based on ambient conditions, reducing unnecessary heating and extending cable life. They adjust heat output dynamically and help avoid overheating, which can otherwise accelerate material fatigue in SR cables. PASC uses an electronic controller to sense ambient temperature and continuously adjust the controller&#8217;s duty cycle to provide the heat tracing power needed for a piped system.</p></li></ul></li></ul><div class="captioned-image-container"><figure><a class="image-link image2 is-viewable-img" target="_blank" href="https://substackcdn.com/image/fetch/$s_!2xhI!,f_auto,q_auto:good,fl_progressive:steep/https%3A%2F%2Fsubstack-post-media.s3.amazonaws.com%2Fpublic%2Fimages%2F9aa56fdf-6263-42b7-9890-4b26b598e12a_765x514.png" data-component-name="Image2ToDOM"><div class="image2-inset"><picture><source type="image/webp" srcset="https://substackcdn.com/image/fetch/$s_!2xhI!,w_424,c_limit,f_webp,q_auto:good,fl_progressive:steep/https%3A%2F%2Fsubstack-post-media.s3.amazonaws.com%2Fpublic%2Fimages%2F9aa56fdf-6263-42b7-9890-4b26b598e12a_765x514.png 424w, https://substackcdn.com/image/fetch/$s_!2xhI!,w_848,c_limit,f_webp,q_auto:good,fl_progressive:steep/https%3A%2F%2Fsubstack-post-media.s3.amazonaws.com%2Fpublic%2Fimages%2F9aa56fdf-6263-42b7-9890-4b26b598e12a_765x514.png 848w, https://substackcdn.com/image/fetch/$s_!2xhI!,w_1272,c_limit,f_webp,q_auto:good,fl_progressive:steep/https%3A%2F%2Fsubstack-post-media.s3.amazonaws.com%2Fpublic%2Fimages%2F9aa56fdf-6263-42b7-9890-4b26b598e12a_765x514.png 1272w, https://substackcdn.com/image/fetch/$s_!2xhI!,w_1456,c_limit,f_webp,q_auto:good,fl_progressive:steep/https%3A%2F%2Fsubstack-post-media.s3.amazonaws.com%2Fpublic%2Fimages%2F9aa56fdf-6263-42b7-9890-4b26b598e12a_765x514.png 1456w" sizes="100vw"><img src="https://substackcdn.com/image/fetch/$s_!2xhI!,w_1456,c_limit,f_auto,q_auto:good,fl_progressive:steep/https%3A%2F%2Fsubstack-post-media.s3.amazonaws.com%2Fpublic%2Fimages%2F9aa56fdf-6263-42b7-9890-4b26b598e12a_765x514.png" width="510" height="342.6666666666667" data-attrs="{&quot;src&quot;:&quot;https://substack-post-media.s3.amazonaws.com/public/images/9aa56fdf-6263-42b7-9890-4b26b598e12a_765x514.png&quot;,&quot;srcNoWatermark&quot;:null,&quot;fullscreen&quot;:null,&quot;imageSize&quot;:null,&quot;height&quot;:514,&quot;width&quot;:765,&quot;resizeWidth&quot;:510,&quot;bytes&quot;:389314,&quot;alt&quot;:null,&quot;title&quot;:null,&quot;type&quot;:&quot;image/png&quot;,&quot;href&quot;:null,&quot;belowTheFold&quot;:true,&quot;topImage&quot;:false,&quot;internalRedirect&quot;:null,&quot;isProcessing&quot;:false,&quot;align&quot;:null,&quot;offset&quot;:false}" class="sizing-normal" alt="" srcset="https://substackcdn.com/image/fetch/$s_!2xhI!,w_424,c_limit,f_auto,q_auto:good,fl_progressive:steep/https%3A%2F%2Fsubstack-post-media.s3.amazonaws.com%2Fpublic%2Fimages%2F9aa56fdf-6263-42b7-9890-4b26b598e12a_765x514.png 424w, https://substackcdn.com/image/fetch/$s_!2xhI!,w_848,c_limit,f_auto,q_auto:good,fl_progressive:steep/https%3A%2F%2Fsubstack-post-media.s3.amazonaws.com%2Fpublic%2Fimages%2F9aa56fdf-6263-42b7-9890-4b26b598e12a_765x514.png 848w, https://substackcdn.com/image/fetch/$s_!2xhI!,w_1272,c_limit,f_auto,q_auto:good,fl_progressive:steep/https%3A%2F%2Fsubstack-post-media.s3.amazonaws.com%2Fpublic%2Fimages%2F9aa56fdf-6263-42b7-9890-4b26b598e12a_765x514.png 1272w, https://substackcdn.com/image/fetch/$s_!2xhI!,w_1456,c_limit,f_auto,q_auto:good,fl_progressive:steep/https%3A%2F%2Fsubstack-post-media.s3.amazonaws.com%2Fpublic%2Fimages%2F9aa56fdf-6263-42b7-9890-4b26b598e12a_765x514.png 1456w" sizes="100vw" loading="lazy"></picture><div class="image-link-expand"><div class="pencraft pc-display-flex pc-gap-8 pc-reset"><button tabindex="0" type="button" class="pencraft pc-reset pencraft icon-container restack-image"><svg role="img" width="20" height="20" viewBox="0 0 20 20" fill="none" stroke-width="1.5" stroke="var(--color-fg-primary)" stroke-linecap="round" stroke-linejoin="round" xmlns="http://www.w3.org/2000/svg"><g><title></title><path d="M2.53001 7.81595C3.49179 4.73911 6.43281 2.5 9.91173 2.5C13.1684 2.5 15.9537 4.46214 17.0852 7.23684L17.6179 8.67647M17.6179 8.67647L18.5002 4.26471M17.6179 8.67647L13.6473 6.91176M17.4995 12.1841C16.5378 15.2609 13.5967 17.5 10.1178 17.5C6.86118 17.5 4.07589 15.5379 2.94432 12.7632L2.41165 11.3235M2.41165 11.3235L1.5293 15.7353M2.41165 11.3235L6.38224 13.0882"></path></g></svg></button><button tabindex="0" type="button" class="pencraft pc-reset pencraft icon-container view-image"><svg xmlns="http://www.w3.org/2000/svg" width="20" height="20" viewBox="0 0 24 24" fill="none" stroke="currentColor" stroke-width="2" stroke-linecap="round" stroke-linejoin="round" class="lucide lucide-maximize2 lucide-maximize-2"><polyline points="15 3 21 3 21 9"></polyline><polyline points="9 21 3 21 3 15"></polyline><line x1="21" x2="14" y1="3" y2="10"></line><line x1="3" x2="10" y1="21" y2="14"></line></svg></button></div></div></div></a><figcaption class="image-caption">This controller has multiple integrated sensing modes (line and/or PASC ambient sensing) and remote alarm capability.</figcaption></figure></div><ul><li><p>Flexible temperature control of pipe freeze protection and grease line maintenance systems.</p></li><li><p>Line sensing and/or ambient sensing.</p></li><li><p>Proportional Ambient Sensing Control (PASC) algorithm for enhanced energy savings in ambient sensing mode.</p></li><li><p>Alarm relay with change over contact to signal power, temperature or communication problems.</p></li></ul><h3><strong>Design Adaptations for Thermal Cycling</strong>:</h3><ul><li><p><strong>Avoid Air Pockets</strong>: Ensure the cable is installed without air gaps to prevent overheating and ensure efficient heat transfer. Air pockets can lead to hot spots and potential cable damage.</p><p><strong><a href="https://www.heatcable.com/post/8-test-points-for-choosing-the-best-self-regulating-heat-cable-for-your-home">Heat Cable</a></strong></p></li><li><p><strong>Allow for Thermal Expansion</strong>: Incorporate loops or bends in the cable layout to accommodate thermal expansion and contraction, reducing mechanical stress on the cable.</p></li><li><p><strong>Use Appropriate Accessories</strong>: Employ compatible power connection kits, end termination kits, and splice kits to maintain the integrity of the cable system and protect against moisture ingress.</p></li><li><p><strong>Controlled Expansion</strong>: Incorporating <strong>expansion joints</strong> into the design of piping and heating systems allows for controlled movement of materials as they expand and contract. These joints help absorb the mechanical stress caused by thermal cycling, preventing the stress from being transferred to the heating cables themselves. <a href="https://www.flexicraft.com/">link</a></p></li></ul><h3><strong>Regular Maintenance and Inspection</strong>:</h3><p>Proactive <strong>scheduled maintenance</strong> is essential for detecting early signs of thermal fatigue. Regular inspections allow for the identification of cracks, brittleness, or any other signs of wear before they become significant issues. Replacing damaged sections of cables or applying protective coatings can prevent system-wide failures.</p><h3><strong>Conclusion</strong></h3><p>Thermal cycling stress is an unavoidable challenge in many industrial applications, but with proper understanding and mitigation strategies, its effects can be managed. By carefully selecting materials, implementing insulation and expansion solutions, and maintaining proactive monitoring and maintenance schedules, industries can significantly extend the lifespan of their self-regulating heating cables. Addressing the challenges posed by thermal cycling stress not only improves the reliability of heating systems but also reduces maintenance costs and minimizes the risk of system downtime, ultimately enhancing overall operational efficiency.</p><p></p><div class="subscription-widget-wrap-editor" data-attrs="{&quot;url&quot;:&quot;https://www.precisionnewsletter.com/subscribe?&quot;,&quot;text&quot;:&quot;Subscribe&quot;,&quot;language&quot;:&quot;en&quot;}" data-component-name="SubscribeWidgetToDOM"><div class="subscription-widget show-subscribe"><div class="preamble"><p class="cta-caption">Thanks for reading Precision Newsletter! Subscribe for free to receive new posts and support my work.</p></div><form class="subscription-widget-subscribe"><input type="email" class="email-input" name="email" placeholder="Type your email&#8230;" tabindex="-1"><input type="submit" class="button primary" value="Subscribe"><div class="fake-input-wrapper"><div class="fake-input"></div><div class="fake-button"></div></div></form></div></div>]]></content:encoded></item><item><title><![CDATA[The Science of Self-Regulation: How Molecular Structure Change Controls Heat Output]]></title><description><![CDATA[This article explores the molecular science behind self-regulating heating cables, revealing how they adapt their heat output based on temperature...]]></description><link>https://www.precisionnewsletter.com/p/the-science-of-self-regulation-how</link><guid isPermaLink="false">https://www.precisionnewsletter.com/p/the-science-of-self-regulation-how</guid><dc:creator><![CDATA[Jinwook Jung]]></dc:creator><pubDate>Thu, 16 Jan 2025 18:16:50 GMT</pubDate><enclosure url="https://substack-post-media.s3.amazonaws.com/public/images/f49e020d-f5cb-4b90-ba03-e434a17fdfc9_3840x2160.jpeg" length="0" type="image/jpeg"/><content:encoded><![CDATA[<h2><strong>Abstract</strong></h2><p>This article explores the molecular science behind self-regulating heating cables, revealing how they adapt their heat output based on temperature. Through thermal expansion, contraction, and conductive pathways within a polymer-carbon matrix, these cables automatically adjust conductivity to regulate heat, maximizing energy efficiency. The dynamic molecular changes, explained by percolation theory and Joule heating, allow the cables to increase heat in cold conditions and reduce it when warmer. This innovative self-regulation minimizes energy waste and offers robust temperature control in industrial applications.</p><h2><strong>Purpose</strong></h2><p>The purpose of this article is to provide an in-depth explanation of how <em>self-regulating heating cables</em> function at the molecular level. It aims to educate readers on the science behind the adaptive heat output mechanism, highlighting how these cables automatically adjust their resistance based on temperature changes.</p><div class="subscription-widget-wrap-editor" data-attrs="{&quot;url&quot;:&quot;https://www.precisionnewsletter.com/subscribe?&quot;,&quot;text&quot;:&quot;Subscribe&quot;,&quot;language&quot;:&quot;en&quot;}" data-component-name="SubscribeWidgetToDOM"><div class="subscription-widget show-subscribe"><div class="preamble"><p class="cta-caption">Thanks for reading Precision Newsletter! Subscribe for free to receive new posts and support my work.</p></div><form class="subscription-widget-subscribe"><input type="email" class="email-input" name="email" placeholder="Type your email&#8230;" tabindex="-1"><input type="submit" class="button primary" value="Subscribe"><div class="fake-input-wrapper"><div class="fake-input"></div><div class="fake-button"></div></div></form></div></div><div class="captioned-image-container"><figure><a class="image-link image2 is-viewable-img" target="_blank" href="https://substackcdn.com/image/fetch/$s_!onkv!,f_auto,q_auto:good,fl_progressive:steep/https%3A%2F%2Fsubstack-post-media.s3.amazonaws.com%2Fpublic%2Fimages%2Fbf6e2609-023b-481e-852a-1dafb7462703_885x674.png" data-component-name="Image2ToDOM"><div class="image2-inset"><picture><source type="image/webp" srcset="https://substackcdn.com/image/fetch/$s_!onkv!,w_424,c_limit,f_webp,q_auto:good,fl_progressive:steep/https%3A%2F%2Fsubstack-post-media.s3.amazonaws.com%2Fpublic%2Fimages%2Fbf6e2609-023b-481e-852a-1dafb7462703_885x674.png 424w, https://substackcdn.com/image/fetch/$s_!onkv!,w_848,c_limit,f_webp,q_auto:good,fl_progressive:steep/https%3A%2F%2Fsubstack-post-media.s3.amazonaws.com%2Fpublic%2Fimages%2Fbf6e2609-023b-481e-852a-1dafb7462703_885x674.png 848w, https://substackcdn.com/image/fetch/$s_!onkv!,w_1272,c_limit,f_webp,q_auto:good,fl_progressive:steep/https%3A%2F%2Fsubstack-post-media.s3.amazonaws.com%2Fpublic%2Fimages%2Fbf6e2609-023b-481e-852a-1dafb7462703_885x674.png 1272w, https://substackcdn.com/image/fetch/$s_!onkv!,w_1456,c_limit,f_webp,q_auto:good,fl_progressive:steep/https%3A%2F%2Fsubstack-post-media.s3.amazonaws.com%2Fpublic%2Fimages%2Fbf6e2609-023b-481e-852a-1dafb7462703_885x674.png 1456w" sizes="100vw"><img src="https://substackcdn.com/image/fetch/$s_!onkv!,w_1456,c_limit,f_auto,q_auto:good,fl_progressive:steep/https%3A%2F%2Fsubstack-post-media.s3.amazonaws.com%2Fpublic%2Fimages%2Fbf6e2609-023b-481e-852a-1dafb7462703_885x674.png" width="885" height="674" data-attrs="{&quot;src&quot;:&quot;https://substack-post-media.s3.amazonaws.com/public/images/bf6e2609-023b-481e-852a-1dafb7462703_885x674.png&quot;,&quot;srcNoWatermark&quot;:null,&quot;fullscreen&quot;:null,&quot;imageSize&quot;:null,&quot;height&quot;:674,&quot;width&quot;:885,&quot;resizeWidth&quot;:null,&quot;bytes&quot;:631592,&quot;alt&quot;:null,&quot;title&quot;:null,&quot;type&quot;:&quot;image/png&quot;,&quot;href&quot;:null,&quot;belowTheFold&quot;:false,&quot;topImage&quot;:true,&quot;internalRedirect&quot;:null,&quot;isProcessing&quot;:false,&quot;align&quot;:null,&quot;offset&quot;:false}" class="sizing-normal" alt="" srcset="https://substackcdn.com/image/fetch/$s_!onkv!,w_424,c_limit,f_auto,q_auto:good,fl_progressive:steep/https%3A%2F%2Fsubstack-post-media.s3.amazonaws.com%2Fpublic%2Fimages%2Fbf6e2609-023b-481e-852a-1dafb7462703_885x674.png 424w, https://substackcdn.com/image/fetch/$s_!onkv!,w_848,c_limit,f_auto,q_auto:good,fl_progressive:steep/https%3A%2F%2Fsubstack-post-media.s3.amazonaws.com%2Fpublic%2Fimages%2Fbf6e2609-023b-481e-852a-1dafb7462703_885x674.png 848w, https://substackcdn.com/image/fetch/$s_!onkv!,w_1272,c_limit,f_auto,q_auto:good,fl_progressive:steep/https%3A%2F%2Fsubstack-post-media.s3.amazonaws.com%2Fpublic%2Fimages%2Fbf6e2609-023b-481e-852a-1dafb7462703_885x674.png 1272w, https://substackcdn.com/image/fetch/$s_!onkv!,w_1456,c_limit,f_auto,q_auto:good,fl_progressive:steep/https%3A%2F%2Fsubstack-post-media.s3.amazonaws.com%2Fpublic%2Fimages%2Fbf6e2609-023b-481e-852a-1dafb7462703_885x674.png 1456w" sizes="100vw" fetchpriority="high"></picture><div class="image-link-expand"><div class="pencraft pc-display-flex pc-gap-8 pc-reset"><button tabindex="0" type="button" class="pencraft pc-reset pencraft icon-container restack-image"><svg role="img" width="20" height="20" viewBox="0 0 20 20" fill="none" stroke-width="1.5" stroke="var(--color-fg-primary)" stroke-linecap="round" stroke-linejoin="round" xmlns="http://www.w3.org/2000/svg"><g><title></title><path d="M2.53001 7.81595C3.49179 4.73911 6.43281 2.5 9.91173 2.5C13.1684 2.5 15.9537 4.46214 17.0852 7.23684L17.6179 8.67647M17.6179 8.67647L18.5002 4.26471M17.6179 8.67647L13.6473 6.91176M17.4995 12.1841C16.5378 15.2609 13.5967 17.5 10.1178 17.5C6.86118 17.5 4.07589 15.5379 2.94432 12.7632L2.41165 11.3235M2.41165 11.3235L1.5293 15.7353M2.41165 11.3235L6.38224 13.0882"></path></g></svg></button><button tabindex="0" type="button" class="pencraft pc-reset pencraft icon-container view-image"><svg xmlns="http://www.w3.org/2000/svg" width="20" height="20" viewBox="0 0 24 24" fill="none" stroke="currentColor" stroke-width="2" stroke-linecap="round" stroke-linejoin="round" class="lucide lucide-maximize2 lucide-maximize-2"><polyline points="15 3 21 3 21 9"></polyline><polyline points="9 21 3 21 3 15"></polyline><line x1="21" x2="14" y1="3" y2="10"></line><line x1="3" x2="10" y1="21" y2="14"></line></svg></button></div></div></div></a><figcaption class="image-caption">Heating Cable cross section</figcaption></figure></div><p>Self-regulating heating cables represent an advanced solution in temperature management, commonly used in industrial and residential applications. At the core of their efficiency lies the ability to adjust heat output automatically, a process rooted in molecular-level adjustments. These cables can increase or decrease their thermal output in response to the surrounding temperature, a feat achieved through a clever interplay of materials science and thermodynamics.</p><h3>Understanding the Core Mechanism: The Role of the Polymer Matrix</h3><p>The key to the self-regulation process is the <strong>polymer matrix embedded with conductive elements, usually carbon-based particles</strong>. The <strong>polymer</strong> is designed to undergo structural changes at the molecular level as the temperature fluctuates. These molecular adjustments affect the electrical conductivity of the material, which in turn regulates heat output. The polymer is typically composed of <strong>semiconductor material/ thermosensitive materials</strong> that enable automatic heat adjustment based on temperature.</p><ul><li><p><strong>At Low Temperatures</strong>: When the ambient temperature drops, the polymer contracts, bringing the <strong>carbon particles</strong> closer together. As the carbon particles come into closer contact, the electrical conductivity increases, allowing more current to pass through. This results in an increased heat output, ensuring the system maintains the required temperature.</p></li><li><p><strong>At High Temperatures</strong>: Conversely, as the surrounding temperature rises, the polymer expands. This expansion separates the carbon particles, reducing the electrical conductivity of the material. With less current flowing through the cable, the heat output decreases, preventing overheating and improving energy efficiency.</p></li></ul><p><strong>This dynamic behavior is central to the cable's ability to adjust heat output automatically without external controls or sensors</strong>.</p><h3>But what are the underlying molecular phenomena responsible for these changes?</h3><h3><strong>Thermal Expansion and Contraction</strong></h3><p>At the molecular level, one of the primary phenomena driving the self-regulation process is <strong>thermal expansion and contraction of the polymer matrix</strong>. As temperature increases, the vibrational energy of the polymer molecules increases, causing the material to expand. This expansion disrupts the conductive pathways between carbon particles, reducing current flow. When the temperature decreases, the reverse happens: the polymer molecules lose energy, contract, and restore the conductive pathways. <strong>This cycle of expansion and contraction is a direct response to the surrounding thermal environment, allowing the cable to self-regulate.</strong></p><h3><strong>Percolation Theory</strong></h3><p>Percolation theory helps <strong>explain the conductivity changes in self-regulating heating cables.</strong> In the polymer-carbon composite, carbon particles act as <strong>conductive fillers</strong>.</p><p><strong>Phenomena:</strong> As the polymer matrix expands or contracts, the connectivity between these particles changes, affecting the overall electrical conductivity. Percolation theory describes how, at a critical threshold (the percolation threshold), the number of conductive pathways sharply increases or decreases, creating a non-linear response to temperature changes. When carbon particles are close enough, the system reaches a critical point where conductivity spikes, allowing more current and heat production.</p><div class="captioned-image-container"><figure><a class="image-link image2 is-viewable-img" target="_blank" href="https://substackcdn.com/image/fetch/$s_!MlqG!,f_auto,q_auto:good,fl_progressive:steep/https%3A%2F%2Fsubstack-post-media.s3.amazonaws.com%2Fpublic%2Fimages%2F17599ac7-bec0-4abc-b399-11ba4d818871_850x747.png" data-component-name="Image2ToDOM"><div class="image2-inset"><picture><source type="image/webp" srcset="https://substackcdn.com/image/fetch/$s_!MlqG!,w_424,c_limit,f_webp,q_auto:good,fl_progressive:steep/https%3A%2F%2Fsubstack-post-media.s3.amazonaws.com%2Fpublic%2Fimages%2F17599ac7-bec0-4abc-b399-11ba4d818871_850x747.png 424w, https://substackcdn.com/image/fetch/$s_!MlqG!,w_848,c_limit,f_webp,q_auto:good,fl_progressive:steep/https%3A%2F%2Fsubstack-post-media.s3.amazonaws.com%2Fpublic%2Fimages%2F17599ac7-bec0-4abc-b399-11ba4d818871_850x747.png 848w, https://substackcdn.com/image/fetch/$s_!MlqG!,w_1272,c_limit,f_webp,q_auto:good,fl_progressive:steep/https%3A%2F%2Fsubstack-post-media.s3.amazonaws.com%2Fpublic%2Fimages%2F17599ac7-bec0-4abc-b399-11ba4d818871_850x747.png 1272w, https://substackcdn.com/image/fetch/$s_!MlqG!,w_1456,c_limit,f_webp,q_auto:good,fl_progressive:steep/https%3A%2F%2Fsubstack-post-media.s3.amazonaws.com%2Fpublic%2Fimages%2F17599ac7-bec0-4abc-b399-11ba4d818871_850x747.png 1456w" sizes="100vw"><img src="https://substackcdn.com/image/fetch/$s_!MlqG!,w_1456,c_limit,f_auto,q_auto:good,fl_progressive:steep/https%3A%2F%2Fsubstack-post-media.s3.amazonaws.com%2Fpublic%2Fimages%2F17599ac7-bec0-4abc-b399-11ba4d818871_850x747.png" width="850" height="747" data-attrs="{&quot;src&quot;:&quot;https://substack-post-media.s3.amazonaws.com/public/images/17599ac7-bec0-4abc-b399-11ba4d818871_850x747.png&quot;,&quot;srcNoWatermark&quot;:null,&quot;fullscreen&quot;:null,&quot;imageSize&quot;:null,&quot;height&quot;:747,&quot;width&quot;:850,&quot;resizeWidth&quot;:null,&quot;bytes&quot;:434572,&quot;alt&quot;:null,&quot;title&quot;:null,&quot;type&quot;:&quot;image/png&quot;,&quot;href&quot;:null,&quot;belowTheFold&quot;:true,&quot;topImage&quot;:false,&quot;internalRedirect&quot;:null,&quot;isProcessing&quot;:false,&quot;align&quot;:null,&quot;offset&quot;:false}" class="sizing-normal" alt="" srcset="https://substackcdn.com/image/fetch/$s_!MlqG!,w_424,c_limit,f_auto,q_auto:good,fl_progressive:steep/https%3A%2F%2Fsubstack-post-media.s3.amazonaws.com%2Fpublic%2Fimages%2F17599ac7-bec0-4abc-b399-11ba4d818871_850x747.png 424w, https://substackcdn.com/image/fetch/$s_!MlqG!,w_848,c_limit,f_auto,q_auto:good,fl_progressive:steep/https%3A%2F%2Fsubstack-post-media.s3.amazonaws.com%2Fpublic%2Fimages%2F17599ac7-bec0-4abc-b399-11ba4d818871_850x747.png 848w, https://substackcdn.com/image/fetch/$s_!MlqG!,w_1272,c_limit,f_auto,q_auto:good,fl_progressive:steep/https%3A%2F%2Fsubstack-post-media.s3.amazonaws.com%2Fpublic%2Fimages%2F17599ac7-bec0-4abc-b399-11ba4d818871_850x747.png 1272w, https://substackcdn.com/image/fetch/$s_!MlqG!,w_1456,c_limit,f_auto,q_auto:good,fl_progressive:steep/https%3A%2F%2Fsubstack-post-media.s3.amazonaws.com%2Fpublic%2Fimages%2F17599ac7-bec0-4abc-b399-11ba4d818871_850x747.png 1456w" sizes="100vw" loading="lazy"></picture><div class="image-link-expand"><div class="pencraft pc-display-flex pc-gap-8 pc-reset"><button tabindex="0" type="button" class="pencraft pc-reset pencraft icon-container restack-image"><svg role="img" width="20" height="20" viewBox="0 0 20 20" fill="none" stroke-width="1.5" stroke="var(--color-fg-primary)" stroke-linecap="round" stroke-linejoin="round" xmlns="http://www.w3.org/2000/svg"><g><title></title><path d="M2.53001 7.81595C3.49179 4.73911 6.43281 2.5 9.91173 2.5C13.1684 2.5 15.9537 4.46214 17.0852 7.23684L17.6179 8.67647M17.6179 8.67647L18.5002 4.26471M17.6179 8.67647L13.6473 6.91176M17.4995 12.1841C16.5378 15.2609 13.5967 17.5 10.1178 17.5C6.86118 17.5 4.07589 15.5379 2.94432 12.7632L2.41165 11.3235M2.41165 11.3235L1.5293 15.7353M2.41165 11.3235L6.38224 13.0882"></path></g></svg></button><button tabindex="0" type="button" class="pencraft pc-reset pencraft icon-container view-image"><svg xmlns="http://www.w3.org/2000/svg" width="20" height="20" viewBox="0 0 24 24" fill="none" stroke="currentColor" stroke-width="2" stroke-linecap="round" stroke-linejoin="round" class="lucide lucide-maximize2 lucide-maximize-2"><polyline points="15 3 21 3 21 9"></polyline><polyline points="9 21 3 21 3 15"></polyline><line x1="21" x2="14" y1="3" y2="10"></line><line x1="3" x2="10" y1="21" y2="14"></line></svg></button></div></div></div></a><figcaption class="image-caption"><em><strong>fc is a percolation threshold after which conductive properties of polymer changes and we get non linear behavior</strong></em> <strong>Blue curve section representing fewer filler content hence lower temperature(aligns with Cold tube section of Heating Cable cross section) and Red curve representing higher filler content hence higher temperature(corresponding to Hot tube section)</strong></figcaption></figure></div><h3><strong>Interpretation of Regions in the Graph and behavior of SR cables at those regions</strong></h3><h4><strong>Filler Content</strong></h4><p>Filler content refers to the amount or concentration of conductive particles (like carbon) embedded within a polymer matrix. In self-regulating heating cables, these fillers are crucial for creating conductive pathways that allow current flow and heat generation. As temperature changes, the polymer matrix around the fillers expands or contracts, altering the distance between conductive particles.</p><h4><strong>Transport properties</strong></h4><p>Transport properties in the graph typically refer to how well the material conducts electricity (or heat) based on the connectivity of the conductive fillers. For SR cables, transport properties reflect the cable&#8217;s <strong>conductive behavior</strong>&#8212;its ability to allow or restrict the flow of electric current. Higher transport properties indicate a high level of conductivity, leading to more heat output. Lower transport properties signify restricted conductivity, resulting in less heat</p><p>Above Graph illustrating the transport properties of a material relative to the percolation threshold <strong>fc(</strong><em><strong>fc is a percolation threshold after which conductive properties of polymer changes and we get non linear behavior)</strong></em></p><h3><strong>Below fc(Blue curve)</strong>:</h3><p>The material has low conductivity as the conductive fillers are dispersed and do not form continuous pathways <strong>corresponding to lower temperature</strong>. At low filler content, transport properties increase slowly.</p><ul><li><p><strong>Response of Self-Regulating Cables to Lower Conductivity in Polymer Matrix(due to low temperature)</strong> When the polymer matrix of an SR cable has <strong>low conductivity</strong> due to lower temperatures, it <strong>increases the number of conductive pathways</strong> to raise heat output. At these lower temperatures, polymer molecules within the cable <strong>contract</strong>, increasing molecular density and <strong>enhancing conductive filler pathways</strong>. This densification allows the cable to produce <strong>higher power output</strong>, compensating for the colder conditions and ensuring efficient heat generation.</p></li><li><p><strong>Behavior of Self-Regulating Cables at Low Temperatures: Increment of Conductive Pathways</strong></p></li></ul><div class="image-gallery-embed" data-attrs="{&quot;gallery&quot;:{&quot;images&quot;:[{&quot;type&quot;:&quot;image/png&quot;,&quot;src&quot;:&quot;https://substack-post-media.s3.amazonaws.com/public/images/4d21c820-77a1-4aa7-a8bc-92d5e7bad2df_176x162.png&quot;},{&quot;type&quot;:&quot;image/png&quot;,&quot;src&quot;:&quot;https://substack-post-media.s3.amazonaws.com/public/images/0fe93a9c-780e-47e7-bec8-ca79d3e349ad_185x173.png&quot;}],&quot;caption&quot;:&quot;at lower temperature, there is no continuous conductive pathway as u can see conductive fillers are dispersed(aligns with Hot tube section of first figure)&quot;,&quot;alt&quot;:&quot;&quot;,&quot;staticGalleryImage&quot;:{&quot;type&quot;:&quot;image/png&quot;,&quot;src&quot;:&quot;https://substack-post-media.s3.amazonaws.com/public/images/7dc610e9-385f-4796-841c-96e385c864a0_1456x720.png&quot;}},&quot;isEditorNode&quot;:true}"></div><h3><strong>At fc:</strong></h3><p>At the critical threshold fc, the material's conductivity begins to increase significantly due to the initial formation of a connected network of conductive fillers. This point represents the <strong>transition phase</strong>, where conductive pathways start to form, allowing moderate current flow and leading to an increase in temperature, but not yet at its maximum.</p><ul><li><p><strong>Response of Self-Regulating Cables at Critical Conductivity Threshold in Polymer Matrix</strong></p><p>When the polymer matrix of an SR cable reaches the critical conductivity threshold (fc, conductive pathways begin to form but are not fully developed. The SR cable responds by <strong>increasing its power output moderately</strong>, which gradually raises the temperature to meet the warming requirements in colder conditions. This phase represents the cable&#8217;s <strong>adaptive response</strong> to provide additional heat as the conductivity begins to rise.</p></li><li><p><strong>Behavior of Self-Regulating Cables at Moderate Conductivity Levels</strong></p><p>At fc, SR cables operate in a balanced mode, where partial conductivity enables moderate heating. This transitional state allows the cable to adaptively increase temperature while maintaining control, preparing for either higher output in colder conditions or reduced output as temperature rises further.</p><div class="image-gallery-embed" data-attrs="{&quot;gallery&quot;:{&quot;images&quot;:[{&quot;type&quot;:&quot;image/png&quot;,&quot;src&quot;:&quot;https://substack-post-media.s3.amazonaws.com/public/images/c282227d-aec7-46c7-88fb-2ef047b1c774_180x160.png&quot;},{&quot;type&quot;:&quot;image/png&quot;,&quot;src&quot;:&quot;https://substack-post-media.s3.amazonaws.com/public/images/bbc8941e-a480-4f02-9d6a-2cc4172f3941_134x162.png&quot;}],&quot;caption&quot;:&quot;at fc (warm temperatures), green line is representing conductive pathway(at fc conductive pathways are start to form)&quot;,&quot;alt&quot;:&quot;&quot;,&quot;staticGalleryImage&quot;:{&quot;type&quot;:&quot;image/png&quot;,&quot;src&quot;:&quot;https://substack-post-media.s3.amazonaws.com/public/images/f68c28d0-95f0-4318-be02-a89aa31a638b_1456x720.png&quot;}},&quot;isEditorNode&quot;:true}"></div></li></ul><h3><strong>After fc(Red Curve)</strong>:</h3><p>Red curve representing material reaches high conductivity due to a well-connected network of conductive fillers, allowing efficient current flow. Hence representing <strong>Higher temperature.</strong></p><ul><li><p><strong>Response of Self-Regulating Cables to Higher Conductivity in Polymer Matrix(due to high temperature)</strong> When the polymer matrix of an SR cable has high <strong>conductivity</strong> due to higher temperatures, SR cable <strong>decreases the number of conductive pathways.</strong> This allows the cable to produce lower <strong>power output</strong>, compensating for the extreme or hotter conditions and ensuring efficient heat reduction.</p></li><li><p><strong>Behavior of Self-Regulating Cables at High Temperatures: Reduction of Conductive Pathways</strong></p></li></ul><h3><strong>Joule Heating (Resistive Heating)</strong></h3><p>Joule heating, also known as <strong>resistive heating</strong>, is the process by which electrical energy is converted into heat as it passes through a conductive material. In self-regulating cables, the conductive carbon particles embedded within the polymer matrix generate heat when current flows through them. <strong>As the molecular adjustments reduce conductivity at higher temperatures, less current passes through the cable, reducing the heat generated by the resistive effect. The opposite happens at low temperatures, where increased conductivity leads to more resistive heating</strong>.</p><p>The formula of joule heating is:</p><div class="captioned-image-container"><figure><a class="image-link image2" target="_blank" href="https://substackcdn.com/image/fetch/$s_!ICrP!,f_auto,q_auto:good,fl_progressive:steep/https%3A%2F%2Fsubstack-post-media.s3.amazonaws.com%2Fpublic%2Fimages%2Fa7dc4d1e-53ef-4ab2-8b6f-67142240283d_137x62.png" data-component-name="Image2ToDOM"><div class="image2-inset"><picture><source type="image/webp" srcset="https://substackcdn.com/image/fetch/$s_!ICrP!,w_424,c_limit,f_webp,q_auto:good,fl_progressive:steep/https%3A%2F%2Fsubstack-post-media.s3.amazonaws.com%2Fpublic%2Fimages%2Fa7dc4d1e-53ef-4ab2-8b6f-67142240283d_137x62.png 424w, https://substackcdn.com/image/fetch/$s_!ICrP!,w_848,c_limit,f_webp,q_auto:good,fl_progressive:steep/https%3A%2F%2Fsubstack-post-media.s3.amazonaws.com%2Fpublic%2Fimages%2Fa7dc4d1e-53ef-4ab2-8b6f-67142240283d_137x62.png 848w, https://substackcdn.com/image/fetch/$s_!ICrP!,w_1272,c_limit,f_webp,q_auto:good,fl_progressive:steep/https%3A%2F%2Fsubstack-post-media.s3.amazonaws.com%2Fpublic%2Fimages%2Fa7dc4d1e-53ef-4ab2-8b6f-67142240283d_137x62.png 1272w, https://substackcdn.com/image/fetch/$s_!ICrP!,w_1456,c_limit,f_webp,q_auto:good,fl_progressive:steep/https%3A%2F%2Fsubstack-post-media.s3.amazonaws.com%2Fpublic%2Fimages%2Fa7dc4d1e-53ef-4ab2-8b6f-67142240283d_137x62.png 1456w" sizes="100vw"><img src="https://substackcdn.com/image/fetch/$s_!ICrP!,w_1456,c_limit,f_auto,q_auto:good,fl_progressive:steep/https%3A%2F%2Fsubstack-post-media.s3.amazonaws.com%2Fpublic%2Fimages%2Fa7dc4d1e-53ef-4ab2-8b6f-67142240283d_137x62.png" width="137" height="62" data-attrs="{&quot;src&quot;:&quot;https://substack-post-media.s3.amazonaws.com/public/images/a7dc4d1e-53ef-4ab2-8b6f-67142240283d_137x62.png&quot;,&quot;srcNoWatermark&quot;:null,&quot;fullscreen&quot;:null,&quot;imageSize&quot;:null,&quot;height&quot;:62,&quot;width&quot;:137,&quot;resizeWidth&quot;:null,&quot;bytes&quot;:2700,&quot;alt&quot;:null,&quot;title&quot;:null,&quot;type&quot;:&quot;image/png&quot;,&quot;href&quot;:null,&quot;belowTheFold&quot;:true,&quot;topImage&quot;:false,&quot;internalRedirect&quot;:null,&quot;isProcessing&quot;:false,&quot;align&quot;:null,&quot;offset&quot;:false}" class="sizing-normal" alt="" srcset="https://substackcdn.com/image/fetch/$s_!ICrP!,w_424,c_limit,f_auto,q_auto:good,fl_progressive:steep/https%3A%2F%2Fsubstack-post-media.s3.amazonaws.com%2Fpublic%2Fimages%2Fa7dc4d1e-53ef-4ab2-8b6f-67142240283d_137x62.png 424w, https://substackcdn.com/image/fetch/$s_!ICrP!,w_848,c_limit,f_auto,q_auto:good,fl_progressive:steep/https%3A%2F%2Fsubstack-post-media.s3.amazonaws.com%2Fpublic%2Fimages%2Fa7dc4d1e-53ef-4ab2-8b6f-67142240283d_137x62.png 848w, https://substackcdn.com/image/fetch/$s_!ICrP!,w_1272,c_limit,f_auto,q_auto:good,fl_progressive:steep/https%3A%2F%2Fsubstack-post-media.s3.amazonaws.com%2Fpublic%2Fimages%2Fa7dc4d1e-53ef-4ab2-8b6f-67142240283d_137x62.png 1272w, https://substackcdn.com/image/fetch/$s_!ICrP!,w_1456,c_limit,f_auto,q_auto:good,fl_progressive:steep/https%3A%2F%2Fsubstack-post-media.s3.amazonaws.com%2Fpublic%2Fimages%2Fa7dc4d1e-53ef-4ab2-8b6f-67142240283d_137x62.png 1456w" sizes="100vw" loading="lazy"></picture><div></div></div></a></figure></div><p>Hence all these phenomenon make up entire molecular adjustments in self regulating cable which you can see in the image. Image shows how the polymer matrix, embedded with conductive particles (such as carbon), changes its structure based on temperature, affecting the heat output.</p><div class="captioned-image-container"><figure><a class="image-link image2 is-viewable-img" target="_blank" href="https://substackcdn.com/image/fetch/$s_!mLpv!,f_auto,q_auto:good,fl_progressive:steep/https%3A%2F%2Fsubstack-post-media.s3.amazonaws.com%2Fpublic%2Fimages%2Fb7c75af8-f66a-49d3-b564-81c529fbd8b7_737x295.png" data-component-name="Image2ToDOM"><div class="image2-inset"><picture><source type="image/webp" srcset="https://substackcdn.com/image/fetch/$s_!mLpv!,w_424,c_limit,f_webp,q_auto:good,fl_progressive:steep/https%3A%2F%2Fsubstack-post-media.s3.amazonaws.com%2Fpublic%2Fimages%2Fb7c75af8-f66a-49d3-b564-81c529fbd8b7_737x295.png 424w, https://substackcdn.com/image/fetch/$s_!mLpv!,w_848,c_limit,f_webp,q_auto:good,fl_progressive:steep/https%3A%2F%2Fsubstack-post-media.s3.amazonaws.com%2Fpublic%2Fimages%2Fb7c75af8-f66a-49d3-b564-81c529fbd8b7_737x295.png 848w, https://substackcdn.com/image/fetch/$s_!mLpv!,w_1272,c_limit,f_webp,q_auto:good,fl_progressive:steep/https%3A%2F%2Fsubstack-post-media.s3.amazonaws.com%2Fpublic%2Fimages%2Fb7c75af8-f66a-49d3-b564-81c529fbd8b7_737x295.png 1272w, https://substackcdn.com/image/fetch/$s_!mLpv!,w_1456,c_limit,f_webp,q_auto:good,fl_progressive:steep/https%3A%2F%2Fsubstack-post-media.s3.amazonaws.com%2Fpublic%2Fimages%2Fb7c75af8-f66a-49d3-b564-81c529fbd8b7_737x295.png 1456w" sizes="100vw"><img src="https://substackcdn.com/image/fetch/$s_!mLpv!,w_1456,c_limit,f_auto,q_auto:good,fl_progressive:steep/https%3A%2F%2Fsubstack-post-media.s3.amazonaws.com%2Fpublic%2Fimages%2Fb7c75af8-f66a-49d3-b564-81c529fbd8b7_737x295.png" width="737" height="295" data-attrs="{&quot;src&quot;:&quot;https://substack-post-media.s3.amazonaws.com/public/images/b7c75af8-f66a-49d3-b564-81c529fbd8b7_737x295.png&quot;,&quot;srcNoWatermark&quot;:null,&quot;fullscreen&quot;:null,&quot;imageSize&quot;:null,&quot;height&quot;:295,&quot;width&quot;:737,&quot;resizeWidth&quot;:null,&quot;bytes&quot;:315834,&quot;alt&quot;:null,&quot;title&quot;:null,&quot;type&quot;:&quot;image/png&quot;,&quot;href&quot;:null,&quot;belowTheFold&quot;:true,&quot;topImage&quot;:false,&quot;internalRedirect&quot;:null,&quot;isProcessing&quot;:false,&quot;align&quot;:null,&quot;offset&quot;:false}" class="sizing-normal" alt="" srcset="https://substackcdn.com/image/fetch/$s_!mLpv!,w_424,c_limit,f_auto,q_auto:good,fl_progressive:steep/https%3A%2F%2Fsubstack-post-media.s3.amazonaws.com%2Fpublic%2Fimages%2Fb7c75af8-f66a-49d3-b564-81c529fbd8b7_737x295.png 424w, https://substackcdn.com/image/fetch/$s_!mLpv!,w_848,c_limit,f_auto,q_auto:good,fl_progressive:steep/https%3A%2F%2Fsubstack-post-media.s3.amazonaws.com%2Fpublic%2Fimages%2Fb7c75af8-f66a-49d3-b564-81c529fbd8b7_737x295.png 848w, https://substackcdn.com/image/fetch/$s_!mLpv!,w_1272,c_limit,f_auto,q_auto:good,fl_progressive:steep/https%3A%2F%2Fsubstack-post-media.s3.amazonaws.com%2Fpublic%2Fimages%2Fb7c75af8-f66a-49d3-b564-81c529fbd8b7_737x295.png 1272w, https://substackcdn.com/image/fetch/$s_!mLpv!,w_1456,c_limit,f_auto,q_auto:good,fl_progressive:steep/https%3A%2F%2Fsubstack-post-media.s3.amazonaws.com%2Fpublic%2Fimages%2Fb7c75af8-f66a-49d3-b564-81c529fbd8b7_737x295.png 1456w" sizes="100vw" loading="lazy"></picture><div class="image-link-expand"><div class="pencraft pc-display-flex pc-gap-8 pc-reset"><button tabindex="0" type="button" class="pencraft pc-reset pencraft icon-container restack-image"><svg role="img" width="20" height="20" viewBox="0 0 20 20" fill="none" stroke-width="1.5" stroke="var(--color-fg-primary)" stroke-linecap="round" stroke-linejoin="round" xmlns="http://www.w3.org/2000/svg"><g><title></title><path d="M2.53001 7.81595C3.49179 4.73911 6.43281 2.5 9.91173 2.5C13.1684 2.5 15.9537 4.46214 17.0852 7.23684L17.6179 8.67647M17.6179 8.67647L18.5002 4.26471M17.6179 8.67647L13.6473 6.91176M17.4995 12.1841C16.5378 15.2609 13.5967 17.5 10.1178 17.5C6.86118 17.5 4.07589 15.5379 2.94432 12.7632L2.41165 11.3235M2.41165 11.3235L1.5293 15.7353M2.41165 11.3235L6.38224 13.0882"></path></g></svg></button><button tabindex="0" type="button" class="pencraft pc-reset pencraft icon-container view-image"><svg xmlns="http://www.w3.org/2000/svg" width="20" height="20" viewBox="0 0 24 24" fill="none" stroke="currentColor" stroke-width="2" stroke-linecap="round" stroke-linejoin="round" class="lucide lucide-maximize2 lucide-maximize-2"><polyline points="15 3 21 3 21 9"></polyline><polyline points="9 21 3 21 3 15"></polyline><line x1="21" x2="14" y1="3" y2="10"></line><line x1="3" x2="10" y1="21" y2="14"></line></svg></button></div></div></div></a></figure></div><div class="captioned-image-container"><figure><a class="image-link image2" target="_blank" href="https://substackcdn.com/image/fetch/$s_!C6bi!,f_auto,q_auto:good,fl_progressive:steep/https%3A%2F%2Fsubstack-post-media.s3.amazonaws.com%2Fpublic%2Fimages%2Fdea89eba-62dd-4ef0-ba28-adf26a7f6dae_243x208.png" data-component-name="Image2ToDOM"><div class="image2-inset"><picture><source type="image/webp" srcset="https://substackcdn.com/image/fetch/$s_!C6bi!,w_424,c_limit,f_webp,q_auto:good,fl_progressive:steep/https%3A%2F%2Fsubstack-post-media.s3.amazonaws.com%2Fpublic%2Fimages%2Fdea89eba-62dd-4ef0-ba28-adf26a7f6dae_243x208.png 424w, https://substackcdn.com/image/fetch/$s_!C6bi!,w_848,c_limit,f_webp,q_auto:good,fl_progressive:steep/https%3A%2F%2Fsubstack-post-media.s3.amazonaws.com%2Fpublic%2Fimages%2Fdea89eba-62dd-4ef0-ba28-adf26a7f6dae_243x208.png 848w, https://substackcdn.com/image/fetch/$s_!C6bi!,w_1272,c_limit,f_webp,q_auto:good,fl_progressive:steep/https%3A%2F%2Fsubstack-post-media.s3.amazonaws.com%2Fpublic%2Fimages%2Fdea89eba-62dd-4ef0-ba28-adf26a7f6dae_243x208.png 1272w, https://substackcdn.com/image/fetch/$s_!C6bi!,w_1456,c_limit,f_webp,q_auto:good,fl_progressive:steep/https%3A%2F%2Fsubstack-post-media.s3.amazonaws.com%2Fpublic%2Fimages%2Fdea89eba-62dd-4ef0-ba28-adf26a7f6dae_243x208.png 1456w" sizes="100vw"><img src="https://substackcdn.com/image/fetch/$s_!C6bi!,w_1456,c_limit,f_auto,q_auto:good,fl_progressive:steep/https%3A%2F%2Fsubstack-post-media.s3.amazonaws.com%2Fpublic%2Fimages%2Fdea89eba-62dd-4ef0-ba28-adf26a7f6dae_243x208.png" width="243" height="208" data-attrs="{&quot;src&quot;:&quot;https://substack-post-media.s3.amazonaws.com/public/images/dea89eba-62dd-4ef0-ba28-adf26a7f6dae_243x208.png&quot;,&quot;srcNoWatermark&quot;:null,&quot;fullscreen&quot;:null,&quot;imageSize&quot;:null,&quot;height&quot;:208,&quot;width&quot;:243,&quot;resizeWidth&quot;:null,&quot;bytes&quot;:67154,&quot;alt&quot;:null,&quot;title&quot;:null,&quot;type&quot;:&quot;image/png&quot;,&quot;href&quot;:null,&quot;belowTheFold&quot;:true,&quot;topImage&quot;:false,&quot;internalRedirect&quot;:null,&quot;isProcessing&quot;:false,&quot;align&quot;:null,&quot;offset&quot;:false}" class="sizing-normal" alt="" srcset="https://substackcdn.com/image/fetch/$s_!C6bi!,w_424,c_limit,f_auto,q_auto:good,fl_progressive:steep/https%3A%2F%2Fsubstack-post-media.s3.amazonaws.com%2Fpublic%2Fimages%2Fdea89eba-62dd-4ef0-ba28-adf26a7f6dae_243x208.png 424w, https://substackcdn.com/image/fetch/$s_!C6bi!,w_848,c_limit,f_auto,q_auto:good,fl_progressive:steep/https%3A%2F%2Fsubstack-post-media.s3.amazonaws.com%2Fpublic%2Fimages%2Fdea89eba-62dd-4ef0-ba28-adf26a7f6dae_243x208.png 848w, https://substackcdn.com/image/fetch/$s_!C6bi!,w_1272,c_limit,f_auto,q_auto:good,fl_progressive:steep/https%3A%2F%2Fsubstack-post-media.s3.amazonaws.com%2Fpublic%2Fimages%2Fdea89eba-62dd-4ef0-ba28-adf26a7f6dae_243x208.png 1272w, https://substackcdn.com/image/fetch/$s_!C6bi!,w_1456,c_limit,f_auto,q_auto:good,fl_progressive:steep/https%3A%2F%2Fsubstack-post-media.s3.amazonaws.com%2Fpublic%2Fimages%2Fdea89eba-62dd-4ef0-ba28-adf26a7f6dae_243x208.png 1456w" sizes="100vw" loading="lazy"></picture><div></div></div></a></figure></div><h3>How Molecular Adjustments Enhance Energy Efficiency</h3><p>The molecular adjustments within the semiconductive polymer enable the heating cable to respond dynamically to its environment. This adaptive capability not only enhances performance but also contributes to significant energy efficiency:</p><ul><li><p><strong>At lower temperatures</strong>, when heat demand is high, the semiconductive polymer contracts, increasing current flow and maximizing heat output. This ensures that the cable maintains a warm environment even in colder conditions.</p></li><li><p><strong>At higher temperatures</strong>, the polymer expands, reducing conductivity and minimizing heat output. This prevents the system from overheating and consuming unnecessary energy.</p></li></ul><p>The output change in terms of temperature change can be illustrated through the graph and equations involved in this output change are:</p><div class="captioned-image-container"><figure><a class="image-link image2" target="_blank" href="https://substackcdn.com/image/fetch/$s_!nrC_!,f_auto,q_auto:good,fl_progressive:steep/https%3A%2F%2Fsubstack-post-media.s3.amazonaws.com%2Fpublic%2Fimages%2F851a5b83-b11b-4dba-bb83-65ef6b2b2e64_302x54.png" data-component-name="Image2ToDOM"><div class="image2-inset"><picture><source type="image/webp" srcset="https://substackcdn.com/image/fetch/$s_!nrC_!,w_424,c_limit,f_webp,q_auto:good,fl_progressive:steep/https%3A%2F%2Fsubstack-post-media.s3.amazonaws.com%2Fpublic%2Fimages%2F851a5b83-b11b-4dba-bb83-65ef6b2b2e64_302x54.png 424w, https://substackcdn.com/image/fetch/$s_!nrC_!,w_848,c_limit,f_webp,q_auto:good,fl_progressive:steep/https%3A%2F%2Fsubstack-post-media.s3.amazonaws.com%2Fpublic%2Fimages%2F851a5b83-b11b-4dba-bb83-65ef6b2b2e64_302x54.png 848w, https://substackcdn.com/image/fetch/$s_!nrC_!,w_1272,c_limit,f_webp,q_auto:good,fl_progressive:steep/https%3A%2F%2Fsubstack-post-media.s3.amazonaws.com%2Fpublic%2Fimages%2F851a5b83-b11b-4dba-bb83-65ef6b2b2e64_302x54.png 1272w, https://substackcdn.com/image/fetch/$s_!nrC_!,w_1456,c_limit,f_webp,q_auto:good,fl_progressive:steep/https%3A%2F%2Fsubstack-post-media.s3.amazonaws.com%2Fpublic%2Fimages%2F851a5b83-b11b-4dba-bb83-65ef6b2b2e64_302x54.png 1456w" sizes="100vw"><img src="https://substackcdn.com/image/fetch/$s_!nrC_!,w_1456,c_limit,f_auto,q_auto:good,fl_progressive:steep/https%3A%2F%2Fsubstack-post-media.s3.amazonaws.com%2Fpublic%2Fimages%2F851a5b83-b11b-4dba-bb83-65ef6b2b2e64_302x54.png" width="302" height="54" data-attrs="{&quot;src&quot;:&quot;https://substack-post-media.s3.amazonaws.com/public/images/851a5b83-b11b-4dba-bb83-65ef6b2b2e64_302x54.png&quot;,&quot;srcNoWatermark&quot;:null,&quot;fullscreen&quot;:null,&quot;imageSize&quot;:null,&quot;height&quot;:54,&quot;width&quot;:302,&quot;resizeWidth&quot;:null,&quot;bytes&quot;:4528,&quot;alt&quot;:null,&quot;title&quot;:null,&quot;type&quot;:&quot;image/png&quot;,&quot;href&quot;:null,&quot;belowTheFold&quot;:true,&quot;topImage&quot;:false,&quot;internalRedirect&quot;:null,&quot;isProcessing&quot;:false,&quot;align&quot;:null,&quot;offset&quot;:false}" class="sizing-normal" alt="" srcset="https://substackcdn.com/image/fetch/$s_!nrC_!,w_424,c_limit,f_auto,q_auto:good,fl_progressive:steep/https%3A%2F%2Fsubstack-post-media.s3.amazonaws.com%2Fpublic%2Fimages%2F851a5b83-b11b-4dba-bb83-65ef6b2b2e64_302x54.png 424w, https://substackcdn.com/image/fetch/$s_!nrC_!,w_848,c_limit,f_auto,q_auto:good,fl_progressive:steep/https%3A%2F%2Fsubstack-post-media.s3.amazonaws.com%2Fpublic%2Fimages%2F851a5b83-b11b-4dba-bb83-65ef6b2b2e64_302x54.png 848w, https://substackcdn.com/image/fetch/$s_!nrC_!,w_1272,c_limit,f_auto,q_auto:good,fl_progressive:steep/https%3A%2F%2Fsubstack-post-media.s3.amazonaws.com%2Fpublic%2Fimages%2F851a5b83-b11b-4dba-bb83-65ef6b2b2e64_302x54.png 1272w, https://substackcdn.com/image/fetch/$s_!nrC_!,w_1456,c_limit,f_auto,q_auto:good,fl_progressive:steep/https%3A%2F%2Fsubstack-post-media.s3.amazonaws.com%2Fpublic%2Fimages%2F851a5b83-b11b-4dba-bb83-65ef6b2b2e64_302x54.png 1456w" sizes="100vw" loading="lazy"></picture><div></div></div></a></figure></div><div class="captioned-image-container"><figure><a class="image-link image2" target="_blank" href="https://substackcdn.com/image/fetch/$s_!-xT3!,f_auto,q_auto:good,fl_progressive:steep/https%3A%2F%2Fsubstack-post-media.s3.amazonaws.com%2Fpublic%2Fimages%2Fcf294e48-5474-4849-948e-8ca2898a4336_120x85.png" data-component-name="Image2ToDOM"><div class="image2-inset"><picture><source type="image/webp" srcset="https://substackcdn.com/image/fetch/$s_!-xT3!,w_424,c_limit,f_webp,q_auto:good,fl_progressive:steep/https%3A%2F%2Fsubstack-post-media.s3.amazonaws.com%2Fpublic%2Fimages%2Fcf294e48-5474-4849-948e-8ca2898a4336_120x85.png 424w, https://substackcdn.com/image/fetch/$s_!-xT3!,w_848,c_limit,f_webp,q_auto:good,fl_progressive:steep/https%3A%2F%2Fsubstack-post-media.s3.amazonaws.com%2Fpublic%2Fimages%2Fcf294e48-5474-4849-948e-8ca2898a4336_120x85.png 848w, https://substackcdn.com/image/fetch/$s_!-xT3!,w_1272,c_limit,f_webp,q_auto:good,fl_progressive:steep/https%3A%2F%2Fsubstack-post-media.s3.amazonaws.com%2Fpublic%2Fimages%2Fcf294e48-5474-4849-948e-8ca2898a4336_120x85.png 1272w, https://substackcdn.com/image/fetch/$s_!-xT3!,w_1456,c_limit,f_webp,q_auto:good,fl_progressive:steep/https%3A%2F%2Fsubstack-post-media.s3.amazonaws.com%2Fpublic%2Fimages%2Fcf294e48-5474-4849-948e-8ca2898a4336_120x85.png 1456w" sizes="100vw"><img src="https://substackcdn.com/image/fetch/$s_!-xT3!,w_1456,c_limit,f_auto,q_auto:good,fl_progressive:steep/https%3A%2F%2Fsubstack-post-media.s3.amazonaws.com%2Fpublic%2Fimages%2Fcf294e48-5474-4849-948e-8ca2898a4336_120x85.png" width="120" height="85" data-attrs="{&quot;src&quot;:&quot;https://substack-post-media.s3.amazonaws.com/public/images/cf294e48-5474-4849-948e-8ca2898a4336_120x85.png&quot;,&quot;srcNoWatermark&quot;:null,&quot;fullscreen&quot;:null,&quot;imageSize&quot;:null,&quot;height&quot;:85,&quot;width&quot;:120,&quot;resizeWidth&quot;:null,&quot;bytes&quot;:2456,&quot;alt&quot;:null,&quot;title&quot;:null,&quot;type&quot;:&quot;image/png&quot;,&quot;href&quot;:null,&quot;belowTheFold&quot;:true,&quot;topImage&quot;:false,&quot;internalRedirect&quot;:null,&quot;isProcessing&quot;:false,&quot;align&quot;:null,&quot;offset&quot;:false}" class="sizing-normal" alt="" srcset="https://substackcdn.com/image/fetch/$s_!-xT3!,w_424,c_limit,f_auto,q_auto:good,fl_progressive:steep/https%3A%2F%2Fsubstack-post-media.s3.amazonaws.com%2Fpublic%2Fimages%2Fcf294e48-5474-4849-948e-8ca2898a4336_120x85.png 424w, https://substackcdn.com/image/fetch/$s_!-xT3!,w_848,c_limit,f_auto,q_auto:good,fl_progressive:steep/https%3A%2F%2Fsubstack-post-media.s3.amazonaws.com%2Fpublic%2Fimages%2Fcf294e48-5474-4849-948e-8ca2898a4336_120x85.png 848w, https://substackcdn.com/image/fetch/$s_!-xT3!,w_1272,c_limit,f_auto,q_auto:good,fl_progressive:steep/https%3A%2F%2Fsubstack-post-media.s3.amazonaws.com%2Fpublic%2Fimages%2Fcf294e48-5474-4849-948e-8ca2898a4336_120x85.png 1272w, https://substackcdn.com/image/fetch/$s_!-xT3!,w_1456,c_limit,f_auto,q_auto:good,fl_progressive:steep/https%3A%2F%2Fsubstack-post-media.s3.amazonaws.com%2Fpublic%2Fimages%2Fcf294e48-5474-4849-948e-8ca2898a4336_120x85.png 1456w" sizes="100vw" loading="lazy"></picture><div></div></div></a></figure></div><div class="captioned-image-container"><figure><a class="image-link image2 is-viewable-img" target="_blank" href="https://substackcdn.com/image/fetch/$s_!PuBO!,f_auto,q_auto:good,fl_progressive:steep/https%3A%2F%2Fsubstack-post-media.s3.amazonaws.com%2Fpublic%2Fimages%2F058f6d05-9999-4885-b871-24da371e182d_833x779.jpeg" data-component-name="Image2ToDOM"><div class="image2-inset"><picture><source type="image/webp" srcset="https://substackcdn.com/image/fetch/$s_!PuBO!,w_424,c_limit,f_webp,q_auto:good,fl_progressive:steep/https%3A%2F%2Fsubstack-post-media.s3.amazonaws.com%2Fpublic%2Fimages%2F058f6d05-9999-4885-b871-24da371e182d_833x779.jpeg 424w, https://substackcdn.com/image/fetch/$s_!PuBO!,w_848,c_limit,f_webp,q_auto:good,fl_progressive:steep/https%3A%2F%2Fsubstack-post-media.s3.amazonaws.com%2Fpublic%2Fimages%2F058f6d05-9999-4885-b871-24da371e182d_833x779.jpeg 848w, https://substackcdn.com/image/fetch/$s_!PuBO!,w_1272,c_limit,f_webp,q_auto:good,fl_progressive:steep/https%3A%2F%2Fsubstack-post-media.s3.amazonaws.com%2Fpublic%2Fimages%2F058f6d05-9999-4885-b871-24da371e182d_833x779.jpeg 1272w, https://substackcdn.com/image/fetch/$s_!PuBO!,w_1456,c_limit,f_webp,q_auto:good,fl_progressive:steep/https%3A%2F%2Fsubstack-post-media.s3.amazonaws.com%2Fpublic%2Fimages%2F058f6d05-9999-4885-b871-24da371e182d_833x779.jpeg 1456w" sizes="100vw"><img src="https://substackcdn.com/image/fetch/$s_!PuBO!,w_1456,c_limit,f_auto,q_auto:good,fl_progressive:steep/https%3A%2F%2Fsubstack-post-media.s3.amazonaws.com%2Fpublic%2Fimages%2F058f6d05-9999-4885-b871-24da371e182d_833x779.jpeg" width="833" height="779" data-attrs="{&quot;src&quot;:&quot;https://substack-post-media.s3.amazonaws.com/public/images/058f6d05-9999-4885-b871-24da371e182d_833x779.jpeg&quot;,&quot;srcNoWatermark&quot;:null,&quot;fullscreen&quot;:null,&quot;imageSize&quot;:null,&quot;height&quot;:779,&quot;width&quot;:833,&quot;resizeWidth&quot;:null,&quot;bytes&quot;:199583,&quot;alt&quot;:null,&quot;title&quot;:null,&quot;type&quot;:&quot;image/jpeg&quot;,&quot;href&quot;:null,&quot;belowTheFold&quot;:true,&quot;topImage&quot;:false,&quot;internalRedirect&quot;:null,&quot;isProcessing&quot;:false,&quot;align&quot;:null,&quot;offset&quot;:false}" class="sizing-normal" alt="" srcset="https://substackcdn.com/image/fetch/$s_!PuBO!,w_424,c_limit,f_auto,q_auto:good,fl_progressive:steep/https%3A%2F%2Fsubstack-post-media.s3.amazonaws.com%2Fpublic%2Fimages%2F058f6d05-9999-4885-b871-24da371e182d_833x779.jpeg 424w, https://substackcdn.com/image/fetch/$s_!PuBO!,w_848,c_limit,f_auto,q_auto:good,fl_progressive:steep/https%3A%2F%2Fsubstack-post-media.s3.amazonaws.com%2Fpublic%2Fimages%2F058f6d05-9999-4885-b871-24da371e182d_833x779.jpeg 848w, https://substackcdn.com/image/fetch/$s_!PuBO!,w_1272,c_limit,f_auto,q_auto:good,fl_progressive:steep/https%3A%2F%2Fsubstack-post-media.s3.amazonaws.com%2Fpublic%2Fimages%2F058f6d05-9999-4885-b871-24da371e182d_833x779.jpeg 1272w, https://substackcdn.com/image/fetch/$s_!PuBO!,w_1456,c_limit,f_auto,q_auto:good,fl_progressive:steep/https%3A%2F%2Fsubstack-post-media.s3.amazonaws.com%2Fpublic%2Fimages%2F058f6d05-9999-4885-b871-24da371e182d_833x779.jpeg 1456w" sizes="100vw" loading="lazy"></picture><div class="image-link-expand"><div class="pencraft pc-display-flex pc-gap-8 pc-reset"><button tabindex="0" type="button" class="pencraft pc-reset pencraft icon-container restack-image"><svg role="img" width="20" height="20" viewBox="0 0 20 20" fill="none" stroke-width="1.5" stroke="var(--color-fg-primary)" stroke-linecap="round" stroke-linejoin="round" xmlns="http://www.w3.org/2000/svg"><g><title></title><path d="M2.53001 7.81595C3.49179 4.73911 6.43281 2.5 9.91173 2.5C13.1684 2.5 15.9537 4.46214 17.0852 7.23684L17.6179 8.67647M17.6179 8.67647L18.5002 4.26471M17.6179 8.67647L13.6473 6.91176M17.4995 12.1841C16.5378 15.2609 13.5967 17.5 10.1178 17.5C6.86118 17.5 4.07589 15.5379 2.94432 12.7632L2.41165 11.3235M2.41165 11.3235L1.5293 15.7353M2.41165 11.3235L6.38224 13.0882"></path></g></svg></button><button tabindex="0" type="button" class="pencraft pc-reset pencraft icon-container view-image"><svg xmlns="http://www.w3.org/2000/svg" width="20" height="20" viewBox="0 0 24 24" fill="none" stroke="currentColor" stroke-width="2" stroke-linecap="round" stroke-linejoin="round" class="lucide lucide-maximize2 lucide-maximize-2"><polyline points="15 3 21 3 21 9"></polyline><polyline points="9 21 3 21 3 15"></polyline><line x1="21" x2="14" y1="3" y2="10"></line><line x1="3" x2="10" y1="21" y2="14"></line></svg></button></div></div></div></a><figcaption class="image-caption">Power output graph</figcaption></figure></div><p>Where:</p><ul><li><p>Rt = Resistance at temperature T</p></li><li><p>R0 = Resistance at a reference temperature T0</p></li><li><p>&#945;= Temperature coefficient of resistance (per degree Celsius)</p></li></ul><p>This equation shows how the resistance of the self-regulating cable changes with temperature, directly impacting the heat output. Therefore, while the heating cable does not switch off once the target temperature is reached, it adjusts its power output based on the temperature of the heated medium, providing consistent protection against freezing conditions.</p><h3>Conclusion</h3><p><strong>Self-regulating cables emerge as the unsung heroes</strong> of modern heating technology. By intelligently adjusting their output on a molecular level, they provide seamless, reliable, and energy-efficient protection, even in the most demanding conditions. These cables don't just react&#8212;they adapt, maintaining the delicate balance needed to prevent freezing without wasting energy. As we continue to innovate in the field of energy management, understanding the science behind these remarkable systems reminds us of the power of simple, yet elegant, solutions. Self-regulation isn't just a feature&#8212;it's a revolution in heat control.</p><div class="subscription-widget-wrap-editor" data-attrs="{&quot;url&quot;:&quot;https://www.precisionnewsletter.com/subscribe?&quot;,&quot;text&quot;:&quot;Subscribe&quot;,&quot;language&quot;:&quot;en&quot;}" data-component-name="SubscribeWidgetToDOM"><div class="subscription-widget show-subscribe"><div class="preamble"><p class="cta-caption">Thanks for reading Precision Newsletter! Subscribe for free to receive new posts and support my work.</p></div><form class="subscription-widget-subscribe"><input type="email" class="email-input" name="email" placeholder="Type your email&#8230;" tabindex="-1"><input type="submit" class="button primary" value="Subscribe"><div class="fake-input-wrapper"><div class="fake-input"></div><div class="fake-button"></div></div></form></div></div>]]></content:encoded></item><item><title><![CDATA[Enhancing Oil and Gas Infrastructure in Extreme Environments with Self-Regulating Heating Cables]]></title><description><![CDATA[In the oil and gas industry, maintaining operational efficiency in extreme conditions is crucial.]]></description><link>https://www.precisionnewsletter.com/p/enhancing-oil-and-gas-infrastructure</link><guid isPermaLink="false">https://www.precisionnewsletter.com/p/enhancing-oil-and-gas-infrastructure</guid><dc:creator><![CDATA[Jinwook Jung]]></dc:creator><pubDate>Sat, 11 Jan 2025 13:11:22 GMT</pubDate><enclosure url="https://substack-post-media.s3.amazonaws.com/public/images/0107c182-30a6-42eb-b858-f65c8c348643_5472x3648.jpeg" length="0" type="image/jpeg"/><content:encoded><![CDATA[<p>In the oil and gas industry, maintaining operational efficiency in extreme conditions is crucial. This article explores various challenges faced by oil and gas pipelines, including freezing issues, the transportation of waxy crude oil, heavy oil extraction from shallow wells, and structural integrity in LNG tank concrete structures. It highlights the role of <strong>self-regulating heating cables</strong> as an effective solution to these challenges.</p><h2>Case Study 1 : Freezing Issues in China- Russia Crude Oil Pipeline (CRCOP)</h2><h3>Problem: Susceptibility to Freezing</h3><p>The <strong>China-Russia Crude Oil Pipeline (CRCOP)</strong>, extending from Mo'he in northeastern China to Daqing, traverses approximately 500 kilometers of permafrost. This section of the pipeline faces extreme temperature variations, with winter temperatures plummeting to -52&#176;C and summer highs reaching +30&#176;C. The freeze-thaw cycles in this harsh environment induce frost heave and thaw settlement, creating vertical displacements and stress that threaten pipeline integrity.</p><div class="subscription-widget-wrap-editor" data-attrs="{&quot;url&quot;:&quot;https://www.precisionnewsletter.com/subscribe?&quot;,&quot;text&quot;:&quot;Subscribe&quot;,&quot;language&quot;:&quot;en&quot;}" data-component-name="SubscribeWidgetToDOM"><div class="subscription-widget show-subscribe"><div class="preamble"><p class="cta-caption">Thanks for reading Precision Newsletter! Subscribe for free to receive new posts and support my work.</p></div><form class="subscription-widget-subscribe"><input type="email" class="email-input" name="email" placeholder="Type your email&#8230;" tabindex="-1"><input type="submit" class="button primary" value="Subscribe"><div class="fake-input-wrapper"><div class="fake-input"></div><div class="fake-button"></div></div></form></div></div><div class="captioned-image-container"><figure><a class="image-link image2 is-viewable-img" target="_blank" href="https://substackcdn.com/image/fetch/$s_!hCNd!,f_auto,q_auto:good,fl_progressive:steep/https%3A%2F%2Fsubstack-post-media.s3.amazonaws.com%2Fpublic%2Fimages%2Fbf524085-fcc0-4723-81e6-8a2d417dd3ff_1436x1065.png" data-component-name="Image2ToDOM"><div class="image2-inset"><picture><source type="image/webp" srcset="https://substackcdn.com/image/fetch/$s_!hCNd!,w_424,c_limit,f_webp,q_auto:good,fl_progressive:steep/https%3A%2F%2Fsubstack-post-media.s3.amazonaws.com%2Fpublic%2Fimages%2Fbf524085-fcc0-4723-81e6-8a2d417dd3ff_1436x1065.png 424w, https://substackcdn.com/image/fetch/$s_!hCNd!,w_848,c_limit,f_webp,q_auto:good,fl_progressive:steep/https%3A%2F%2Fsubstack-post-media.s3.amazonaws.com%2Fpublic%2Fimages%2Fbf524085-fcc0-4723-81e6-8a2d417dd3ff_1436x1065.png 848w, https://substackcdn.com/image/fetch/$s_!hCNd!,w_1272,c_limit,f_webp,q_auto:good,fl_progressive:steep/https%3A%2F%2Fsubstack-post-media.s3.amazonaws.com%2Fpublic%2Fimages%2Fbf524085-fcc0-4723-81e6-8a2d417dd3ff_1436x1065.png 1272w, https://substackcdn.com/image/fetch/$s_!hCNd!,w_1456,c_limit,f_webp,q_auto:good,fl_progressive:steep/https%3A%2F%2Fsubstack-post-media.s3.amazonaws.com%2Fpublic%2Fimages%2Fbf524085-fcc0-4723-81e6-8a2d417dd3ff_1436x1065.png 1456w" sizes="100vw"><img src="https://substackcdn.com/image/fetch/$s_!hCNd!,w_1456,c_limit,f_auto,q_auto:good,fl_progressive:steep/https%3A%2F%2Fsubstack-post-media.s3.amazonaws.com%2Fpublic%2Fimages%2Fbf524085-fcc0-4723-81e6-8a2d417dd3ff_1436x1065.png" width="1436" height="1065" data-attrs="{&quot;src&quot;:&quot;https://substack-post-media.s3.amazonaws.com/public/images/bf524085-fcc0-4723-81e6-8a2d417dd3ff_1436x1065.png&quot;,&quot;srcNoWatermark&quot;:null,&quot;fullscreen&quot;:null,&quot;imageSize&quot;:null,&quot;height&quot;:1065,&quot;width&quot;:1436,&quot;resizeWidth&quot;:null,&quot;bytes&quot;:1108060,&quot;alt&quot;:null,&quot;title&quot;:null,&quot;type&quot;:&quot;image/png&quot;,&quot;href&quot;:null,&quot;belowTheFold&quot;:false,&quot;topImage&quot;:true,&quot;internalRedirect&quot;:null,&quot;isProcessing&quot;:false,&quot;align&quot;:null,&quot;offset&quot;:false}" class="sizing-normal" alt="" srcset="https://substackcdn.com/image/fetch/$s_!hCNd!,w_424,c_limit,f_auto,q_auto:good,fl_progressive:steep/https%3A%2F%2Fsubstack-post-media.s3.amazonaws.com%2Fpublic%2Fimages%2Fbf524085-fcc0-4723-81e6-8a2d417dd3ff_1436x1065.png 424w, https://substackcdn.com/image/fetch/$s_!hCNd!,w_848,c_limit,f_auto,q_auto:good,fl_progressive:steep/https%3A%2F%2Fsubstack-post-media.s3.amazonaws.com%2Fpublic%2Fimages%2Fbf524085-fcc0-4723-81e6-8a2d417dd3ff_1436x1065.png 848w, https://substackcdn.com/image/fetch/$s_!hCNd!,w_1272,c_limit,f_auto,q_auto:good,fl_progressive:steep/https%3A%2F%2Fsubstack-post-media.s3.amazonaws.com%2Fpublic%2Fimages%2Fbf524085-fcc0-4723-81e6-8a2d417dd3ff_1436x1065.png 1272w, https://substackcdn.com/image/fetch/$s_!hCNd!,w_1456,c_limit,f_auto,q_auto:good,fl_progressive:steep/https%3A%2F%2Fsubstack-post-media.s3.amazonaws.com%2Fpublic%2Fimages%2Fbf524085-fcc0-4723-81e6-8a2d417dd3ff_1436x1065.png 1456w" sizes="100vw" fetchpriority="high"></picture><div class="image-link-expand"><div class="pencraft pc-display-flex pc-gap-8 pc-reset"><button tabindex="0" type="button" class="pencraft pc-reset pencraft icon-container restack-image"><svg role="img" width="20" height="20" viewBox="0 0 20 20" fill="none" stroke-width="1.5" stroke="var(--color-fg-primary)" stroke-linecap="round" stroke-linejoin="round" xmlns="http://www.w3.org/2000/svg"><g><title></title><path d="M2.53001 7.81595C3.49179 4.73911 6.43281 2.5 9.91173 2.5C13.1684 2.5 15.9537 4.46214 17.0852 7.23684L17.6179 8.67647M17.6179 8.67647L18.5002 4.26471M17.6179 8.67647L13.6473 6.91176M17.4995 12.1841C16.5378 15.2609 13.5967 17.5 10.1178 17.5C6.86118 17.5 4.07589 15.5379 2.94432 12.7632L2.41165 11.3235M2.41165 11.3235L1.5293 15.7353M2.41165 11.3235L6.38224 13.0882"></path></g></svg></button><button tabindex="0" type="button" class="pencraft pc-reset pencraft icon-container view-image"><svg xmlns="http://www.w3.org/2000/svg" width="20" height="20" viewBox="0 0 24 24" fill="none" stroke="currentColor" stroke-width="2" stroke-linecap="round" stroke-linejoin="round" class="lucide lucide-maximize2 lucide-maximize-2"><polyline points="15 3 21 3 21 9"></polyline><polyline points="9 21 3 21 3 15"></polyline><line x1="21" x2="14" y1="3" y2="10"></line><line x1="3" x2="10" y1="21" y2="14"></line></svg></button></div></div></div></a><figcaption class="image-caption">Figure: Permafrost distribution along the Mo'he&#8211;Daqing section of the CRCOP</figcaption></figure></div><p>During operation, the oil temperature in the CRCOP fluctuates seasonally from approximately -6&#176;C to +25&#176;C. These temperature shifts exacerbate soil freezing and thawing (melting ) around the pipeline, further increasing the risk of displacement. In permafrost sections, frost heave can cause the pipeline to lift by as much as 0.5 meters, while thawing results in soil contraction and settlement, potentially leading to deformations, ruptures, and leaks.</p><div class="captioned-image-container"><figure><a class="image-link image2 is-viewable-img" target="_blank" href="https://substackcdn.com/image/fetch/$s_!GP9z!,f_auto,q_auto:good,fl_progressive:steep/https%3A%2F%2Fsubstack-post-media.s3.amazonaws.com%2Fpublic%2Fimages%2Fedd35cac-c29b-4124-8840-f42638954a69_414x272.png" data-component-name="Image2ToDOM"><div class="image2-inset"><picture><source type="image/webp" srcset="https://substackcdn.com/image/fetch/$s_!GP9z!,w_424,c_limit,f_webp,q_auto:good,fl_progressive:steep/https%3A%2F%2Fsubstack-post-media.s3.amazonaws.com%2Fpublic%2Fimages%2Fedd35cac-c29b-4124-8840-f42638954a69_414x272.png 424w, https://substackcdn.com/image/fetch/$s_!GP9z!,w_848,c_limit,f_webp,q_auto:good,fl_progressive:steep/https%3A%2F%2Fsubstack-post-media.s3.amazonaws.com%2Fpublic%2Fimages%2Fedd35cac-c29b-4124-8840-f42638954a69_414x272.png 848w, https://substackcdn.com/image/fetch/$s_!GP9z!,w_1272,c_limit,f_webp,q_auto:good,fl_progressive:steep/https%3A%2F%2Fsubstack-post-media.s3.amazonaws.com%2Fpublic%2Fimages%2Fedd35cac-c29b-4124-8840-f42638954a69_414x272.png 1272w, https://substackcdn.com/image/fetch/$s_!GP9z!,w_1456,c_limit,f_webp,q_auto:good,fl_progressive:steep/https%3A%2F%2Fsubstack-post-media.s3.amazonaws.com%2Fpublic%2Fimages%2Fedd35cac-c29b-4124-8840-f42638954a69_414x272.png 1456w" sizes="100vw"><img src="https://substackcdn.com/image/fetch/$s_!GP9z!,w_1456,c_limit,f_auto,q_auto:good,fl_progressive:steep/https%3A%2F%2Fsubstack-post-media.s3.amazonaws.com%2Fpublic%2Fimages%2Fedd35cac-c29b-4124-8840-f42638954a69_414x272.png" width="414" height="272" data-attrs="{&quot;src&quot;:&quot;https://substack-post-media.s3.amazonaws.com/public/images/edd35cac-c29b-4124-8840-f42638954a69_414x272.png&quot;,&quot;srcNoWatermark&quot;:null,&quot;fullscreen&quot;:null,&quot;imageSize&quot;:null,&quot;height&quot;:272,&quot;width&quot;:414,&quot;resizeWidth&quot;:null,&quot;bytes&quot;:38173,&quot;alt&quot;:null,&quot;title&quot;:null,&quot;type&quot;:&quot;image/png&quot;,&quot;href&quot;:null,&quot;belowTheFold&quot;:false,&quot;topImage&quot;:false,&quot;internalRedirect&quot;:null,&quot;isProcessing&quot;:false,&quot;align&quot;:null,&quot;offset&quot;:false}" class="sizing-normal" alt="" srcset="https://substackcdn.com/image/fetch/$s_!GP9z!,w_424,c_limit,f_auto,q_auto:good,fl_progressive:steep/https%3A%2F%2Fsubstack-post-media.s3.amazonaws.com%2Fpublic%2Fimages%2Fedd35cac-c29b-4124-8840-f42638954a69_414x272.png 424w, https://substackcdn.com/image/fetch/$s_!GP9z!,w_848,c_limit,f_auto,q_auto:good,fl_progressive:steep/https%3A%2F%2Fsubstack-post-media.s3.amazonaws.com%2Fpublic%2Fimages%2Fedd35cac-c29b-4124-8840-f42638954a69_414x272.png 848w, https://substackcdn.com/image/fetch/$s_!GP9z!,w_1272,c_limit,f_auto,q_auto:good,fl_progressive:steep/https%3A%2F%2Fsubstack-post-media.s3.amazonaws.com%2Fpublic%2Fimages%2Fedd35cac-c29b-4124-8840-f42638954a69_414x272.png 1272w, https://substackcdn.com/image/fetch/$s_!GP9z!,w_1456,c_limit,f_auto,q_auto:good,fl_progressive:steep/https%3A%2F%2Fsubstack-post-media.s3.amazonaws.com%2Fpublic%2Fimages%2Fedd35cac-c29b-4124-8840-f42638954a69_414x272.png 1456w" sizes="100vw"></picture><div class="image-link-expand"><div class="pencraft pc-display-flex pc-gap-8 pc-reset"><button tabindex="0" type="button" class="pencraft pc-reset pencraft icon-container restack-image"><svg role="img" width="20" height="20" viewBox="0 0 20 20" fill="none" stroke-width="1.5" stroke="var(--color-fg-primary)" stroke-linecap="round" stroke-linejoin="round" xmlns="http://www.w3.org/2000/svg"><g><title></title><path d="M2.53001 7.81595C3.49179 4.73911 6.43281 2.5 9.91173 2.5C13.1684 2.5 15.9537 4.46214 17.0852 7.23684L17.6179 8.67647M17.6179 8.67647L18.5002 4.26471M17.6179 8.67647L13.6473 6.91176M17.4995 12.1841C16.5378 15.2609 13.5967 17.5 10.1178 17.5C6.86118 17.5 4.07589 15.5379 2.94432 12.7632L2.41165 11.3235M2.41165 11.3235L1.5293 15.7353M2.41165 11.3235L6.38224 13.0882"></path></g></svg></button><button tabindex="0" type="button" class="pencraft pc-reset pencraft icon-container view-image"><svg xmlns="http://www.w3.org/2000/svg" width="20" height="20" viewBox="0 0 24 24" fill="none" stroke="currentColor" stroke-width="2" stroke-linecap="round" stroke-linejoin="round" class="lucide lucide-maximize2 lucide-maximize-2"><polyline points="15 3 21 3 21 9"></polyline><polyline points="9 21 3 21 3 15"></polyline><line x1="21" x2="14" y1="3" y2="10"></line><line x1="3" x2="10" y1="21" y2="14"></line></svg></button></div></div></div></a></figure></div><div class="captioned-image-container"><figure><a class="image-link image2 is-viewable-img" target="_blank" href="https://substackcdn.com/image/fetch/$s_!Woq7!,f_auto,q_auto:good,fl_progressive:steep/https%3A%2F%2Fsubstack-post-media.s3.amazonaws.com%2Fpublic%2Fimages%2F53a6a70a-b5be-4a2c-9de9-8adb99a8be0e_870x536.png" data-component-name="Image2ToDOM"><div class="image2-inset"><picture><source type="image/webp" srcset="https://substackcdn.com/image/fetch/$s_!Woq7!,w_424,c_limit,f_webp,q_auto:good,fl_progressive:steep/https%3A%2F%2Fsubstack-post-media.s3.amazonaws.com%2Fpublic%2Fimages%2F53a6a70a-b5be-4a2c-9de9-8adb99a8be0e_870x536.png 424w, https://substackcdn.com/image/fetch/$s_!Woq7!,w_848,c_limit,f_webp,q_auto:good,fl_progressive:steep/https%3A%2F%2Fsubstack-post-media.s3.amazonaws.com%2Fpublic%2Fimages%2F53a6a70a-b5be-4a2c-9de9-8adb99a8be0e_870x536.png 848w, https://substackcdn.com/image/fetch/$s_!Woq7!,w_1272,c_limit,f_webp,q_auto:good,fl_progressive:steep/https%3A%2F%2Fsubstack-post-media.s3.amazonaws.com%2Fpublic%2Fimages%2F53a6a70a-b5be-4a2c-9de9-8adb99a8be0e_870x536.png 1272w, https://substackcdn.com/image/fetch/$s_!Woq7!,w_1456,c_limit,f_webp,q_auto:good,fl_progressive:steep/https%3A%2F%2Fsubstack-post-media.s3.amazonaws.com%2Fpublic%2Fimages%2F53a6a70a-b5be-4a2c-9de9-8adb99a8be0e_870x536.png 1456w" sizes="100vw"><img src="https://substackcdn.com/image/fetch/$s_!Woq7!,w_1456,c_limit,f_auto,q_auto:good,fl_progressive:steep/https%3A%2F%2Fsubstack-post-media.s3.amazonaws.com%2Fpublic%2Fimages%2F53a6a70a-b5be-4a2c-9de9-8adb99a8be0e_870x536.png" width="870" height="536" data-attrs="{&quot;src&quot;:&quot;https://substack-post-media.s3.amazonaws.com/public/images/53a6a70a-b5be-4a2c-9de9-8adb99a8be0e_870x536.png&quot;,&quot;srcNoWatermark&quot;:null,&quot;fullscreen&quot;:null,&quot;imageSize&quot;:null,&quot;height&quot;:536,&quot;width&quot;:870,&quot;resizeWidth&quot;:null,&quot;bytes&quot;:1037084,&quot;alt&quot;:null,&quot;title&quot;:null,&quot;type&quot;:&quot;image/png&quot;,&quot;href&quot;:null,&quot;belowTheFold&quot;:false,&quot;topImage&quot;:false,&quot;internalRedirect&quot;:null,&quot;isProcessing&quot;:false,&quot;align&quot;:null,&quot;offset&quot;:false}" class="sizing-normal" alt="" srcset="https://substackcdn.com/image/fetch/$s_!Woq7!,w_424,c_limit,f_auto,q_auto:good,fl_progressive:steep/https%3A%2F%2Fsubstack-post-media.s3.amazonaws.com%2Fpublic%2Fimages%2F53a6a70a-b5be-4a2c-9de9-8adb99a8be0e_870x536.png 424w, https://substackcdn.com/image/fetch/$s_!Woq7!,w_848,c_limit,f_auto,q_auto:good,fl_progressive:steep/https%3A%2F%2Fsubstack-post-media.s3.amazonaws.com%2Fpublic%2Fimages%2F53a6a70a-b5be-4a2c-9de9-8adb99a8be0e_870x536.png 848w, https://substackcdn.com/image/fetch/$s_!Woq7!,w_1272,c_limit,f_auto,q_auto:good,fl_progressive:steep/https%3A%2F%2Fsubstack-post-media.s3.amazonaws.com%2Fpublic%2Fimages%2F53a6a70a-b5be-4a2c-9de9-8adb99a8be0e_870x536.png 1272w, https://substackcdn.com/image/fetch/$s_!Woq7!,w_1456,c_limit,f_auto,q_auto:good,fl_progressive:steep/https%3A%2F%2Fsubstack-post-media.s3.amazonaws.com%2Fpublic%2Fimages%2F53a6a70a-b5be-4a2c-9de9-8adb99a8be0e_870x536.png 1456w" sizes="100vw"></picture><div class="image-link-expand"><div class="pencraft pc-display-flex pc-gap-8 pc-reset"><button tabindex="0" type="button" class="pencraft pc-reset pencraft icon-container restack-image"><svg role="img" width="20" height="20" viewBox="0 0 20 20" fill="none" stroke-width="1.5" stroke="var(--color-fg-primary)" stroke-linecap="round" stroke-linejoin="round" xmlns="http://www.w3.org/2000/svg"><g><title></title><path d="M2.53001 7.81595C3.49179 4.73911 6.43281 2.5 9.91173 2.5C13.1684 2.5 15.9537 4.46214 17.0852 7.23684L17.6179 8.67647M17.6179 8.67647L18.5002 4.26471M17.6179 8.67647L13.6473 6.91176M17.4995 12.1841C16.5378 15.2609 13.5967 17.5 10.1178 17.5C6.86118 17.5 4.07589 15.5379 2.94432 12.7632L2.41165 11.3235M2.41165 11.3235L1.5293 15.7353M2.41165 11.3235L6.38224 13.0882"></path></g></svg></button><button tabindex="0" type="button" class="pencraft pc-reset pencraft icon-container view-image"><svg xmlns="http://www.w3.org/2000/svg" width="20" height="20" viewBox="0 0 24 24" fill="none" stroke="currentColor" stroke-width="2" stroke-linecap="round" stroke-linejoin="round" class="lucide lucide-maximize2 lucide-maximize-2"><polyline points="15 3 21 3 21 9"></polyline><polyline points="9 21 3 21 3 15"></polyline><line x1="21" x2="14" y1="3" y2="10"></line><line x1="3" x2="10" y1="21" y2="14"></line></svg></button></div></div></div></a><figcaption class="image-caption">Figure: Freezing damage of Golmud-Lhasa Pipeline</figcaption></figure></div><h3>Temperature Impact on Pipeline Stability</h3><p>The freeze-thaw cycles around the CRCOP are illustrated in different phases, with varying oil and environmental temperatures affecting soil stability. Below are summarized temperature conditions observed during test phases to simulate CRCOP's freezing and thawing impact on the pipeline.</p><div class="captioned-image-container"><figure><a class="image-link image2 is-viewable-img" target="_blank" href="https://substackcdn.com/image/fetch/$s_!BurJ!,f_auto,q_auto:good,fl_progressive:steep/https%3A%2F%2Fsubstack-post-media.s3.amazonaws.com%2Fpublic%2Fimages%2Faedea500-84b3-416c-90d7-7b2b4a434fdf_702x398.png" data-component-name="Image2ToDOM"><div class="image2-inset"><picture><source type="image/webp" srcset="https://substackcdn.com/image/fetch/$s_!BurJ!,w_424,c_limit,f_webp,q_auto:good,fl_progressive:steep/https%3A%2F%2Fsubstack-post-media.s3.amazonaws.com%2Fpublic%2Fimages%2Faedea500-84b3-416c-90d7-7b2b4a434fdf_702x398.png 424w, https://substackcdn.com/image/fetch/$s_!BurJ!,w_848,c_limit,f_webp,q_auto:good,fl_progressive:steep/https%3A%2F%2Fsubstack-post-media.s3.amazonaws.com%2Fpublic%2Fimages%2Faedea500-84b3-416c-90d7-7b2b4a434fdf_702x398.png 848w, https://substackcdn.com/image/fetch/$s_!BurJ!,w_1272,c_limit,f_webp,q_auto:good,fl_progressive:steep/https%3A%2F%2Fsubstack-post-media.s3.amazonaws.com%2Fpublic%2Fimages%2Faedea500-84b3-416c-90d7-7b2b4a434fdf_702x398.png 1272w, https://substackcdn.com/image/fetch/$s_!BurJ!,w_1456,c_limit,f_webp,q_auto:good,fl_progressive:steep/https%3A%2F%2Fsubstack-post-media.s3.amazonaws.com%2Fpublic%2Fimages%2Faedea500-84b3-416c-90d7-7b2b4a434fdf_702x398.png 1456w" sizes="100vw"><img src="https://substackcdn.com/image/fetch/$s_!BurJ!,w_1456,c_limit,f_auto,q_auto:good,fl_progressive:steep/https%3A%2F%2Fsubstack-post-media.s3.amazonaws.com%2Fpublic%2Fimages%2Faedea500-84b3-416c-90d7-7b2b4a434fdf_702x398.png" width="702" height="398" data-attrs="{&quot;src&quot;:&quot;https://substack-post-media.s3.amazonaws.com/public/images/aedea500-84b3-416c-90d7-7b2b4a434fdf_702x398.png&quot;,&quot;srcNoWatermark&quot;:null,&quot;fullscreen&quot;:null,&quot;imageSize&quot;:null,&quot;height&quot;:398,&quot;width&quot;:702,&quot;resizeWidth&quot;:null,&quot;bytes&quot;:61125,&quot;alt&quot;:null,&quot;title&quot;:null,&quot;type&quot;:&quot;image/png&quot;,&quot;href&quot;:null,&quot;belowTheFold&quot;:true,&quot;topImage&quot;:false,&quot;internalRedirect&quot;:null,&quot;isProcessing&quot;:false,&quot;align&quot;:null,&quot;offset&quot;:false}" class="sizing-normal" alt="" srcset="https://substackcdn.com/image/fetch/$s_!BurJ!,w_424,c_limit,f_auto,q_auto:good,fl_progressive:steep/https%3A%2F%2Fsubstack-post-media.s3.amazonaws.com%2Fpublic%2Fimages%2Faedea500-84b3-416c-90d7-7b2b4a434fdf_702x398.png 424w, https://substackcdn.com/image/fetch/$s_!BurJ!,w_848,c_limit,f_auto,q_auto:good,fl_progressive:steep/https%3A%2F%2Fsubstack-post-media.s3.amazonaws.com%2Fpublic%2Fimages%2Faedea500-84b3-416c-90d7-7b2b4a434fdf_702x398.png 848w, https://substackcdn.com/image/fetch/$s_!BurJ!,w_1272,c_limit,f_auto,q_auto:good,fl_progressive:steep/https%3A%2F%2Fsubstack-post-media.s3.amazonaws.com%2Fpublic%2Fimages%2Faedea500-84b3-416c-90d7-7b2b4a434fdf_702x398.png 1272w, https://substackcdn.com/image/fetch/$s_!BurJ!,w_1456,c_limit,f_auto,q_auto:good,fl_progressive:steep/https%3A%2F%2Fsubstack-post-media.s3.amazonaws.com%2Fpublic%2Fimages%2Faedea500-84b3-416c-90d7-7b2b4a434fdf_702x398.png 1456w" sizes="100vw" loading="lazy"></picture><div class="image-link-expand"><div class="pencraft pc-display-flex pc-gap-8 pc-reset"><button tabindex="0" type="button" class="pencraft pc-reset pencraft icon-container restack-image"><svg role="img" width="20" height="20" viewBox="0 0 20 20" fill="none" stroke-width="1.5" stroke="var(--color-fg-primary)" stroke-linecap="round" stroke-linejoin="round" xmlns="http://www.w3.org/2000/svg"><g><title></title><path d="M2.53001 7.81595C3.49179 4.73911 6.43281 2.5 9.91173 2.5C13.1684 2.5 15.9537 4.46214 17.0852 7.23684L17.6179 8.67647M17.6179 8.67647L18.5002 4.26471M17.6179 8.67647L13.6473 6.91176M17.4995 12.1841C16.5378 15.2609 13.5967 17.5 10.1178 17.5C6.86118 17.5 4.07589 15.5379 2.94432 12.7632L2.41165 11.3235M2.41165 11.3235L1.5293 15.7353M2.41165 11.3235L6.38224 13.0882"></path></g></svg></button><button tabindex="0" type="button" class="pencraft pc-reset pencraft icon-container view-image"><svg xmlns="http://www.w3.org/2000/svg" width="20" height="20" viewBox="0 0 24 24" fill="none" stroke="currentColor" stroke-width="2" stroke-linecap="round" stroke-linejoin="round" class="lucide lucide-maximize2 lucide-maximize-2"><polyline points="15 3 21 3 21 9"></polyline><polyline points="9 21 3 21 3 15"></polyline><line x1="21" x2="14" y1="3" y2="10"></line><line x1="3" x2="10" y1="21" y2="14"></line></svg></button></div></div></div></a><figcaption class="image-caption">Table 1: Observed temperatures and soil responses around the CRCOP in model testing phases.</figcaption></figure></div><h3>Projected Thaw Depths in CRCOP Permafrost Sections</h3><p>Based on the testing model, projections were made for actual field thaw depths at different oil temperatures, taking into account the similarity ratios. These projected values provide insights into the depth of thawing and potential displacement for the CRCOP in permafrost conditions.</p><div class="captioned-image-container"><figure><a class="image-link image2" target="_blank" href="https://substackcdn.com/image/fetch/$s_!oyhN!,f_auto,q_auto:good,fl_progressive:steep/https%3A%2F%2Fsubstack-post-media.s3.amazonaws.com%2Fpublic%2Fimages%2F533a7b05-3a4e-4834-99c1-0f972a3b0fb3_616x176.png" data-component-name="Image2ToDOM"><div class="image2-inset"><picture><source type="image/webp" srcset="https://substackcdn.com/image/fetch/$s_!oyhN!,w_424,c_limit,f_webp,q_auto:good,fl_progressive:steep/https%3A%2F%2Fsubstack-post-media.s3.amazonaws.com%2Fpublic%2Fimages%2F533a7b05-3a4e-4834-99c1-0f972a3b0fb3_616x176.png 424w, https://substackcdn.com/image/fetch/$s_!oyhN!,w_848,c_limit,f_webp,q_auto:good,fl_progressive:steep/https%3A%2F%2Fsubstack-post-media.s3.amazonaws.com%2Fpublic%2Fimages%2F533a7b05-3a4e-4834-99c1-0f972a3b0fb3_616x176.png 848w, https://substackcdn.com/image/fetch/$s_!oyhN!,w_1272,c_limit,f_webp,q_auto:good,fl_progressive:steep/https%3A%2F%2Fsubstack-post-media.s3.amazonaws.com%2Fpublic%2Fimages%2F533a7b05-3a4e-4834-99c1-0f972a3b0fb3_616x176.png 1272w, https://substackcdn.com/image/fetch/$s_!oyhN!,w_1456,c_limit,f_webp,q_auto:good,fl_progressive:steep/https%3A%2F%2Fsubstack-post-media.s3.amazonaws.com%2Fpublic%2Fimages%2F533a7b05-3a4e-4834-99c1-0f972a3b0fb3_616x176.png 1456w" sizes="100vw"><img src="https://substackcdn.com/image/fetch/$s_!oyhN!,w_1456,c_limit,f_auto,q_auto:good,fl_progressive:steep/https%3A%2F%2Fsubstack-post-media.s3.amazonaws.com%2Fpublic%2Fimages%2F533a7b05-3a4e-4834-99c1-0f972a3b0fb3_616x176.png" width="616" height="176" data-attrs="{&quot;src&quot;:&quot;https://substack-post-media.s3.amazonaws.com/public/images/533a7b05-3a4e-4834-99c1-0f972a3b0fb3_616x176.png&quot;,&quot;srcNoWatermark&quot;:null,&quot;fullscreen&quot;:null,&quot;imageSize&quot;:null,&quot;height&quot;:176,&quot;width&quot;:616,&quot;resizeWidth&quot;:null,&quot;bytes&quot;:21356,&quot;alt&quot;:null,&quot;title&quot;:null,&quot;type&quot;:&quot;image/png&quot;,&quot;href&quot;:null,&quot;belowTheFold&quot;:true,&quot;topImage&quot;:false,&quot;internalRedirect&quot;:null,&quot;isProcessing&quot;:false,&quot;align&quot;:null,&quot;offset&quot;:false}" class="sizing-normal" alt="" srcset="https://substackcdn.com/image/fetch/$s_!oyhN!,w_424,c_limit,f_auto,q_auto:good,fl_progressive:steep/https%3A%2F%2Fsubstack-post-media.s3.amazonaws.com%2Fpublic%2Fimages%2F533a7b05-3a4e-4834-99c1-0f972a3b0fb3_616x176.png 424w, https://substackcdn.com/image/fetch/$s_!oyhN!,w_848,c_limit,f_auto,q_auto:good,fl_progressive:steep/https%3A%2F%2Fsubstack-post-media.s3.amazonaws.com%2Fpublic%2Fimages%2F533a7b05-3a4e-4834-99c1-0f972a3b0fb3_616x176.png 848w, https://substackcdn.com/image/fetch/$s_!oyhN!,w_1272,c_limit,f_auto,q_auto:good,fl_progressive:steep/https%3A%2F%2Fsubstack-post-media.s3.amazonaws.com%2Fpublic%2Fimages%2F533a7b05-3a4e-4834-99c1-0f972a3b0fb3_616x176.png 1272w, https://substackcdn.com/image/fetch/$s_!oyhN!,w_1456,c_limit,f_auto,q_auto:good,fl_progressive:steep/https%3A%2F%2Fsubstack-post-media.s3.amazonaws.com%2Fpublic%2Fimages%2F533a7b05-3a4e-4834-99c1-0f972a3b0fb3_616x176.png 1456w" sizes="100vw" loading="lazy"></picture><div></div></div></a><figcaption class="image-caption">Table 2: Projected thaw depths under the CRCOP pipeline based on model tests.</figcaption></figure></div><h3>Solution: Self-Regulating Heating Cables</h3><p>To counteract the freeze-thaw effects, <strong>self-regulating heating cables</strong> offer a proactive solution. These cables automatically adjust heat output depending on environmental temperatures, thereby stabilizing soil temperatures around the pipeline. When oil temperatures drop, the heating cables increase output to prevent freezing; when oil temperatures rise, they reduce heat output, conserving energy. This thermal control mitigates frost heave by limiting freeze-thaw cycles, stabilizing the soil, and preventing vertical displacement and stress on the pipeline. Self-regulating heating cables were specifically deployed in <strong>permafrost-affected segments</strong>, particularly in areas where the pipeline was vulnerable to <strong>freeze-thaw cycles</strong>. These cables were concentrated in sections where the soil surrounding the pipeline was most susceptible to severe temperature fluctuations, especially near river crossings, marsh areas, and regions with high ice content in the soil.</p><p>These installations targeted:</p><ol><li><p><strong>Above-Ground Segments</strong>: Self-regulating cables were applied where the pipeline emerged above ground, typically near critical infrastructure nodes like pumping stations, which required additional protection against frost damage.</p></li><li><p><strong>Shallow-Buried Sections</strong>: The pipeline's shallow-buried segments in marsh and wetland areas received these cables to prevent the formation of frost heave, which could cause significant vertical displacement.</p></li><li><p><strong>Transition Zones</strong>: These cables were also used in transition areas where the pipeline moved from permafrost to non-permafrost zones. This ensured a gradual change in soil temperature, minimizing differential settlement issues that arise due to abrupt freeze-thaw transitions.</p></li></ol><h3>Case Application: CRCOP&#8217;s Cold-Climate Solution</h3><p>In the CRCOP, self-regulating heating cables could maintain stable soil temperatures, reducing frost heave impacts and preventing the formation of extensive thaw (melting) zones. This approach, especially effective in testing temperatures from -6&#176;C to +25&#176;C, could sustain consistent heat distribution, limiting excessive freezing and thawing (melting) in the surrounding permafrost. This solution enhances pipeline safety by addressing differential settlement and thawing depth, critical in maintaining CRCOP&#8217;s structural integrity in permafrost region.</p><div><hr></div><h2>Case Study 2 : Waxy Oil Transport Challenges In Mangala Development Pipeline (MDPL) Project in India</h2><h3>Problem: Waxy Crude Oil Transport</h3><p>The <strong>Mangala Development Pipeline (MDPL)</strong> project in India faced a critical challenge: transporting waxy crude oil from Rajasthan to Gujarat, a distance of <strong>600 km</strong>. The crude oil had a high wax content (up to <strong>38%</strong>) and a Wax Appearance Temperature (WAT) between <strong>50&#176;C and 65&#176;C</strong>, making it solidify at ambient temperatures. If the temperature dropped below the pour point of <strong>32-42&#176;C</strong>, the oil would gel, making transportation impossible without continuous heating.</p><div class="captioned-image-container"><figure><a class="image-link image2" target="_blank" href="https://substackcdn.com/image/fetch/$s_!ot_J!,f_auto,q_auto:good,fl_progressive:steep/https%3A%2F%2Fsubstack-post-media.s3.amazonaws.com%2Fpublic%2Fimages%2Fe2c2b97d-1c57-47db-a645-08ce36d4f429_500x201.png" data-component-name="Image2ToDOM"><div class="image2-inset"><picture><source type="image/webp" srcset="https://substackcdn.com/image/fetch/$s_!ot_J!,w_424,c_limit,f_webp,q_auto:good,fl_progressive:steep/https%3A%2F%2Fsubstack-post-media.s3.amazonaws.com%2Fpublic%2Fimages%2Fe2c2b97d-1c57-47db-a645-08ce36d4f429_500x201.png 424w, https://substackcdn.com/image/fetch/$s_!ot_J!,w_848,c_limit,f_webp,q_auto:good,fl_progressive:steep/https%3A%2F%2Fsubstack-post-media.s3.amazonaws.com%2Fpublic%2Fimages%2Fe2c2b97d-1c57-47db-a645-08ce36d4f429_500x201.png 848w, https://substackcdn.com/image/fetch/$s_!ot_J!,w_1272,c_limit,f_webp,q_auto:good,fl_progressive:steep/https%3A%2F%2Fsubstack-post-media.s3.amazonaws.com%2Fpublic%2Fimages%2Fe2c2b97d-1c57-47db-a645-08ce36d4f429_500x201.png 1272w, https://substackcdn.com/image/fetch/$s_!ot_J!,w_1456,c_limit,f_webp,q_auto:good,fl_progressive:steep/https%3A%2F%2Fsubstack-post-media.s3.amazonaws.com%2Fpublic%2Fimages%2Fe2c2b97d-1c57-47db-a645-08ce36d4f429_500x201.png 1456w" sizes="100vw"><img src="https://substackcdn.com/image/fetch/$s_!ot_J!,w_1456,c_limit,f_auto,q_auto:good,fl_progressive:steep/https%3A%2F%2Fsubstack-post-media.s3.amazonaws.com%2Fpublic%2Fimages%2Fe2c2b97d-1c57-47db-a645-08ce36d4f429_500x201.png" width="500" height="201" data-attrs="{&quot;src&quot;:&quot;https://substack-post-media.s3.amazonaws.com/public/images/e2c2b97d-1c57-47db-a645-08ce36d4f429_500x201.png&quot;,&quot;srcNoWatermark&quot;:null,&quot;fullscreen&quot;:null,&quot;imageSize&quot;:null,&quot;height&quot;:201,&quot;width&quot;:500,&quot;resizeWidth&quot;:null,&quot;bytes&quot;:230493,&quot;alt&quot;:null,&quot;title&quot;:null,&quot;type&quot;:&quot;image/png&quot;,&quot;href&quot;:null,&quot;belowTheFold&quot;:true,&quot;topImage&quot;:false,&quot;internalRedirect&quot;:null,&quot;isProcessing&quot;:false,&quot;align&quot;:null,&quot;offset&quot;:false}" class="sizing-normal" alt="" srcset="https://substackcdn.com/image/fetch/$s_!ot_J!,w_424,c_limit,f_auto,q_auto:good,fl_progressive:steep/https%3A%2F%2Fsubstack-post-media.s3.amazonaws.com%2Fpublic%2Fimages%2Fe2c2b97d-1c57-47db-a645-08ce36d4f429_500x201.png 424w, https://substackcdn.com/image/fetch/$s_!ot_J!,w_848,c_limit,f_auto,q_auto:good,fl_progressive:steep/https%3A%2F%2Fsubstack-post-media.s3.amazonaws.com%2Fpublic%2Fimages%2Fe2c2b97d-1c57-47db-a645-08ce36d4f429_500x201.png 848w, https://substackcdn.com/image/fetch/$s_!ot_J!,w_1272,c_limit,f_auto,q_auto:good,fl_progressive:steep/https%3A%2F%2Fsubstack-post-media.s3.amazonaws.com%2Fpublic%2Fimages%2Fe2c2b97d-1c57-47db-a645-08ce36d4f429_500x201.png 1272w, https://substackcdn.com/image/fetch/$s_!ot_J!,w_1456,c_limit,f_auto,q_auto:good,fl_progressive:steep/https%3A%2F%2Fsubstack-post-media.s3.amazonaws.com%2Fpublic%2Fimages%2Fe2c2b97d-1c57-47db-a645-08ce36d4f429_500x201.png 1456w" sizes="100vw" loading="lazy"></picture><div></div></div></a></figure></div><h3>Solution: Heat Tracing System</h3><p>To address this challenge, a comprehensive heating system was deployed, primarily relying on the <strong>Skin Effect Heat Management System (SEHMS)</strong> for long stretches of the pipeline. However, in areas where SEHMS was impractical&#8212;such as short, above-ground pipeline segments at the 36 pumping and heating stations&#8212;<strong>Self-Regulating Heating Cables (SRHC)</strong> were strategically implemented to supplement heating.</p><h3>Usage of Self-Regulating Heating Cables in Above-Ground Segments</h3><p>In the MDPL project, SRHCs were crucial for ensuring temperature control in <strong>above-ground sections</strong> at stations located approximately every 20 km along the route. These stations required localized heating due to environmental exposure and potential heat loss, which could lead to cooling below the WAT if not addressed. The SRHCs provided an effective solution for these shorter segments, where they could adjust their output according to ambient temperature, providing more heat in colder conditions and less in warmer ones.</p><div class="captioned-image-container"><figure><a class="image-link image2 is-viewable-img" target="_blank" href="https://substackcdn.com/image/fetch/$s_!mhBT!,f_auto,q_auto:good,fl_progressive:steep/https%3A%2F%2Fsubstack-post-media.s3.amazonaws.com%2Fpublic%2Fimages%2Fe3f6013e-d672-4379-8e02-f8502c3a8953_476x480.jpeg" data-component-name="Image2ToDOM"><div class="image2-inset"><picture><source type="image/webp" srcset="https://substackcdn.com/image/fetch/$s_!mhBT!,w_424,c_limit,f_webp,q_auto:good,fl_progressive:steep/https%3A%2F%2Fsubstack-post-media.s3.amazonaws.com%2Fpublic%2Fimages%2Fe3f6013e-d672-4379-8e02-f8502c3a8953_476x480.jpeg 424w, https://substackcdn.com/image/fetch/$s_!mhBT!,w_848,c_limit,f_webp,q_auto:good,fl_progressive:steep/https%3A%2F%2Fsubstack-post-media.s3.amazonaws.com%2Fpublic%2Fimages%2Fe3f6013e-d672-4379-8e02-f8502c3a8953_476x480.jpeg 848w, https://substackcdn.com/image/fetch/$s_!mhBT!,w_1272,c_limit,f_webp,q_auto:good,fl_progressive:steep/https%3A%2F%2Fsubstack-post-media.s3.amazonaws.com%2Fpublic%2Fimages%2Fe3f6013e-d672-4379-8e02-f8502c3a8953_476x480.jpeg 1272w, https://substackcdn.com/image/fetch/$s_!mhBT!,w_1456,c_limit,f_webp,q_auto:good,fl_progressive:steep/https%3A%2F%2Fsubstack-post-media.s3.amazonaws.com%2Fpublic%2Fimages%2Fe3f6013e-d672-4379-8e02-f8502c3a8953_476x480.jpeg 1456w" sizes="100vw"><img src="https://substackcdn.com/image/fetch/$s_!mhBT!,w_1456,c_limit,f_auto,q_auto:good,fl_progressive:steep/https%3A%2F%2Fsubstack-post-media.s3.amazonaws.com%2Fpublic%2Fimages%2Fe3f6013e-d672-4379-8e02-f8502c3a8953_476x480.jpeg" width="476" height="480" data-attrs="{&quot;src&quot;:&quot;https://substack-post-media.s3.amazonaws.com/public/images/e3f6013e-d672-4379-8e02-f8502c3a8953_476x480.jpeg&quot;,&quot;srcNoWatermark&quot;:null,&quot;fullscreen&quot;:null,&quot;imageSize&quot;:null,&quot;height&quot;:480,&quot;width&quot;:476,&quot;resizeWidth&quot;:null,&quot;bytes&quot;:43656,&quot;alt&quot;:null,&quot;title&quot;:null,&quot;type&quot;:&quot;image/jpeg&quot;,&quot;href&quot;:null,&quot;belowTheFold&quot;:true,&quot;topImage&quot;:false,&quot;internalRedirect&quot;:null,&quot;isProcessing&quot;:false,&quot;align&quot;:null,&quot;offset&quot;:false}" class="sizing-normal" alt="" srcset="https://substackcdn.com/image/fetch/$s_!mhBT!,w_424,c_limit,f_auto,q_auto:good,fl_progressive:steep/https%3A%2F%2Fsubstack-post-media.s3.amazonaws.com%2Fpublic%2Fimages%2Fe3f6013e-d672-4379-8e02-f8502c3a8953_476x480.jpeg 424w, https://substackcdn.com/image/fetch/$s_!mhBT!,w_848,c_limit,f_auto,q_auto:good,fl_progressive:steep/https%3A%2F%2Fsubstack-post-media.s3.amazonaws.com%2Fpublic%2Fimages%2Fe3f6013e-d672-4379-8e02-f8502c3a8953_476x480.jpeg 848w, https://substackcdn.com/image/fetch/$s_!mhBT!,w_1272,c_limit,f_auto,q_auto:good,fl_progressive:steep/https%3A%2F%2Fsubstack-post-media.s3.amazonaws.com%2Fpublic%2Fimages%2Fe3f6013e-d672-4379-8e02-f8502c3a8953_476x480.jpeg 1272w, https://substackcdn.com/image/fetch/$s_!mhBT!,w_1456,c_limit,f_auto,q_auto:good,fl_progressive:steep/https%3A%2F%2Fsubstack-post-media.s3.amazonaws.com%2Fpublic%2Fimages%2Fe3f6013e-d672-4379-8e02-f8502c3a8953_476x480.jpeg 1456w" sizes="100vw" loading="lazy"></picture><div class="image-link-expand"><div class="pencraft pc-display-flex pc-gap-8 pc-reset"><button tabindex="0" type="button" class="pencraft pc-reset pencraft icon-container restack-image"><svg role="img" width="20" height="20" viewBox="0 0 20 20" fill="none" stroke-width="1.5" stroke="var(--color-fg-primary)" stroke-linecap="round" stroke-linejoin="round" xmlns="http://www.w3.org/2000/svg"><g><title></title><path d="M2.53001 7.81595C3.49179 4.73911 6.43281 2.5 9.91173 2.5C13.1684 2.5 15.9537 4.46214 17.0852 7.23684L17.6179 8.67647M17.6179 8.67647L18.5002 4.26471M17.6179 8.67647L13.6473 6.91176M17.4995 12.1841C16.5378 15.2609 13.5967 17.5 10.1178 17.5C6.86118 17.5 4.07589 15.5379 2.94432 12.7632L2.41165 11.3235M2.41165 11.3235L1.5293 15.7353M2.41165 11.3235L6.38224 13.0882"></path></g></svg></button><button tabindex="0" type="button" class="pencraft pc-reset pencraft icon-container view-image"><svg xmlns="http://www.w3.org/2000/svg" width="20" height="20" viewBox="0 0 24 24" fill="none" stroke="currentColor" stroke-width="2" stroke-linecap="round" stroke-linejoin="round" class="lucide lucide-maximize2 lucide-maximize-2"><polyline points="15 3 21 3 21 9"></polyline><polyline points="9 21 3 21 3 15"></polyline><line x1="21" x2="14" y1="3" y2="10"></line><line x1="3" x2="10" y1="21" y2="14"></line></svg></button></div></div></div></a><figcaption class="image-caption">Figure: Self Regulating Heating Cables</figcaption></figure></div><div class="captioned-image-container"><figure><a class="image-link image2 is-viewable-img" target="_blank" href="https://substackcdn.com/image/fetch/$s_!3Rl8!,f_auto,q_auto:good,fl_progressive:steep/https%3A%2F%2Fsubstack-post-media.s3.amazonaws.com%2Fpublic%2Fimages%2F1bcff0a0-5db8-4b3a-9f7a-43bf9efea195_510x382.png" data-component-name="Image2ToDOM"><div class="image2-inset"><picture><source type="image/webp" srcset="https://substackcdn.com/image/fetch/$s_!3Rl8!,w_424,c_limit,f_webp,q_auto:good,fl_progressive:steep/https%3A%2F%2Fsubstack-post-media.s3.amazonaws.com%2Fpublic%2Fimages%2F1bcff0a0-5db8-4b3a-9f7a-43bf9efea195_510x382.png 424w, https://substackcdn.com/image/fetch/$s_!3Rl8!,w_848,c_limit,f_webp,q_auto:good,fl_progressive:steep/https%3A%2F%2Fsubstack-post-media.s3.amazonaws.com%2Fpublic%2Fimages%2F1bcff0a0-5db8-4b3a-9f7a-43bf9efea195_510x382.png 848w, https://substackcdn.com/image/fetch/$s_!3Rl8!,w_1272,c_limit,f_webp,q_auto:good,fl_progressive:steep/https%3A%2F%2Fsubstack-post-media.s3.amazonaws.com%2Fpublic%2Fimages%2F1bcff0a0-5db8-4b3a-9f7a-43bf9efea195_510x382.png 1272w, https://substackcdn.com/image/fetch/$s_!3Rl8!,w_1456,c_limit,f_webp,q_auto:good,fl_progressive:steep/https%3A%2F%2Fsubstack-post-media.s3.amazonaws.com%2Fpublic%2Fimages%2F1bcff0a0-5db8-4b3a-9f7a-43bf9efea195_510x382.png 1456w" sizes="100vw"><img src="https://substackcdn.com/image/fetch/$s_!3Rl8!,w_1456,c_limit,f_auto,q_auto:good,fl_progressive:steep/https%3A%2F%2Fsubstack-post-media.s3.amazonaws.com%2Fpublic%2Fimages%2F1bcff0a0-5db8-4b3a-9f7a-43bf9efea195_510x382.png" width="510" height="382" data-attrs="{&quot;src&quot;:&quot;https://substack-post-media.s3.amazonaws.com/public/images/1bcff0a0-5db8-4b3a-9f7a-43bf9efea195_510x382.png&quot;,&quot;srcNoWatermark&quot;:null,&quot;fullscreen&quot;:null,&quot;imageSize&quot;:null,&quot;height&quot;:382,&quot;width&quot;:510,&quot;resizeWidth&quot;:null,&quot;bytes&quot;:390420,&quot;alt&quot;:null,&quot;title&quot;:null,&quot;type&quot;:&quot;image/png&quot;,&quot;href&quot;:null,&quot;belowTheFold&quot;:true,&quot;topImage&quot;:false,&quot;internalRedirect&quot;:null,&quot;isProcessing&quot;:false,&quot;align&quot;:null,&quot;offset&quot;:false}" class="sizing-normal" alt="" srcset="https://substackcdn.com/image/fetch/$s_!3Rl8!,w_424,c_limit,f_auto,q_auto:good,fl_progressive:steep/https%3A%2F%2Fsubstack-post-media.s3.amazonaws.com%2Fpublic%2Fimages%2F1bcff0a0-5db8-4b3a-9f7a-43bf9efea195_510x382.png 424w, https://substackcdn.com/image/fetch/$s_!3Rl8!,w_848,c_limit,f_auto,q_auto:good,fl_progressive:steep/https%3A%2F%2Fsubstack-post-media.s3.amazonaws.com%2Fpublic%2Fimages%2F1bcff0a0-5db8-4b3a-9f7a-43bf9efea195_510x382.png 848w, https://substackcdn.com/image/fetch/$s_!3Rl8!,w_1272,c_limit,f_auto,q_auto:good,fl_progressive:steep/https%3A%2F%2Fsubstack-post-media.s3.amazonaws.com%2Fpublic%2Fimages%2F1bcff0a0-5db8-4b3a-9f7a-43bf9efea195_510x382.png 1272w, https://substackcdn.com/image/fetch/$s_!3Rl8!,w_1456,c_limit,f_auto,q_auto:good,fl_progressive:steep/https%3A%2F%2Fsubstack-post-media.s3.amazonaws.com%2Fpublic%2Fimages%2F1bcff0a0-5db8-4b3a-9f7a-43bf9efea195_510x382.png 1456w" sizes="100vw" loading="lazy"></picture><div class="image-link-expand"><div class="pencraft pc-display-flex pc-gap-8 pc-reset"><button tabindex="0" type="button" class="pencraft pc-reset pencraft icon-container restack-image"><svg role="img" width="20" height="20" viewBox="0 0 20 20" fill="none" stroke-width="1.5" stroke="var(--color-fg-primary)" stroke-linecap="round" stroke-linejoin="round" xmlns="http://www.w3.org/2000/svg"><g><title></title><path d="M2.53001 7.81595C3.49179 4.73911 6.43281 2.5 9.91173 2.5C13.1684 2.5 15.9537 4.46214 17.0852 7.23684L17.6179 8.67647M17.6179 8.67647L18.5002 4.26471M17.6179 8.67647L13.6473 6.91176M17.4995 12.1841C16.5378 15.2609 13.5967 17.5 10.1178 17.5C6.86118 17.5 4.07589 15.5379 2.94432 12.7632L2.41165 11.3235M2.41165 11.3235L1.5293 15.7353M2.41165 11.3235L6.38224 13.0882"></path></g></svg></button><button tabindex="0" type="button" class="pencraft pc-reset pencraft icon-container view-image"><svg xmlns="http://www.w3.org/2000/svg" width="20" height="20" viewBox="0 0 24 24" fill="none" stroke="currentColor" stroke-width="2" stroke-linecap="round" stroke-linejoin="round" class="lucide lucide-maximize2 lucide-maximize-2"><polyline points="15 3 21 3 21 9"></polyline><polyline points="9 21 3 21 3 15"></polyline><line x1="21" x2="14" y1="3" y2="10"></line><line x1="3" x2="10" y1="21" y2="14"></line></svg></button></div></div></div></a><figcaption class="image-caption">Figure: Concrete coated insulated pipe</figcaption></figure></div><div><hr></div><h3>Results and Success</h3><p>The project was a resounding success, becoming the <strong>world's longest heated pipeline</strong> at the time. The combination of heating and insulation enabled the safe and reliable transport of <strong>200,000 barrels of oil per day</strong>, with a pipeline availability rate of <strong>99%</strong> over the first three years. The innovative use of SEHMS technology and self-regulating heating cables proved to be crucial in solving the transportation challenges posed by the waxy crude.</p><p>This approach highlights the adaptability and reliability of self-regulating heating cables in scenarios where short-range, temperature-sensitive heating is needed to support uninterrupted pipeline operations in the oil and gas industry.</p><div><hr></div><h2>Freeze Protection System on a North Sea Offshore Platform</h2><h3>Background</h3><p>An offshore platform located in the North Sea operates in extreme weather conditions, where winter temperatures frequently drop to -20&#176;C. These sub-zero temperatures put various systems at risk of freezing, posing operational and safety challenges.</p><h3>Problem: Susceptibility to Freezing</h3><p>Essential systems on the platform, particularly piping networks, faced risks from extreme cold:</p><ul><li><p><strong>Freezing of Pipes:</strong> In such temperatures, water and other liquids in pipes are likely to freeze, compromising system functionality.</p></li><li><p><strong>Operational Reliability:</strong> The risk of freeze-related failures in remote and harsh environments poses significant safety and operational concerns.</p></li></ul><h3>Solution: Self-Regulating Heating Cables</h3><p>To mitigate freezing, <strong>nVent RAYCHEM self-regulating heating cables</strong> and the NGC-30 multi-circuit control and monitoring system were installed. This setup included:</p><ul><li><p><strong>Temperature Control:</strong> The self-regulating heating cables adjust their output based on ambient temperature, maintaining pipes above freezing even in extreme cold.</p></li><li><p><strong>Monitoring and Control:</strong> The NGC-30 system provides remote monitoring and control, ensuring energy-efficient operation by activating the heating only as needed.</p></li></ul><div class="captioned-image-container"><figure><a class="image-link image2 is-viewable-img" target="_blank" href="https://substackcdn.com/image/fetch/$s_!p7OF!,f_auto,q_auto:good,fl_progressive:steep/https%3A%2F%2Fsubstack-post-media.s3.amazonaws.com%2Fpublic%2Fimages%2Fe34b26c9-c913-4bf2-83b5-9b3d296038d8_1200x900.png" data-component-name="Image2ToDOM"><div class="image2-inset"><picture><source type="image/webp" srcset="https://substackcdn.com/image/fetch/$s_!p7OF!,w_424,c_limit,f_webp,q_auto:good,fl_progressive:steep/https%3A%2F%2Fsubstack-post-media.s3.amazonaws.com%2Fpublic%2Fimages%2Fe34b26c9-c913-4bf2-83b5-9b3d296038d8_1200x900.png 424w, https://substackcdn.com/image/fetch/$s_!p7OF!,w_848,c_limit,f_webp,q_auto:good,fl_progressive:steep/https%3A%2F%2Fsubstack-post-media.s3.amazonaws.com%2Fpublic%2Fimages%2Fe34b26c9-c913-4bf2-83b5-9b3d296038d8_1200x900.png 848w, https://substackcdn.com/image/fetch/$s_!p7OF!,w_1272,c_limit,f_webp,q_auto:good,fl_progressive:steep/https%3A%2F%2Fsubstack-post-media.s3.amazonaws.com%2Fpublic%2Fimages%2Fe34b26c9-c913-4bf2-83b5-9b3d296038d8_1200x900.png 1272w, https://substackcdn.com/image/fetch/$s_!p7OF!,w_1456,c_limit,f_webp,q_auto:good,fl_progressive:steep/https%3A%2F%2Fsubstack-post-media.s3.amazonaws.com%2Fpublic%2Fimages%2Fe34b26c9-c913-4bf2-83b5-9b3d296038d8_1200x900.png 1456w" sizes="100vw"><img src="https://substackcdn.com/image/fetch/$s_!p7OF!,w_1456,c_limit,f_auto,q_auto:good,fl_progressive:steep/https%3A%2F%2Fsubstack-post-media.s3.amazonaws.com%2Fpublic%2Fimages%2Fe34b26c9-c913-4bf2-83b5-9b3d296038d8_1200x900.png" width="1200" height="900" data-attrs="{&quot;src&quot;:&quot;https://substack-post-media.s3.amazonaws.com/public/images/e34b26c9-c913-4bf2-83b5-9b3d296038d8_1200x900.png&quot;,&quot;srcNoWatermark&quot;:null,&quot;fullscreen&quot;:null,&quot;imageSize&quot;:null,&quot;height&quot;:900,&quot;width&quot;:1200,&quot;resizeWidth&quot;:null,&quot;bytes&quot;:1600765,&quot;alt&quot;:null,&quot;title&quot;:null,&quot;type&quot;:&quot;image/png&quot;,&quot;href&quot;:null,&quot;belowTheFold&quot;:true,&quot;topImage&quot;:false,&quot;internalRedirect&quot;:null,&quot;isProcessing&quot;:false,&quot;align&quot;:null,&quot;offset&quot;:false}" class="sizing-normal" alt="" srcset="https://substackcdn.com/image/fetch/$s_!p7OF!,w_424,c_limit,f_auto,q_auto:good,fl_progressive:steep/https%3A%2F%2Fsubstack-post-media.s3.amazonaws.com%2Fpublic%2Fimages%2Fe34b26c9-c913-4bf2-83b5-9b3d296038d8_1200x900.png 424w, https://substackcdn.com/image/fetch/$s_!p7OF!,w_848,c_limit,f_auto,q_auto:good,fl_progressive:steep/https%3A%2F%2Fsubstack-post-media.s3.amazonaws.com%2Fpublic%2Fimages%2Fe34b26c9-c913-4bf2-83b5-9b3d296038d8_1200x900.png 848w, https://substackcdn.com/image/fetch/$s_!p7OF!,w_1272,c_limit,f_auto,q_auto:good,fl_progressive:steep/https%3A%2F%2Fsubstack-post-media.s3.amazonaws.com%2Fpublic%2Fimages%2Fe34b26c9-c913-4bf2-83b5-9b3d296038d8_1200x900.png 1272w, https://substackcdn.com/image/fetch/$s_!p7OF!,w_1456,c_limit,f_auto,q_auto:good,fl_progressive:steep/https%3A%2F%2Fsubstack-post-media.s3.amazonaws.com%2Fpublic%2Fimages%2Fe34b26c9-c913-4bf2-83b5-9b3d296038d8_1200x900.png 1456w" sizes="100vw" loading="lazy"></picture><div class="image-link-expand"><div class="pencraft pc-display-flex pc-gap-8 pc-reset"><button tabindex="0" type="button" class="pencraft pc-reset pencraft icon-container restack-image"><svg role="img" width="20" height="20" viewBox="0 0 20 20" fill="none" stroke-width="1.5" stroke="var(--color-fg-primary)" stroke-linecap="round" stroke-linejoin="round" xmlns="http://www.w3.org/2000/svg"><g><title></title><path d="M2.53001 7.81595C3.49179 4.73911 6.43281 2.5 9.91173 2.5C13.1684 2.5 15.9537 4.46214 17.0852 7.23684L17.6179 8.67647M17.6179 8.67647L18.5002 4.26471M17.6179 8.67647L13.6473 6.91176M17.4995 12.1841C16.5378 15.2609 13.5967 17.5 10.1178 17.5C6.86118 17.5 4.07589 15.5379 2.94432 12.7632L2.41165 11.3235M2.41165 11.3235L1.5293 15.7353M2.41165 11.3235L6.38224 13.0882"></path></g></svg></button><button tabindex="0" type="button" class="pencraft pc-reset pencraft icon-container view-image"><svg xmlns="http://www.w3.org/2000/svg" width="20" height="20" viewBox="0 0 24 24" fill="none" stroke="currentColor" stroke-width="2" stroke-linecap="round" stroke-linejoin="round" class="lucide lucide-maximize2 lucide-maximize-2"><polyline points="15 3 21 3 21 9"></polyline><polyline points="9 21 3 21 3 15"></polyline><line x1="21" x2="14" y1="3" y2="10"></line><line x1="3" x2="10" y1="21" y2="14"></line></svg></button></div></div></div></a></figure></div><h3>Data and Results</h3><p>The installation of SR heating cables delivered several benefits:</p><ul><li><p><strong>Temperature Consistency:</strong> Continuous monitoring confirmed that pipe temperatures were kept above freezing, ensuring uninterrupted functionality throughout winter.</p></li><li><p><strong>Energy Efficiency:</strong> The system conserved energy by dynamically adjusting output, reducing power consumption compared to constant-output systems.</p></li><li><p><strong>Enhanced Reliability:</strong> Freeze protection ensured operational reliability, reducing risks associated with frozen systems.</p></li></ul><h3>Outcome</h3><p>The freeze protection system enhanced the platform&#8217;s resilience and operational efficiency, demonstrating the effectiveness of advanced heating solutions in maintaining safety and reliability in challenging offshore environments.</p><div><hr></div><h2>Freezing and Structural Integrity in LNG Tank Concrete Structures</h2><h3>Problem: Structural Challenges in LNG Tanks</h3><p>In offshore LNG (Liquefied Natural Gas) tanks, the extreme cryogenic conditions (-165&#176;C for LNG storage) pose significant challenges to the surrounding concrete structures. These temperatures can lead to frost formation in the concrete base slab and walls, causing frost heave, cracking, and loss of structural integrity. This is particularly concerning for <strong>Gravity Based Structures (GBS)</strong>, where the concrete foundation supports the weight of massive LNG tanks.</p><h3>Solution: Self-Regulating Heating Cables</h3><p><strong>Self-regulating heating cables</strong> provide an effective solution by maintaining stable temperatures in the concrete structure. Embedded within the base slab and walls, these cables adjust their heat output automatically based on the surrounding conditions, preventing frost formation while ensuring that energy is used efficiently.</p><p>The cables operate as follows:</p><ol><li><p><strong>Embedded Installation</strong>: The heating cables are installed in ducts or tubes within the concrete walls and base slab. This design ensures that the entire surface is evenly heated, preventing any localized freezing points.</p></li><li><p><strong>Temperature Control</strong>: Self-regulating cables adjust their power output based on the temperature of the surrounding material. This feature is crucial for structures with varying temperatures, such as submerged parts of the GBS (exposed to cold seawater) and sections above water exposed to ambient air.</p></li><li><p><strong>Redundancy</strong>: The heating system is designed with redundancy, meaning that if one cable fails, the adjacent circuits continue functioning, preventing the temperature from dropping below critical levels.</p><p></p></li></ol><div class="captioned-image-container"><figure><a class="image-link image2 is-viewable-img" target="_blank" href="https://substackcdn.com/image/fetch/$s_!Ssnq!,f_auto,q_auto:good,fl_progressive:steep/https%3A%2F%2Fsubstack-post-media.s3.amazonaws.com%2Fpublic%2Fimages%2Ffbe96ea6-e728-4cd3-80a3-d1d677c8194e_576x384.png" data-component-name="Image2ToDOM"><div class="image2-inset"><picture><source type="image/webp" srcset="https://substackcdn.com/image/fetch/$s_!Ssnq!,w_424,c_limit,f_webp,q_auto:good,fl_progressive:steep/https%3A%2F%2Fsubstack-post-media.s3.amazonaws.com%2Fpublic%2Fimages%2Ffbe96ea6-e728-4cd3-80a3-d1d677c8194e_576x384.png 424w, https://substackcdn.com/image/fetch/$s_!Ssnq!,w_848,c_limit,f_webp,q_auto:good,fl_progressive:steep/https%3A%2F%2Fsubstack-post-media.s3.amazonaws.com%2Fpublic%2Fimages%2Ffbe96ea6-e728-4cd3-80a3-d1d677c8194e_576x384.png 848w, https://substackcdn.com/image/fetch/$s_!Ssnq!,w_1272,c_limit,f_webp,q_auto:good,fl_progressive:steep/https%3A%2F%2Fsubstack-post-media.s3.amazonaws.com%2Fpublic%2Fimages%2Ffbe96ea6-e728-4cd3-80a3-d1d677c8194e_576x384.png 1272w, https://substackcdn.com/image/fetch/$s_!Ssnq!,w_1456,c_limit,f_webp,q_auto:good,fl_progressive:steep/https%3A%2F%2Fsubstack-post-media.s3.amazonaws.com%2Fpublic%2Fimages%2Ffbe96ea6-e728-4cd3-80a3-d1d677c8194e_576x384.png 1456w" sizes="100vw"><img src="https://substackcdn.com/image/fetch/$s_!Ssnq!,w_1456,c_limit,f_auto,q_auto:good,fl_progressive:steep/https%3A%2F%2Fsubstack-post-media.s3.amazonaws.com%2Fpublic%2Fimages%2Ffbe96ea6-e728-4cd3-80a3-d1d677c8194e_576x384.png" width="576" height="384" data-attrs="{&quot;src&quot;:&quot;https://substack-post-media.s3.amazonaws.com/public/images/fbe96ea6-e728-4cd3-80a3-d1d677c8194e_576x384.png&quot;,&quot;srcNoWatermark&quot;:null,&quot;fullscreen&quot;:null,&quot;imageSize&quot;:null,&quot;height&quot;:384,&quot;width&quot;:576,&quot;resizeWidth&quot;:null,&quot;bytes&quot;:352245,&quot;alt&quot;:null,&quot;title&quot;:null,&quot;type&quot;:&quot;image/png&quot;,&quot;href&quot;:null,&quot;belowTheFold&quot;:true,&quot;topImage&quot;:false,&quot;internalRedirect&quot;:null,&quot;isProcessing&quot;:false,&quot;align&quot;:null,&quot;offset&quot;:false}" class="sizing-normal" alt="" srcset="https://substackcdn.com/image/fetch/$s_!Ssnq!,w_424,c_limit,f_auto,q_auto:good,fl_progressive:steep/https%3A%2F%2Fsubstack-post-media.s3.amazonaws.com%2Fpublic%2Fimages%2Ffbe96ea6-e728-4cd3-80a3-d1d677c8194e_576x384.png 424w, https://substackcdn.com/image/fetch/$s_!Ssnq!,w_848,c_limit,f_auto,q_auto:good,fl_progressive:steep/https%3A%2F%2Fsubstack-post-media.s3.amazonaws.com%2Fpublic%2Fimages%2Ffbe96ea6-e728-4cd3-80a3-d1d677c8194e_576x384.png 848w, https://substackcdn.com/image/fetch/$s_!Ssnq!,w_1272,c_limit,f_auto,q_auto:good,fl_progressive:steep/https%3A%2F%2Fsubstack-post-media.s3.amazonaws.com%2Fpublic%2Fimages%2Ffbe96ea6-e728-4cd3-80a3-d1d677c8194e_576x384.png 1272w, https://substackcdn.com/image/fetch/$s_!Ssnq!,w_1456,c_limit,f_auto,q_auto:good,fl_progressive:steep/https%3A%2F%2Fsubstack-post-media.s3.amazonaws.com%2Fpublic%2Fimages%2Ffbe96ea6-e728-4cd3-80a3-d1d677c8194e_576x384.png 1456w" sizes="100vw" loading="lazy"></picture><div class="image-link-expand"><div class="pencraft pc-display-flex pc-gap-8 pc-reset"><button tabindex="0" type="button" class="pencraft pc-reset pencraft icon-container restack-image"><svg role="img" width="20" height="20" viewBox="0 0 20 20" fill="none" stroke-width="1.5" stroke="var(--color-fg-primary)" stroke-linecap="round" stroke-linejoin="round" xmlns="http://www.w3.org/2000/svg"><g><title></title><path d="M2.53001 7.81595C3.49179 4.73911 6.43281 2.5 9.91173 2.5C13.1684 2.5 15.9537 4.46214 17.0852 7.23684L17.6179 8.67647M17.6179 8.67647L18.5002 4.26471M17.6179 8.67647L13.6473 6.91176M17.4995 12.1841C16.5378 15.2609 13.5967 17.5 10.1178 17.5C6.86118 17.5 4.07589 15.5379 2.94432 12.7632L2.41165 11.3235M2.41165 11.3235L1.5293 15.7353M2.41165 11.3235L6.38224 13.0882"></path></g></svg></button><button tabindex="0" type="button" class="pencraft pc-reset pencraft icon-container view-image"><svg xmlns="http://www.w3.org/2000/svg" width="20" height="20" viewBox="0 0 24 24" fill="none" stroke="currentColor" stroke-width="2" stroke-linecap="round" stroke-linejoin="round" class="lucide lucide-maximize2 lucide-maximize-2"><polyline points="15 3 21 3 21 9"></polyline><polyline points="9 21 3 21 3 15"></polyline><line x1="21" x2="14" y1="3" y2="10"></line><line x1="3" x2="10" y1="21" y2="14"></line></svg></button></div></div></div></a><figcaption class="image-caption">Figure: LNG Tanks</figcaption></figure></div><h3>Example of Use</h3><p>In a typical installation, the cables are embedded throughout the slab and walls of the concrete structure. <strong>Temperature sensors</strong> are distributed across the structure, feeding data into control panels that adjust the heating system as needed. If a section of the concrete cools below the set point, the cables heat that area, preventing any frost heave or cracks. This targeted heating approach ensures efficient energy use and maintains the integrity of the entire LNG tank structure.</p><h3>Advantages Over Other Heating Methods</h3><p>Compared to traditional <strong>constant wattage heating systems</strong>, self-regulating cables offer significant advantages:</p><ul><li><p><strong>Energy Efficiency</strong>: Because they adjust power output based on real-time temperature data, self-regulating cables only use energy where and when it is needed.</p></li><li><p><strong>Reduced Maintenance</strong>: These cables have a longer lifespan due to their ability to regulate heat automatically, reducing the risk of overheating and cable failure.</p></li><li><p><strong>Simplified Installation</strong>: Self-regulating cables can be cut to length on-site, which simplifies installation in large concrete structures.</p></li></ul><p>This technology ensures that <strong>Gravity Based Structures (GBS)</strong> supporting LNG tanks maintain their structural integrity, preventing costly damages caused by freezing temperatures.</p><div class="captioned-image-container"><figure><a class="image-link image2 is-viewable-img" target="_blank" href="https://substackcdn.com/image/fetch/$s_!TKCp!,f_auto,q_auto:good,fl_progressive:steep/https%3A%2F%2Fsubstack-post-media.s3.amazonaws.com%2Fpublic%2Fimages%2Fabfd34b9-77c2-432d-9b9c-341f01226238_1280x720.jpeg" data-component-name="Image2ToDOM"><div class="image2-inset"><picture><source type="image/webp" srcset="https://substackcdn.com/image/fetch/$s_!TKCp!,w_424,c_limit,f_webp,q_auto:good,fl_progressive:steep/https%3A%2F%2Fsubstack-post-media.s3.amazonaws.com%2Fpublic%2Fimages%2Fabfd34b9-77c2-432d-9b9c-341f01226238_1280x720.jpeg 424w, https://substackcdn.com/image/fetch/$s_!TKCp!,w_848,c_limit,f_webp,q_auto:good,fl_progressive:steep/https%3A%2F%2Fsubstack-post-media.s3.amazonaws.com%2Fpublic%2Fimages%2Fabfd34b9-77c2-432d-9b9c-341f01226238_1280x720.jpeg 848w, https://substackcdn.com/image/fetch/$s_!TKCp!,w_1272,c_limit,f_webp,q_auto:good,fl_progressive:steep/https%3A%2F%2Fsubstack-post-media.s3.amazonaws.com%2Fpublic%2Fimages%2Fabfd34b9-77c2-432d-9b9c-341f01226238_1280x720.jpeg 1272w, https://substackcdn.com/image/fetch/$s_!TKCp!,w_1456,c_limit,f_webp,q_auto:good,fl_progressive:steep/https%3A%2F%2Fsubstack-post-media.s3.amazonaws.com%2Fpublic%2Fimages%2Fabfd34b9-77c2-432d-9b9c-341f01226238_1280x720.jpeg 1456w" sizes="100vw"><img src="https://substackcdn.com/image/fetch/$s_!TKCp!,w_1456,c_limit,f_auto,q_auto:good,fl_progressive:steep/https%3A%2F%2Fsubstack-post-media.s3.amazonaws.com%2Fpublic%2Fimages%2Fabfd34b9-77c2-432d-9b9c-341f01226238_1280x720.jpeg" width="1280" height="720" data-attrs="{&quot;src&quot;:&quot;https://substack-post-media.s3.amazonaws.com/public/images/abfd34b9-77c2-432d-9b9c-341f01226238_1280x720.jpeg&quot;,&quot;srcNoWatermark&quot;:null,&quot;fullscreen&quot;:null,&quot;imageSize&quot;:null,&quot;height&quot;:720,&quot;width&quot;:1280,&quot;resizeWidth&quot;:null,&quot;bytes&quot;:72085,&quot;alt&quot;:null,&quot;title&quot;:null,&quot;type&quot;:&quot;image/jpeg&quot;,&quot;href&quot;:null,&quot;belowTheFold&quot;:true,&quot;topImage&quot;:false,&quot;internalRedirect&quot;:null,&quot;isProcessing&quot;:false,&quot;align&quot;:null,&quot;offset&quot;:false}" class="sizing-normal" alt="" srcset="https://substackcdn.com/image/fetch/$s_!TKCp!,w_424,c_limit,f_auto,q_auto:good,fl_progressive:steep/https%3A%2F%2Fsubstack-post-media.s3.amazonaws.com%2Fpublic%2Fimages%2Fabfd34b9-77c2-432d-9b9c-341f01226238_1280x720.jpeg 424w, https://substackcdn.com/image/fetch/$s_!TKCp!,w_848,c_limit,f_auto,q_auto:good,fl_progressive:steep/https%3A%2F%2Fsubstack-post-media.s3.amazonaws.com%2Fpublic%2Fimages%2Fabfd34b9-77c2-432d-9b9c-341f01226238_1280x720.jpeg 848w, https://substackcdn.com/image/fetch/$s_!TKCp!,w_1272,c_limit,f_auto,q_auto:good,fl_progressive:steep/https%3A%2F%2Fsubstack-post-media.s3.amazonaws.com%2Fpublic%2Fimages%2Fabfd34b9-77c2-432d-9b9c-341f01226238_1280x720.jpeg 1272w, https://substackcdn.com/image/fetch/$s_!TKCp!,w_1456,c_limit,f_auto,q_auto:good,fl_progressive:steep/https%3A%2F%2Fsubstack-post-media.s3.amazonaws.com%2Fpublic%2Fimages%2Fabfd34b9-77c2-432d-9b9c-341f01226238_1280x720.jpeg 1456w" sizes="100vw" loading="lazy"></picture><div class="image-link-expand"><div class="pencraft pc-display-flex pc-gap-8 pc-reset"><button tabindex="0" type="button" class="pencraft pc-reset pencraft icon-container restack-image"><svg role="img" width="20" height="20" viewBox="0 0 20 20" fill="none" stroke-width="1.5" stroke="var(--color-fg-primary)" stroke-linecap="round" stroke-linejoin="round" xmlns="http://www.w3.org/2000/svg"><g><title></title><path d="M2.53001 7.81595C3.49179 4.73911 6.43281 2.5 9.91173 2.5C13.1684 2.5 15.9537 4.46214 17.0852 7.23684L17.6179 8.67647M17.6179 8.67647L18.5002 4.26471M17.6179 8.67647L13.6473 6.91176M17.4995 12.1841C16.5378 15.2609 13.5967 17.5 10.1178 17.5C6.86118 17.5 4.07589 15.5379 2.94432 12.7632L2.41165 11.3235M2.41165 11.3235L1.5293 15.7353M2.41165 11.3235L6.38224 13.0882"></path></g></svg></button><button tabindex="0" type="button" class="pencraft pc-reset pencraft icon-container view-image"><svg xmlns="http://www.w3.org/2000/svg" width="20" height="20" viewBox="0 0 24 24" fill="none" stroke="currentColor" stroke-width="2" stroke-linecap="round" stroke-linejoin="round" class="lucide lucide-maximize2 lucide-maximize-2"><polyline points="15 3 21 3 21 9"></polyline><polyline points="9 21 3 21 3 15"></polyline><line x1="21" x2="14" y1="3" y2="10"></line><line x1="3" x2="10" y1="21" y2="14"></line></svg></button></div></div></div></a><figcaption class="image-caption">Figure: Model of SRHC with Sensor and Controller on the LNG Tank</figcaption></figure></div><div><hr></div><h2>Conclusion</h2><p>Self-regulating heating cables emerge as a critical technology across various applications in the oil and gas industry. From enhancing pipeline integrity in freezing conditions to ensuring reliable waxy oil transport, optimizing heavy oil extraction, and maintaining structural integrity in LNG tanks, these cables provide energy-efficient, cost-effective solutions that significantly enhance operational reliability and safety. The versatility of self-regulating heating cables illustrates their essential role in overcoming the unique challenges faced by the oil and gas sector in extreme conditions. Following is the brief conclusion of what we have seen so far as the applications in of SRHC in Oil and Gas Sector.</p><ol><li><p><strong>Freezing Issues in Oil Pipelines</strong></p><ul><li><p><strong>Problem</strong>: Susceptibility to freezing due to extreme environmental conditions, leading to frost heave and thaw settlement.</p></li><li><p><strong>Feature</strong>: Self-regulating heating cables that automatically adjust their heat output based on surrounding temperatures to prevent freezing.</p></li><li><p><strong>Temperature Range</strong>: -6&#176;C to +25&#176;C (China-Russia Crude Oil Pipeline).</p></li></ul></li><li><p><strong>Waxy Oil Transport Challenges</strong></p><ul><li><p><strong>Problem</strong>: The solidification of waxy crude oil during transportation, making it impossible to flow below the pour point.</p></li><li><p><strong>Feature</strong>: Self-regulating heating cables combined with a skin effect heat management system (SEHMS) to maintain temperatures above the Wax Appearance Temperature (WAT).</p></li><li><p><strong>Temperature Range</strong>: 50&#176;C to 65&#176;C (Mangala Development Pipeline).</p></li></ul></li><li><p><strong>Freeze Protection Systems in Offshore Platforms</strong></p><ul><li><p><strong>Problem</strong>: Freezing of water supply in sprinkler lines.</p></li><li><p><strong>Feature</strong>: Self-regulating heating cables that maintain the pipe temperature within a consistent range, preventing water from freezing.</p></li><li><p><strong>Temperature Range</strong>: 5&#176;C to 10&#176;C (Offshore Oil Platform in Norway).</p></li></ul></li><li><p><strong>Structural Integrity in LNG Tank Concrete Structures</strong></p><ul><li><p><strong>Problem</strong>: Frost formation and potential structural damage due to cryogenic temperatures in LNG tanks.</p></li><li><p><strong>Feature</strong>: Embedded self-regulating heating cables that maintain stable temperatures in the concrete, preventing frost formation.</p></li><li><p><strong>Temperature Range</strong>: -165&#176;C (LNG Tanks).</p><p></p></li></ul></li></ol><div class="subscription-widget-wrap-editor" data-attrs="{&quot;url&quot;:&quot;https://www.precisionnewsletter.com/subscribe?&quot;,&quot;text&quot;:&quot;Subscribe&quot;,&quot;language&quot;:&quot;en&quot;}" data-component-name="SubscribeWidgetToDOM"><div class="subscription-widget show-subscribe"><div class="preamble"><p class="cta-caption">Thanks for reading Precision Newsletter! Subscribe for free to receive new posts and support my work.</p></div><form class="subscription-widget-subscribe"><input type="email" class="email-input" name="email" placeholder="Type your email&#8230;" tabindex="-1"><input type="submit" class="button primary" value="Subscribe"><div class="fake-input-wrapper"><div class="fake-input"></div><div class="fake-button"></div></div></form></div></div>]]></content:encoded></item><item><title><![CDATA[Which Manufacturer’s Self-Regulating Heating Cable is the Best? Comparison of Major Manufacturer's Cable For Low Temperature]]></title><description><![CDATA[In industrial projects that use electrical heat tracing systems, local distributors of well-known self-regulating (SR) heating cable manufacturers&#8212;sometimes the manufacturers themselves&#8212;often participate.]]></description><link>https://www.precisionnewsletter.com/p/which-manufacturers-self-regulating</link><guid isPermaLink="false">https://www.precisionnewsletter.com/p/which-manufacturers-self-regulating</guid><dc:creator><![CDATA[Jinwook Jung]]></dc:creator><pubDate>Fri, 10 Jan 2025 14:15:39 GMT</pubDate><enclosure url="https://substack-post-media.s3.amazonaws.com/public/images/fc85adc9-6130-4d59-a5a5-592224ad70a8_7926x5325.jpeg" length="0" type="image/jpeg"/><content:encoded><![CDATA[<p>In industrial projects that use electrical heat tracing systems, local distributors of well-known self-regulating (SR) heating cable manufacturers&#8212;sometimes the manufacturers themselves&#8212;often participate. SR cables are by far the most popular choice in such projects. But when faced with the task of selecting one among different manufacturers, how do you make the best choice?</p><p>In the following articles, we&#8217;ll compare SR cables from three major manufacturers: Raychem,Thermon, and Chromalox. This comparison will help you determine which option is most suitable for your needs.</p><div class="subscription-widget-wrap-editor" data-attrs="{&quot;url&quot;:&quot;https://www.precisionnewsletter.com/subscribe?&quot;,&quot;text&quot;:&quot;Subscribe&quot;,&quot;language&quot;:&quot;en&quot;}" data-component-name="SubscribeWidgetToDOM"><div class="subscription-widget show-subscribe"><div class="preamble"><p class="cta-caption">Thanks for reading Precision Newsletter! Subscribe for free to receive new posts and support my work.</p></div><form class="subscription-widget-subscribe"><input type="email" class="email-input" name="email" placeholder="Type your email&#8230;" tabindex="-1"><input type="submit" class="button primary" value="Subscribe"><div class="fake-input-wrapper"><div class="fake-input"></div><div class="fake-button"></div></div></form></div></div><p>All the data presented here is sourced from the catalogs and IECEx certificates of each manufacturer.</p><p>We will classify the SR cables into three categories: &#8216;low temperature,&#8217; &#8216;medium temperature,&#8217; and &#8216;high temperature.&#8217; In this article, we will only compare the SR cables for &#8216;low temperature&#8217;.</p><div class="captioned-image-container"><figure><a class="image-link image2" target="_blank" href="https://substackcdn.com/image/fetch/$s_!0_kR!,f_auto,q_auto:good,fl_progressive:steep/https%3A%2F%2Fsubstack-post-media.s3.amazonaws.com%2Fpublic%2Fimages%2F07fd9d46-d9db-47a6-acdc-21237e6fd942_774x156.png" data-component-name="Image2ToDOM"><div class="image2-inset"><picture><source type="image/webp" srcset="https://substackcdn.com/image/fetch/$s_!0_kR!,w_424,c_limit,f_webp,q_auto:good,fl_progressive:steep/https%3A%2F%2Fsubstack-post-media.s3.amazonaws.com%2Fpublic%2Fimages%2F07fd9d46-d9db-47a6-acdc-21237e6fd942_774x156.png 424w, https://substackcdn.com/image/fetch/$s_!0_kR!,w_848,c_limit,f_webp,q_auto:good,fl_progressive:steep/https%3A%2F%2Fsubstack-post-media.s3.amazonaws.com%2Fpublic%2Fimages%2F07fd9d46-d9db-47a6-acdc-21237e6fd942_774x156.png 848w, https://substackcdn.com/image/fetch/$s_!0_kR!,w_1272,c_limit,f_webp,q_auto:good,fl_progressive:steep/https%3A%2F%2Fsubstack-post-media.s3.amazonaws.com%2Fpublic%2Fimages%2F07fd9d46-d9db-47a6-acdc-21237e6fd942_774x156.png 1272w, https://substackcdn.com/image/fetch/$s_!0_kR!,w_1456,c_limit,f_webp,q_auto:good,fl_progressive:steep/https%3A%2F%2Fsubstack-post-media.s3.amazonaws.com%2Fpublic%2Fimages%2F07fd9d46-d9db-47a6-acdc-21237e6fd942_774x156.png 1456w" sizes="100vw"><img src="https://substackcdn.com/image/fetch/$s_!0_kR!,w_1456,c_limit,f_auto,q_auto:good,fl_progressive:steep/https%3A%2F%2Fsubstack-post-media.s3.amazonaws.com%2Fpublic%2Fimages%2F07fd9d46-d9db-47a6-acdc-21237e6fd942_774x156.png" width="774" height="156" data-attrs="{&quot;src&quot;:&quot;https://substack-post-media.s3.amazonaws.com/public/images/07fd9d46-d9db-47a6-acdc-21237e6fd942_774x156.png&quot;,&quot;srcNoWatermark&quot;:null,&quot;fullscreen&quot;:null,&quot;imageSize&quot;:null,&quot;height&quot;:156,&quot;width&quot;:774,&quot;resizeWidth&quot;:null,&quot;bytes&quot;:20483,&quot;alt&quot;:null,&quot;title&quot;:null,&quot;type&quot;:&quot;image/png&quot;,&quot;href&quot;:null,&quot;belowTheFold&quot;:false,&quot;topImage&quot;:true,&quot;internalRedirect&quot;:null,&quot;isProcessing&quot;:false,&quot;align&quot;:null,&quot;offset&quot;:false}" class="sizing-normal" alt="" srcset="https://substackcdn.com/image/fetch/$s_!0_kR!,w_424,c_limit,f_auto,q_auto:good,fl_progressive:steep/https%3A%2F%2Fsubstack-post-media.s3.amazonaws.com%2Fpublic%2Fimages%2F07fd9d46-d9db-47a6-acdc-21237e6fd942_774x156.png 424w, https://substackcdn.com/image/fetch/$s_!0_kR!,w_848,c_limit,f_auto,q_auto:good,fl_progressive:steep/https%3A%2F%2Fsubstack-post-media.s3.amazonaws.com%2Fpublic%2Fimages%2F07fd9d46-d9db-47a6-acdc-21237e6fd942_774x156.png 848w, https://substackcdn.com/image/fetch/$s_!0_kR!,w_1272,c_limit,f_auto,q_auto:good,fl_progressive:steep/https%3A%2F%2Fsubstack-post-media.s3.amazonaws.com%2Fpublic%2Fimages%2F07fd9d46-d9db-47a6-acdc-21237e6fd942_774x156.png 1272w, https://substackcdn.com/image/fetch/$s_!0_kR!,w_1456,c_limit,f_auto,q_auto:good,fl_progressive:steep/https%3A%2F%2Fsubstack-post-media.s3.amazonaws.com%2Fpublic%2Fimages%2F07fd9d46-d9db-47a6-acdc-21237e6fd942_774x156.png 1456w" sizes="100vw" fetchpriority="high"></picture><div></div></div></a></figure></div><div><hr></div><p><strong>SR Cable for low temperature</strong></p><p>This category of cables is typically used for freeze protection of pipes or tanks.</p><div class="captioned-image-container"><figure><a class="image-link image2 is-viewable-img" target="_blank" href="https://substackcdn.com/image/fetch/$s_!Waly!,f_auto,q_auto:good,fl_progressive:steep/https%3A%2F%2Fsubstack-post-media.s3.amazonaws.com%2Fpublic%2Fimages%2F7f69bff5-4f72-4d5c-bbe2-6e7f1feec939_748x260.png" data-component-name="Image2ToDOM"><div class="image2-inset"><picture><source type="image/webp" srcset="https://substackcdn.com/image/fetch/$s_!Waly!,w_424,c_limit,f_webp,q_auto:good,fl_progressive:steep/https%3A%2F%2Fsubstack-post-media.s3.amazonaws.com%2Fpublic%2Fimages%2F7f69bff5-4f72-4d5c-bbe2-6e7f1feec939_748x260.png 424w, https://substackcdn.com/image/fetch/$s_!Waly!,w_848,c_limit,f_webp,q_auto:good,fl_progressive:steep/https%3A%2F%2Fsubstack-post-media.s3.amazonaws.com%2Fpublic%2Fimages%2F7f69bff5-4f72-4d5c-bbe2-6e7f1feec939_748x260.png 848w, https://substackcdn.com/image/fetch/$s_!Waly!,w_1272,c_limit,f_webp,q_auto:good,fl_progressive:steep/https%3A%2F%2Fsubstack-post-media.s3.amazonaws.com%2Fpublic%2Fimages%2F7f69bff5-4f72-4d5c-bbe2-6e7f1feec939_748x260.png 1272w, https://substackcdn.com/image/fetch/$s_!Waly!,w_1456,c_limit,f_webp,q_auto:good,fl_progressive:steep/https%3A%2F%2Fsubstack-post-media.s3.amazonaws.com%2Fpublic%2Fimages%2F7f69bff5-4f72-4d5c-bbe2-6e7f1feec939_748x260.png 1456w" sizes="100vw"><img src="https://substackcdn.com/image/fetch/$s_!Waly!,w_1456,c_limit,f_auto,q_auto:good,fl_progressive:steep/https%3A%2F%2Fsubstack-post-media.s3.amazonaws.com%2Fpublic%2Fimages%2F7f69bff5-4f72-4d5c-bbe2-6e7f1feec939_748x260.png" width="748" height="260" data-attrs="{&quot;src&quot;:&quot;https://substack-post-media.s3.amazonaws.com/public/images/7f69bff5-4f72-4d5c-bbe2-6e7f1feec939_748x260.png&quot;,&quot;srcNoWatermark&quot;:null,&quot;fullscreen&quot;:null,&quot;imageSize&quot;:null,&quot;height&quot;:260,&quot;width&quot;:748,&quot;resizeWidth&quot;:null,&quot;bytes&quot;:45473,&quot;alt&quot;:null,&quot;title&quot;:null,&quot;type&quot;:&quot;image/png&quot;,&quot;href&quot;:null,&quot;belowTheFold&quot;:true,&quot;topImage&quot;:false,&quot;internalRedirect&quot;:null,&quot;isProcessing&quot;:false,&quot;align&quot;:null,&quot;offset&quot;:false}" class="sizing-normal" alt="" srcset="https://substackcdn.com/image/fetch/$s_!Waly!,w_424,c_limit,f_auto,q_auto:good,fl_progressive:steep/https%3A%2F%2Fsubstack-post-media.s3.amazonaws.com%2Fpublic%2Fimages%2F7f69bff5-4f72-4d5c-bbe2-6e7f1feec939_748x260.png 424w, https://substackcdn.com/image/fetch/$s_!Waly!,w_848,c_limit,f_auto,q_auto:good,fl_progressive:steep/https%3A%2F%2Fsubstack-post-media.s3.amazonaws.com%2Fpublic%2Fimages%2F7f69bff5-4f72-4d5c-bbe2-6e7f1feec939_748x260.png 848w, https://substackcdn.com/image/fetch/$s_!Waly!,w_1272,c_limit,f_auto,q_auto:good,fl_progressive:steep/https%3A%2F%2Fsubstack-post-media.s3.amazonaws.com%2Fpublic%2Fimages%2F7f69bff5-4f72-4d5c-bbe2-6e7f1feec939_748x260.png 1272w, https://substackcdn.com/image/fetch/$s_!Waly!,w_1456,c_limit,f_auto,q_auto:good,fl_progressive:steep/https%3A%2F%2Fsubstack-post-media.s3.amazonaws.com%2Fpublic%2Fimages%2F7f69bff5-4f72-4d5c-bbe2-6e7f1feec939_748x260.png 1456w" sizes="100vw" loading="lazy"></picture><div class="image-link-expand"><div class="pencraft pc-display-flex pc-gap-8 pc-reset"><button tabindex="0" type="button" class="pencraft pc-reset pencraft icon-container restack-image"><svg role="img" width="20" height="20" viewBox="0 0 20 20" fill="none" stroke-width="1.5" stroke="var(--color-fg-primary)" stroke-linecap="round" stroke-linejoin="round" xmlns="http://www.w3.org/2000/svg"><g><title></title><path d="M2.53001 7.81595C3.49179 4.73911 6.43281 2.5 9.91173 2.5C13.1684 2.5 15.9537 4.46214 17.0852 7.23684L17.6179 8.67647M17.6179 8.67647L18.5002 4.26471M17.6179 8.67647L13.6473 6.91176M17.4995 12.1841C16.5378 15.2609 13.5967 17.5 10.1178 17.5C6.86118 17.5 4.07589 15.5379 2.94432 12.7632L2.41165 11.3235M2.41165 11.3235L1.5293 15.7353M2.41165 11.3235L6.38224 13.0882"></path></g></svg></button><button tabindex="0" type="button" class="pencraft pc-reset pencraft icon-container view-image"><svg xmlns="http://www.w3.org/2000/svg" width="20" height="20" viewBox="0 0 24 24" fill="none" stroke="currentColor" stroke-width="2" stroke-linecap="round" stroke-linejoin="round" class="lucide lucide-maximize2 lucide-maximize-2"><polyline points="15 3 21 3 21 9"></polyline><polyline points="9 21 3 21 3 15"></polyline><line x1="21" x2="14" y1="3" y2="10"></line><line x1="3" x2="10" y1="21" y2="14"></line></svg></button></div></div></div></a></figure></div><div class="captioned-image-container"><figure><a class="image-link image2 is-viewable-img" target="_blank" href="https://substackcdn.com/image/fetch/$s_!6l7a!,f_auto,q_auto:good,fl_progressive:steep/https%3A%2F%2Fsubstack-post-media.s3.amazonaws.com%2Fpublic%2Fimages%2F9ee60af1-a856-4075-aa0d-ea7f5a81cb63_738x314.png" data-component-name="Image2ToDOM"><div class="image2-inset"><picture><source type="image/webp" srcset="https://substackcdn.com/image/fetch/$s_!6l7a!,w_424,c_limit,f_webp,q_auto:good,fl_progressive:steep/https%3A%2F%2Fsubstack-post-media.s3.amazonaws.com%2Fpublic%2Fimages%2F9ee60af1-a856-4075-aa0d-ea7f5a81cb63_738x314.png 424w, https://substackcdn.com/image/fetch/$s_!6l7a!,w_848,c_limit,f_webp,q_auto:good,fl_progressive:steep/https%3A%2F%2Fsubstack-post-media.s3.amazonaws.com%2Fpublic%2Fimages%2F9ee60af1-a856-4075-aa0d-ea7f5a81cb63_738x314.png 848w, https://substackcdn.com/image/fetch/$s_!6l7a!,w_1272,c_limit,f_webp,q_auto:good,fl_progressive:steep/https%3A%2F%2Fsubstack-post-media.s3.amazonaws.com%2Fpublic%2Fimages%2F9ee60af1-a856-4075-aa0d-ea7f5a81cb63_738x314.png 1272w, https://substackcdn.com/image/fetch/$s_!6l7a!,w_1456,c_limit,f_webp,q_auto:good,fl_progressive:steep/https%3A%2F%2Fsubstack-post-media.s3.amazonaws.com%2Fpublic%2Fimages%2F9ee60af1-a856-4075-aa0d-ea7f5a81cb63_738x314.png 1456w" sizes="100vw"><img src="https://substackcdn.com/image/fetch/$s_!6l7a!,w_1456,c_limit,f_auto,q_auto:good,fl_progressive:steep/https%3A%2F%2Fsubstack-post-media.s3.amazonaws.com%2Fpublic%2Fimages%2F9ee60af1-a856-4075-aa0d-ea7f5a81cb63_738x314.png" width="738" height="314" data-attrs="{&quot;src&quot;:&quot;https://substack-post-media.s3.amazonaws.com/public/images/9ee60af1-a856-4075-aa0d-ea7f5a81cb63_738x314.png&quot;,&quot;srcNoWatermark&quot;:null,&quot;fullscreen&quot;:null,&quot;imageSize&quot;:null,&quot;height&quot;:314,&quot;width&quot;:738,&quot;resizeWidth&quot;:null,&quot;bytes&quot;:74442,&quot;alt&quot;:null,&quot;title&quot;:null,&quot;type&quot;:&quot;image/png&quot;,&quot;href&quot;:null,&quot;belowTheFold&quot;:true,&quot;topImage&quot;:false,&quot;internalRedirect&quot;:null,&quot;isProcessing&quot;:false,&quot;align&quot;:null,&quot;offset&quot;:false}" class="sizing-normal" alt="" srcset="https://substackcdn.com/image/fetch/$s_!6l7a!,w_424,c_limit,f_auto,q_auto:good,fl_progressive:steep/https%3A%2F%2Fsubstack-post-media.s3.amazonaws.com%2Fpublic%2Fimages%2F9ee60af1-a856-4075-aa0d-ea7f5a81cb63_738x314.png 424w, https://substackcdn.com/image/fetch/$s_!6l7a!,w_848,c_limit,f_auto,q_auto:good,fl_progressive:steep/https%3A%2F%2Fsubstack-post-media.s3.amazonaws.com%2Fpublic%2Fimages%2F9ee60af1-a856-4075-aa0d-ea7f5a81cb63_738x314.png 848w, https://substackcdn.com/image/fetch/$s_!6l7a!,w_1272,c_limit,f_auto,q_auto:good,fl_progressive:steep/https%3A%2F%2Fsubstack-post-media.s3.amazonaws.com%2Fpublic%2Fimages%2F9ee60af1-a856-4075-aa0d-ea7f5a81cb63_738x314.png 1272w, https://substackcdn.com/image/fetch/$s_!6l7a!,w_1456,c_limit,f_auto,q_auto:good,fl_progressive:steep/https%3A%2F%2Fsubstack-post-media.s3.amazonaws.com%2Fpublic%2Fimages%2F9ee60af1-a856-4075-aa0d-ea7f5a81cb63_738x314.png 1456w" sizes="100vw" loading="lazy"></picture><div class="image-link-expand"><div class="pencraft pc-display-flex pc-gap-8 pc-reset"><button tabindex="0" type="button" class="pencraft pc-reset pencraft icon-container restack-image"><svg role="img" width="20" height="20" viewBox="0 0 20 20" fill="none" stroke-width="1.5" stroke="var(--color-fg-primary)" stroke-linecap="round" stroke-linejoin="round" xmlns="http://www.w3.org/2000/svg"><g><title></title><path d="M2.53001 7.81595C3.49179 4.73911 6.43281 2.5 9.91173 2.5C13.1684 2.5 15.9537 4.46214 17.0852 7.23684L17.6179 8.67647M17.6179 8.67647L18.5002 4.26471M17.6179 8.67647L13.6473 6.91176M17.4995 12.1841C16.5378 15.2609 13.5967 17.5 10.1178 17.5C6.86118 17.5 4.07589 15.5379 2.94432 12.7632L2.41165 11.3235M2.41165 11.3235L1.5293 15.7353M2.41165 11.3235L6.38224 13.0882"></path></g></svg></button><button tabindex="0" type="button" class="pencraft pc-reset pencraft icon-container view-image"><svg xmlns="http://www.w3.org/2000/svg" width="20" height="20" viewBox="0 0 24 24" fill="none" stroke="currentColor" stroke-width="2" stroke-linecap="round" stroke-linejoin="round" class="lucide lucide-maximize2 lucide-maximize-2"><polyline points="15 3 21 3 21 9"></polyline><polyline points="9 21 3 21 3 15"></polyline><line x1="21" x2="14" y1="3" y2="10"></line><line x1="3" x2="10" y1="21" y2="14"></line></svg></button></div></div></div></a></figure></div><div><hr></div><ol><li><p><strong>Maximum Maintain Temperature / Maximum Exposure Temperature</strong></p></li></ol><ul><li><p>These values are used to determine whether a cable can be used in a specific pipe.</p></li><li><p>In this regard, all three manufacturers provide similar specifications.</p></li></ul><ol start="2"><li><p>T-rating</p></li></ol><p>What is T-Rating? It's based on the maximum surface temperature of the cable.</p><div class="captioned-image-container"><figure><a class="image-link image2 is-viewable-img" target="_blank" href="https://substackcdn.com/image/fetch/$s_!QucK!,f_auto,q_auto:good,fl_progressive:steep/https%3A%2F%2Fsubstack-post-media.s3.amazonaws.com%2Fpublic%2Fimages%2Febbeba62-6841-4350-b696-e65af639321a_262x351.png" data-component-name="Image2ToDOM"><div class="image2-inset"><picture><source type="image/webp" srcset="https://substackcdn.com/image/fetch/$s_!QucK!,w_424,c_limit,f_webp,q_auto:good,fl_progressive:steep/https%3A%2F%2Fsubstack-post-media.s3.amazonaws.com%2Fpublic%2Fimages%2Febbeba62-6841-4350-b696-e65af639321a_262x351.png 424w, https://substackcdn.com/image/fetch/$s_!QucK!,w_848,c_limit,f_webp,q_auto:good,fl_progressive:steep/https%3A%2F%2Fsubstack-post-media.s3.amazonaws.com%2Fpublic%2Fimages%2Febbeba62-6841-4350-b696-e65af639321a_262x351.png 848w, https://substackcdn.com/image/fetch/$s_!QucK!,w_1272,c_limit,f_webp,q_auto:good,fl_progressive:steep/https%3A%2F%2Fsubstack-post-media.s3.amazonaws.com%2Fpublic%2Fimages%2Febbeba62-6841-4350-b696-e65af639321a_262x351.png 1272w, https://substackcdn.com/image/fetch/$s_!QucK!,w_1456,c_limit,f_webp,q_auto:good,fl_progressive:steep/https%3A%2F%2Fsubstack-post-media.s3.amazonaws.com%2Fpublic%2Fimages%2Febbeba62-6841-4350-b696-e65af639321a_262x351.png 1456w" sizes="100vw"><img src="https://substackcdn.com/image/fetch/$s_!QucK!,w_1456,c_limit,f_auto,q_auto:good,fl_progressive:steep/https%3A%2F%2Fsubstack-post-media.s3.amazonaws.com%2Fpublic%2Fimages%2Febbeba62-6841-4350-b696-e65af639321a_262x351.png" width="262" height="351" data-attrs="{&quot;src&quot;:&quot;https://substack-post-media.s3.amazonaws.com/public/images/ebbeba62-6841-4350-b696-e65af639321a_262x351.png&quot;,&quot;srcNoWatermark&quot;:null,&quot;fullscreen&quot;:null,&quot;imageSize&quot;:null,&quot;height&quot;:351,&quot;width&quot;:262,&quot;resizeWidth&quot;:null,&quot;bytes&quot;:61021,&quot;alt&quot;:null,&quot;title&quot;:null,&quot;type&quot;:&quot;image/png&quot;,&quot;href&quot;:null,&quot;belowTheFold&quot;:true,&quot;topImage&quot;:false,&quot;internalRedirect&quot;:null,&quot;isProcessing&quot;:false,&quot;align&quot;:null,&quot;offset&quot;:false}" class="sizing-normal" alt="" srcset="https://substackcdn.com/image/fetch/$s_!QucK!,w_424,c_limit,f_auto,q_auto:good,fl_progressive:steep/https%3A%2F%2Fsubstack-post-media.s3.amazonaws.com%2Fpublic%2Fimages%2Febbeba62-6841-4350-b696-e65af639321a_262x351.png 424w, https://substackcdn.com/image/fetch/$s_!QucK!,w_848,c_limit,f_auto,q_auto:good,fl_progressive:steep/https%3A%2F%2Fsubstack-post-media.s3.amazonaws.com%2Fpublic%2Fimages%2Febbeba62-6841-4350-b696-e65af639321a_262x351.png 848w, https://substackcdn.com/image/fetch/$s_!QucK!,w_1272,c_limit,f_auto,q_auto:good,fl_progressive:steep/https%3A%2F%2Fsubstack-post-media.s3.amazonaws.com%2Fpublic%2Fimages%2Febbeba62-6841-4350-b696-e65af639321a_262x351.png 1272w, https://substackcdn.com/image/fetch/$s_!QucK!,w_1456,c_limit,f_auto,q_auto:good,fl_progressive:steep/https%3A%2F%2Fsubstack-post-media.s3.amazonaws.com%2Fpublic%2Fimages%2Febbeba62-6841-4350-b696-e65af639321a_262x351.png 1456w" sizes="100vw" loading="lazy"></picture><div class="image-link-expand"><div class="pencraft pc-display-flex pc-gap-8 pc-reset"><button tabindex="0" type="button" class="pencraft pc-reset pencraft icon-container restack-image"><svg role="img" width="20" height="20" viewBox="0 0 20 20" fill="none" stroke-width="1.5" stroke="var(--color-fg-primary)" stroke-linecap="round" stroke-linejoin="round" xmlns="http://www.w3.org/2000/svg"><g><title></title><path d="M2.53001 7.81595C3.49179 4.73911 6.43281 2.5 9.91173 2.5C13.1684 2.5 15.9537 4.46214 17.0852 7.23684L17.6179 8.67647M17.6179 8.67647L18.5002 4.26471M17.6179 8.67647L13.6473 6.91176M17.4995 12.1841C16.5378 15.2609 13.5967 17.5 10.1178 17.5C6.86118 17.5 4.07589 15.5379 2.94432 12.7632L2.41165 11.3235M2.41165 11.3235L1.5293 15.7353M2.41165 11.3235L6.38224 13.0882"></path></g></svg></button><button tabindex="0" type="button" class="pencraft pc-reset pencraft icon-container view-image"><svg xmlns="http://www.w3.org/2000/svg" width="20" height="20" viewBox="0 0 24 24" fill="none" stroke="currentColor" stroke-width="2" stroke-linecap="round" stroke-linejoin="round" class="lucide lucide-maximize2 lucide-maximize-2"><polyline points="15 3 21 3 21 9"></polyline><polyline points="9 21 3 21 3 15"></polyline><line x1="21" x2="14" y1="3" y2="10"></line><line x1="3" x2="10" y1="21" y2="14"></line></svg></button></div></div></div></a></figure></div><div><hr></div><p>Raychem&#8217;s BTV has a consistent T6 rating, meaning it has the lowest maximum surface temperature, making it suitable for higher-risk environments.</p><p>Thermon&#8217;s BSX is rated T5 for the 10 W/ft model, while Chromalox&#8217;s SRL is rated T5 for the 5 and 8 W/ft models and T4A for the 10 W/ft model. This indicates that the BSX and SRL allow higher surface temperatures than the BTV.</p><p>In terms of safety, Raychem's cable is more favorable in environments requiring low surface temperatures, while Thermon and Chromalox may be more suitable for environments that require higher surface temperatures.</p><ol start="3"><li><p>Output</p></li></ol><p>All three manufacturers offer similar output standards for low temperature&#8212;3, 5, 8, 10 W/ft at 10&#176;C.</p><p>How does the output change as temperatures increase? Although exact formulas are not provided in public data, we can estimate from the following graphs.</p><div class="captioned-image-container"><figure><a class="image-link image2 is-viewable-img" target="_blank" href="https://substackcdn.com/image/fetch/$s_!678G!,f_auto,q_auto:good,fl_progressive:steep/https%3A%2F%2Fsubstack-post-media.s3.amazonaws.com%2Fpublic%2Fimages%2F460f9b0d-a334-42d6-98be-77691862dc23_1150x590.png" data-component-name="Image2ToDOM"><div class="image2-inset"><picture><source type="image/webp" srcset="https://substackcdn.com/image/fetch/$s_!678G!,w_424,c_limit,f_webp,q_auto:good,fl_progressive:steep/https%3A%2F%2Fsubstack-post-media.s3.amazonaws.com%2Fpublic%2Fimages%2F460f9b0d-a334-42d6-98be-77691862dc23_1150x590.png 424w, https://substackcdn.com/image/fetch/$s_!678G!,w_848,c_limit,f_webp,q_auto:good,fl_progressive:steep/https%3A%2F%2Fsubstack-post-media.s3.amazonaws.com%2Fpublic%2Fimages%2F460f9b0d-a334-42d6-98be-77691862dc23_1150x590.png 848w, https://substackcdn.com/image/fetch/$s_!678G!,w_1272,c_limit,f_webp,q_auto:good,fl_progressive:steep/https%3A%2F%2Fsubstack-post-media.s3.amazonaws.com%2Fpublic%2Fimages%2F460f9b0d-a334-42d6-98be-77691862dc23_1150x590.png 1272w, https://substackcdn.com/image/fetch/$s_!678G!,w_1456,c_limit,f_webp,q_auto:good,fl_progressive:steep/https%3A%2F%2Fsubstack-post-media.s3.amazonaws.com%2Fpublic%2Fimages%2F460f9b0d-a334-42d6-98be-77691862dc23_1150x590.png 1456w" sizes="100vw"><img src="https://substackcdn.com/image/fetch/$s_!678G!,w_1456,c_limit,f_auto,q_auto:good,fl_progressive:steep/https%3A%2F%2Fsubstack-post-media.s3.amazonaws.com%2Fpublic%2Fimages%2F460f9b0d-a334-42d6-98be-77691862dc23_1150x590.png" width="1150" height="590" data-attrs="{&quot;src&quot;:&quot;https://substack-post-media.s3.amazonaws.com/public/images/460f9b0d-a334-42d6-98be-77691862dc23_1150x590.png&quot;,&quot;srcNoWatermark&quot;:null,&quot;fullscreen&quot;:null,&quot;imageSize&quot;:null,&quot;height&quot;:590,&quot;width&quot;:1150,&quot;resizeWidth&quot;:null,&quot;bytes&quot;:121718,&quot;alt&quot;:null,&quot;title&quot;:null,&quot;type&quot;:&quot;image/png&quot;,&quot;href&quot;:null,&quot;belowTheFold&quot;:true,&quot;topImage&quot;:false,&quot;internalRedirect&quot;:null,&quot;isProcessing&quot;:false,&quot;align&quot;:null,&quot;offset&quot;:false}" class="sizing-normal" alt="" srcset="https://substackcdn.com/image/fetch/$s_!678G!,w_424,c_limit,f_auto,q_auto:good,fl_progressive:steep/https%3A%2F%2Fsubstack-post-media.s3.amazonaws.com%2Fpublic%2Fimages%2F460f9b0d-a334-42d6-98be-77691862dc23_1150x590.png 424w, https://substackcdn.com/image/fetch/$s_!678G!,w_848,c_limit,f_auto,q_auto:good,fl_progressive:steep/https%3A%2F%2Fsubstack-post-media.s3.amazonaws.com%2Fpublic%2Fimages%2F460f9b0d-a334-42d6-98be-77691862dc23_1150x590.png 848w, https://substackcdn.com/image/fetch/$s_!678G!,w_1272,c_limit,f_auto,q_auto:good,fl_progressive:steep/https%3A%2F%2Fsubstack-post-media.s3.amazonaws.com%2Fpublic%2Fimages%2F460f9b0d-a334-42d6-98be-77691862dc23_1150x590.png 1272w, https://substackcdn.com/image/fetch/$s_!678G!,w_1456,c_limit,f_auto,q_auto:good,fl_progressive:steep/https%3A%2F%2Fsubstack-post-media.s3.amazonaws.com%2Fpublic%2Fimages%2F460f9b0d-a334-42d6-98be-77691862dc23_1150x590.png 1456w" sizes="100vw" loading="lazy"></picture><div class="image-link-expand"><div class="pencraft pc-display-flex pc-gap-8 pc-reset"><button tabindex="0" type="button" class="pencraft pc-reset pencraft icon-container restack-image"><svg role="img" width="20" height="20" viewBox="0 0 20 20" fill="none" stroke-width="1.5" stroke="var(--color-fg-primary)" stroke-linecap="round" stroke-linejoin="round" xmlns="http://www.w3.org/2000/svg"><g><title></title><path d="M2.53001 7.81595C3.49179 4.73911 6.43281 2.5 9.91173 2.5C13.1684 2.5 15.9537 4.46214 17.0852 7.23684L17.6179 8.67647M17.6179 8.67647L18.5002 4.26471M17.6179 8.67647L13.6473 6.91176M17.4995 12.1841C16.5378 15.2609 13.5967 17.5 10.1178 17.5C6.86118 17.5 4.07589 15.5379 2.94432 12.7632L2.41165 11.3235M2.41165 11.3235L1.5293 15.7353M2.41165 11.3235L6.38224 13.0882"></path></g></svg></button><button tabindex="0" type="button" class="pencraft pc-reset pencraft icon-container view-image"><svg xmlns="http://www.w3.org/2000/svg" width="20" height="20" viewBox="0 0 24 24" fill="none" stroke="currentColor" stroke-width="2" stroke-linecap="round" stroke-linejoin="round" class="lucide lucide-maximize2 lucide-maximize-2"><polyline points="15 3 21 3 21 9"></polyline><polyline points="9 21 3 21 3 15"></polyline><line x1="21" x2="14" y1="3" y2="10"></line><line x1="3" x2="10" y1="21" y2="14"></line></svg></button></div></div></div></a></figure></div><div><hr></div><p><strong>Raychem BTV Output Graph:</strong></p><div class="captioned-image-container"><figure><a class="image-link image2 is-viewable-img" target="_blank" href="https://substackcdn.com/image/fetch/$s_!qWAG!,f_auto,q_auto:good,fl_progressive:steep/https%3A%2F%2Fsubstack-post-media.s3.amazonaws.com%2Fpublic%2Fimages%2Fb9f153c2-169b-46be-a611-31f54b60bae6_774x632.png" data-component-name="Image2ToDOM"><div class="image2-inset"><picture><source type="image/webp" srcset="https://substackcdn.com/image/fetch/$s_!qWAG!,w_424,c_limit,f_webp,q_auto:good,fl_progressive:steep/https%3A%2F%2Fsubstack-post-media.s3.amazonaws.com%2Fpublic%2Fimages%2Fb9f153c2-169b-46be-a611-31f54b60bae6_774x632.png 424w, https://substackcdn.com/image/fetch/$s_!qWAG!,w_848,c_limit,f_webp,q_auto:good,fl_progressive:steep/https%3A%2F%2Fsubstack-post-media.s3.amazonaws.com%2Fpublic%2Fimages%2Fb9f153c2-169b-46be-a611-31f54b60bae6_774x632.png 848w, https://substackcdn.com/image/fetch/$s_!qWAG!,w_1272,c_limit,f_webp,q_auto:good,fl_progressive:steep/https%3A%2F%2Fsubstack-post-media.s3.amazonaws.com%2Fpublic%2Fimages%2Fb9f153c2-169b-46be-a611-31f54b60bae6_774x632.png 1272w, https://substackcdn.com/image/fetch/$s_!qWAG!,w_1456,c_limit,f_webp,q_auto:good,fl_progressive:steep/https%3A%2F%2Fsubstack-post-media.s3.amazonaws.com%2Fpublic%2Fimages%2Fb9f153c2-169b-46be-a611-31f54b60bae6_774x632.png 1456w" sizes="100vw"><img src="https://substackcdn.com/image/fetch/$s_!qWAG!,w_1456,c_limit,f_auto,q_auto:good,fl_progressive:steep/https%3A%2F%2Fsubstack-post-media.s3.amazonaws.com%2Fpublic%2Fimages%2Fb9f153c2-169b-46be-a611-31f54b60bae6_774x632.png" width="774" height="632" data-attrs="{&quot;src&quot;:&quot;https://substack-post-media.s3.amazonaws.com/public/images/b9f153c2-169b-46be-a611-31f54b60bae6_774x632.png&quot;,&quot;srcNoWatermark&quot;:null,&quot;fullscreen&quot;:null,&quot;imageSize&quot;:null,&quot;height&quot;:632,&quot;width&quot;:774,&quot;resizeWidth&quot;:null,&quot;bytes&quot;:93658,&quot;alt&quot;:null,&quot;title&quot;:null,&quot;type&quot;:&quot;image/png&quot;,&quot;href&quot;:null,&quot;belowTheFold&quot;:true,&quot;topImage&quot;:false,&quot;internalRedirect&quot;:null,&quot;isProcessing&quot;:false,&quot;align&quot;:null,&quot;offset&quot;:false}" class="sizing-normal" alt="" srcset="https://substackcdn.com/image/fetch/$s_!qWAG!,w_424,c_limit,f_auto,q_auto:good,fl_progressive:steep/https%3A%2F%2Fsubstack-post-media.s3.amazonaws.com%2Fpublic%2Fimages%2Fb9f153c2-169b-46be-a611-31f54b60bae6_774x632.png 424w, https://substackcdn.com/image/fetch/$s_!qWAG!,w_848,c_limit,f_auto,q_auto:good,fl_progressive:steep/https%3A%2F%2Fsubstack-post-media.s3.amazonaws.com%2Fpublic%2Fimages%2Fb9f153c2-169b-46be-a611-31f54b60bae6_774x632.png 848w, https://substackcdn.com/image/fetch/$s_!qWAG!,w_1272,c_limit,f_auto,q_auto:good,fl_progressive:steep/https%3A%2F%2Fsubstack-post-media.s3.amazonaws.com%2Fpublic%2Fimages%2Fb9f153c2-169b-46be-a611-31f54b60bae6_774x632.png 1272w, https://substackcdn.com/image/fetch/$s_!qWAG!,w_1456,c_limit,f_auto,q_auto:good,fl_progressive:steep/https%3A%2F%2Fsubstack-post-media.s3.amazonaws.com%2Fpublic%2Fimages%2Fb9f153c2-169b-46be-a611-31f54b60bae6_774x632.png 1456w" sizes="100vw" loading="lazy"></picture><div class="image-link-expand"><div class="pencraft pc-display-flex pc-gap-8 pc-reset"><button tabindex="0" type="button" class="pencraft pc-reset pencraft icon-container restack-image"><svg role="img" width="20" height="20" viewBox="0 0 20 20" fill="none" stroke-width="1.5" stroke="var(--color-fg-primary)" stroke-linecap="round" stroke-linejoin="round" xmlns="http://www.w3.org/2000/svg"><g><title></title><path d="M2.53001 7.81595C3.49179 4.73911 6.43281 2.5 9.91173 2.5C13.1684 2.5 15.9537 4.46214 17.0852 7.23684L17.6179 8.67647M17.6179 8.67647L18.5002 4.26471M17.6179 8.67647L13.6473 6.91176M17.4995 12.1841C16.5378 15.2609 13.5967 17.5 10.1178 17.5C6.86118 17.5 4.07589 15.5379 2.94432 12.7632L2.41165 11.3235M2.41165 11.3235L1.5293 15.7353M2.41165 11.3235L6.38224 13.0882"></path></g></svg></button><button tabindex="0" type="button" class="pencraft pc-reset pencraft icon-container view-image"><svg xmlns="http://www.w3.org/2000/svg" width="20" height="20" viewBox="0 0 24 24" fill="none" stroke="currentColor" stroke-width="2" stroke-linecap="round" stroke-linejoin="round" class="lucide lucide-maximize2 lucide-maximize-2"><polyline points="15 3 21 3 21 9"></polyline><polyline points="9 21 3 21 3 15"></polyline><line x1="21" x2="14" y1="3" y2="10"></line><line x1="3" x2="10" y1="21" y2="14"></line></svg></button></div></div></div></a></figure></div><div><hr></div><p><strong>Thermon BSX Output Graph:</strong></p><div class="captioned-image-container"><figure><a class="image-link image2 is-viewable-img" target="_blank" href="https://substackcdn.com/image/fetch/$s_!680l!,f_auto,q_auto:good,fl_progressive:steep/https%3A%2F%2Fsubstack-post-media.s3.amazonaws.com%2Fpublic%2Fimages%2F50559471-27ad-481e-bcca-16a447636cf4_952x884.png" data-component-name="Image2ToDOM"><div class="image2-inset"><picture><source type="image/webp" srcset="https://substackcdn.com/image/fetch/$s_!680l!,w_424,c_limit,f_webp,q_auto:good,fl_progressive:steep/https%3A%2F%2Fsubstack-post-media.s3.amazonaws.com%2Fpublic%2Fimages%2F50559471-27ad-481e-bcca-16a447636cf4_952x884.png 424w, https://substackcdn.com/image/fetch/$s_!680l!,w_848,c_limit,f_webp,q_auto:good,fl_progressive:steep/https%3A%2F%2Fsubstack-post-media.s3.amazonaws.com%2Fpublic%2Fimages%2F50559471-27ad-481e-bcca-16a447636cf4_952x884.png 848w, https://substackcdn.com/image/fetch/$s_!680l!,w_1272,c_limit,f_webp,q_auto:good,fl_progressive:steep/https%3A%2F%2Fsubstack-post-media.s3.amazonaws.com%2Fpublic%2Fimages%2F50559471-27ad-481e-bcca-16a447636cf4_952x884.png 1272w, https://substackcdn.com/image/fetch/$s_!680l!,w_1456,c_limit,f_webp,q_auto:good,fl_progressive:steep/https%3A%2F%2Fsubstack-post-media.s3.amazonaws.com%2Fpublic%2Fimages%2F50559471-27ad-481e-bcca-16a447636cf4_952x884.png 1456w" sizes="100vw"><img src="https://substackcdn.com/image/fetch/$s_!680l!,w_1456,c_limit,f_auto,q_auto:good,fl_progressive:steep/https%3A%2F%2Fsubstack-post-media.s3.amazonaws.com%2Fpublic%2Fimages%2F50559471-27ad-481e-bcca-16a447636cf4_952x884.png" width="952" height="884" data-attrs="{&quot;src&quot;:&quot;https://substack-post-media.s3.amazonaws.com/public/images/50559471-27ad-481e-bcca-16a447636cf4_952x884.png&quot;,&quot;srcNoWatermark&quot;:null,&quot;fullscreen&quot;:null,&quot;imageSize&quot;:null,&quot;height&quot;:884,&quot;width&quot;:952,&quot;resizeWidth&quot;:null,&quot;bytes&quot;:171320,&quot;alt&quot;:null,&quot;title&quot;:null,&quot;type&quot;:&quot;image/png&quot;,&quot;href&quot;:null,&quot;belowTheFold&quot;:true,&quot;topImage&quot;:false,&quot;internalRedirect&quot;:null,&quot;isProcessing&quot;:false,&quot;align&quot;:null,&quot;offset&quot;:false}" class="sizing-normal" alt="" srcset="https://substackcdn.com/image/fetch/$s_!680l!,w_424,c_limit,f_auto,q_auto:good,fl_progressive:steep/https%3A%2F%2Fsubstack-post-media.s3.amazonaws.com%2Fpublic%2Fimages%2F50559471-27ad-481e-bcca-16a447636cf4_952x884.png 424w, https://substackcdn.com/image/fetch/$s_!680l!,w_848,c_limit,f_auto,q_auto:good,fl_progressive:steep/https%3A%2F%2Fsubstack-post-media.s3.amazonaws.com%2Fpublic%2Fimages%2F50559471-27ad-481e-bcca-16a447636cf4_952x884.png 848w, https://substackcdn.com/image/fetch/$s_!680l!,w_1272,c_limit,f_auto,q_auto:good,fl_progressive:steep/https%3A%2F%2Fsubstack-post-media.s3.amazonaws.com%2Fpublic%2Fimages%2F50559471-27ad-481e-bcca-16a447636cf4_952x884.png 1272w, https://substackcdn.com/image/fetch/$s_!680l!,w_1456,c_limit,f_auto,q_auto:good,fl_progressive:steep/https%3A%2F%2Fsubstack-post-media.s3.amazonaws.com%2Fpublic%2Fimages%2F50559471-27ad-481e-bcca-16a447636cf4_952x884.png 1456w" sizes="100vw" loading="lazy"></picture><div class="image-link-expand"><div class="pencraft pc-display-flex pc-gap-8 pc-reset"><button tabindex="0" type="button" class="pencraft pc-reset pencraft icon-container restack-image"><svg role="img" width="20" height="20" viewBox="0 0 20 20" fill="none" stroke-width="1.5" stroke="var(--color-fg-primary)" stroke-linecap="round" stroke-linejoin="round" xmlns="http://www.w3.org/2000/svg"><g><title></title><path d="M2.53001 7.81595C3.49179 4.73911 6.43281 2.5 9.91173 2.5C13.1684 2.5 15.9537 4.46214 17.0852 7.23684L17.6179 8.67647M17.6179 8.67647L18.5002 4.26471M17.6179 8.67647L13.6473 6.91176M17.4995 12.1841C16.5378 15.2609 13.5967 17.5 10.1178 17.5C6.86118 17.5 4.07589 15.5379 2.94432 12.7632L2.41165 11.3235M2.41165 11.3235L1.5293 15.7353M2.41165 11.3235L6.38224 13.0882"></path></g></svg></button><button tabindex="0" type="button" class="pencraft pc-reset pencraft icon-container view-image"><svg xmlns="http://www.w3.org/2000/svg" width="20" height="20" viewBox="0 0 24 24" fill="none" stroke="currentColor" stroke-width="2" stroke-linecap="round" stroke-linejoin="round" class="lucide lucide-maximize2 lucide-maximize-2"><polyline points="15 3 21 3 21 9"></polyline><polyline points="9 21 3 21 3 15"></polyline><line x1="21" x2="14" y1="3" y2="10"></line><line x1="3" x2="10" y1="21" y2="14"></line></svg></button></div></div></div></a></figure></div><div><hr></div><p><strong>Chromalox SRL Output Graph:</strong></p><p>If we estimate the output at 130&#176;F (54&#176;C), we get the following values:</p><div class="captioned-image-container"><figure><a class="image-link image2" target="_blank" href="https://substackcdn.com/image/fetch/$s_!Km5z!,f_auto,q_auto:good,fl_progressive:steep/https%3A%2F%2Fsubstack-post-media.s3.amazonaws.com%2Fpublic%2Fimages%2F2e8582e6-8e0e-4464-b781-fd9423dd2754_622x153.png" data-component-name="Image2ToDOM"><div class="image2-inset"><picture><source type="image/webp" srcset="https://substackcdn.com/image/fetch/$s_!Km5z!,w_424,c_limit,f_webp,q_auto:good,fl_progressive:steep/https%3A%2F%2Fsubstack-post-media.s3.amazonaws.com%2Fpublic%2Fimages%2F2e8582e6-8e0e-4464-b781-fd9423dd2754_622x153.png 424w, https://substackcdn.com/image/fetch/$s_!Km5z!,w_848,c_limit,f_webp,q_auto:good,fl_progressive:steep/https%3A%2F%2Fsubstack-post-media.s3.amazonaws.com%2Fpublic%2Fimages%2F2e8582e6-8e0e-4464-b781-fd9423dd2754_622x153.png 848w, https://substackcdn.com/image/fetch/$s_!Km5z!,w_1272,c_limit,f_webp,q_auto:good,fl_progressive:steep/https%3A%2F%2Fsubstack-post-media.s3.amazonaws.com%2Fpublic%2Fimages%2F2e8582e6-8e0e-4464-b781-fd9423dd2754_622x153.png 1272w, https://substackcdn.com/image/fetch/$s_!Km5z!,w_1456,c_limit,f_webp,q_auto:good,fl_progressive:steep/https%3A%2F%2Fsubstack-post-media.s3.amazonaws.com%2Fpublic%2Fimages%2F2e8582e6-8e0e-4464-b781-fd9423dd2754_622x153.png 1456w" sizes="100vw"><img src="https://substackcdn.com/image/fetch/$s_!Km5z!,w_1456,c_limit,f_auto,q_auto:good,fl_progressive:steep/https%3A%2F%2Fsubstack-post-media.s3.amazonaws.com%2Fpublic%2Fimages%2F2e8582e6-8e0e-4464-b781-fd9423dd2754_622x153.png" width="622" height="153" data-attrs="{&quot;src&quot;:&quot;https://substack-post-media.s3.amazonaws.com/public/images/2e8582e6-8e0e-4464-b781-fd9423dd2754_622x153.png&quot;,&quot;srcNoWatermark&quot;:null,&quot;fullscreen&quot;:null,&quot;imageSize&quot;:null,&quot;height&quot;:153,&quot;width&quot;:622,&quot;resizeWidth&quot;:null,&quot;bytes&quot;:19914,&quot;alt&quot;:null,&quot;title&quot;:null,&quot;type&quot;:&quot;image/png&quot;,&quot;href&quot;:null,&quot;belowTheFold&quot;:true,&quot;topImage&quot;:false,&quot;internalRedirect&quot;:null,&quot;isProcessing&quot;:false,&quot;align&quot;:null,&quot;offset&quot;:false}" class="sizing-normal" alt="" srcset="https://substackcdn.com/image/fetch/$s_!Km5z!,w_424,c_limit,f_auto,q_auto:good,fl_progressive:steep/https%3A%2F%2Fsubstack-post-media.s3.amazonaws.com%2Fpublic%2Fimages%2F2e8582e6-8e0e-4464-b781-fd9423dd2754_622x153.png 424w, https://substackcdn.com/image/fetch/$s_!Km5z!,w_848,c_limit,f_auto,q_auto:good,fl_progressive:steep/https%3A%2F%2Fsubstack-post-media.s3.amazonaws.com%2Fpublic%2Fimages%2F2e8582e6-8e0e-4464-b781-fd9423dd2754_622x153.png 848w, https://substackcdn.com/image/fetch/$s_!Km5z!,w_1272,c_limit,f_auto,q_auto:good,fl_progressive:steep/https%3A%2F%2Fsubstack-post-media.s3.amazonaws.com%2Fpublic%2Fimages%2F2e8582e6-8e0e-4464-b781-fd9423dd2754_622x153.png 1272w, https://substackcdn.com/image/fetch/$s_!Km5z!,w_1456,c_limit,f_auto,q_auto:good,fl_progressive:steep/https%3A%2F%2Fsubstack-post-media.s3.amazonaws.com%2Fpublic%2Fimages%2F2e8582e6-8e0e-4464-b781-fd9423dd2754_622x153.png 1456w" sizes="100vw" loading="lazy"></picture><div></div></div></a></figure></div><div><hr></div><p>From this, we can conclude that Raychem&#8217;s BTV output drops more rapidly as temperatures rise. In comparison, Thermon and Chromalox cables perform better at higher temperatures, with Chromalox's SRL offering the highest output.</p><ol><li><p><strong>Minimum Installation Temperature</strong></p></li></ol><ul><li><p>All three manufacturers specify the same minimum installation temperature of -60&#176;</p></li></ul><ol><li><p><strong>Approvals</strong></p></li></ol><ul><li><p>Each manufacturer holds certifications for both the European and American markets. Although there are slight differences, all meet the necessary requirements for approval.</p></li></ul><ol><li><p><strong>IECEx Marking</strong></p></li></ol><ul><li><p>Raychem&#8217;s BTV has both increased safety (&#8216;e&#8217;) and encapsulation (&#8216;m&#8217;) markings, whereas Thermon&#8217;s BSX and Chromalox&#8217;s SRL only have increased safety (&#8216;e&#8217;) markings</p></li><li><p><strong>Encapsulation</strong> (&#8216;m&#8217;) refers to sealing internal electrical components to prevent any ignition sources from interacting with the external environment. This gives Raychem&#8217;s BTV a higher level of protection, making it suitable for more extreme environments.</p></li></ul><ol><li><p><strong>IECEx Standards</strong></p></li></ol><ul><li><p>Raychem&#8217;s BTV has undergone additional testing due to its encapsulation (&#8216;m&#8217;) marking, as indicated by the extra standards listed in the table.</p></li><li><p>Chromalox&#8217;s SRL uses slightly older standards, which in rare cases could present issues for approval, but generally, it should not pose a problem.</p></li></ul><p><strong>Conclusion</strong></p><p>Raychem&#8217;s BTV is known for its reliability and safety, making it a solid choice. However, if you need a cable with higher output at higher temperatures, Thermon&#8217;s BSX or Chromalox&#8217;s SRL might be more suitable options.</p><div class="subscription-widget-wrap-editor" data-attrs="{&quot;url&quot;:&quot;https://www.precisionnewsletter.com/subscribe?&quot;,&quot;text&quot;:&quot;Subscribe&quot;,&quot;language&quot;:&quot;en&quot;}" data-component-name="SubscribeWidgetToDOM"><div class="subscription-widget show-subscribe"><div class="preamble"><p class="cta-caption">Thanks for reading Precision Newsletter! Subscribe for free to receive new posts and support my work.</p></div><form class="subscription-widget-subscribe"><input type="email" class="email-input" name="email" placeholder="Type your email&#8230;" tabindex="-1"><input type="submit" class="button primary" value="Subscribe"><div class="fake-input-wrapper"><div class="fake-input"></div><div class="fake-button"></div></div></form></div></div>]]></content:encoded></item><item><title><![CDATA[How to Precisely Calculate Heat Loss for the Industrial Tank (Vessel)]]></title><description><![CDATA[When I first received an inquiry for EHT design for a tank, I hesitated.]]></description><link>https://www.precisionnewsletter.com/p/how-to-precisely-calculate-heat-loss</link><guid isPermaLink="false">https://www.precisionnewsletter.com/p/how-to-precisely-calculate-heat-loss</guid><dc:creator><![CDATA[Jinwook Jung]]></dc:creator><pubDate>Thu, 02 Jan 2025 09:00:06 GMT</pubDate><enclosure url="https://substack-post-media.s3.amazonaws.com/public/images/300909bd-1427-4d4c-ba2c-2f14601e2003_2533x1687.jpeg" length="0" type="image/jpeg"/><content:encoded><![CDATA[<p>When I first received an inquiry for EHT design for a tank, I hesitated. Why? EHT design for pipes is straightforward, as it is based on well-defined parameters. However, EHT design for tanks seemed more ambiguous compared to pipe design.</p><p>Let me explain how I initially learned to design EHT for a tank.</p><div class="subscription-widget-wrap-editor" data-attrs="{&quot;url&quot;:&quot;https://www.precisionnewsletter.com/subscribe?&quot;,&quot;text&quot;:&quot;Subscribe&quot;,&quot;language&quot;:&quot;en&quot;}" data-component-name="SubscribeWidgetToDOM"><div class="subscription-widget show-subscribe"><div class="preamble"><p class="cta-caption">Thanks for reading Precision Newsletter! Subscribe for free to receive new posts and support my work.</p></div><form class="subscription-widget-subscribe"><input type="email" class="email-input" name="email" placeholder="Type your email&#8230;" tabindex="-1"><input type="submit" class="button primary" value="Subscribe"><div class="fake-input-wrapper"><div class="fake-input"></div><div class="fake-button"></div></div></form></div></div><p>In the Chromalox design guide, the equation for calculating heat loss for a tank is explained as follows:</p><p><strong>Q = Qt &#215; &#9651;T &#215; 2(KTm + KTa) &#215; A</strong></p><p><em>Qt</em> can be found in the table below, according to the insulation thickness.</p><div class="captioned-image-container"><figure><a class="image-link image2 is-viewable-img" target="_blank" href="https://substackcdn.com/image/fetch/$s_!Yvhy!,f_auto,q_auto:good,fl_progressive:steep/https%3A%2F%2Fsubstack-post-media.s3.amazonaws.com%2Fpublic%2Fimages%2F12052ed2-3c06-4f44-8594-5adc158f7e05_1023x485.png" data-component-name="Image2ToDOM"><div class="image2-inset"><picture><source type="image/webp" srcset="https://substackcdn.com/image/fetch/$s_!Yvhy!,w_424,c_limit,f_webp,q_auto:good,fl_progressive:steep/https%3A%2F%2Fsubstack-post-media.s3.amazonaws.com%2Fpublic%2Fimages%2F12052ed2-3c06-4f44-8594-5adc158f7e05_1023x485.png 424w, https://substackcdn.com/image/fetch/$s_!Yvhy!,w_848,c_limit,f_webp,q_auto:good,fl_progressive:steep/https%3A%2F%2Fsubstack-post-media.s3.amazonaws.com%2Fpublic%2Fimages%2F12052ed2-3c06-4f44-8594-5adc158f7e05_1023x485.png 848w, https://substackcdn.com/image/fetch/$s_!Yvhy!,w_1272,c_limit,f_webp,q_auto:good,fl_progressive:steep/https%3A%2F%2Fsubstack-post-media.s3.amazonaws.com%2Fpublic%2Fimages%2F12052ed2-3c06-4f44-8594-5adc158f7e05_1023x485.png 1272w, https://substackcdn.com/image/fetch/$s_!Yvhy!,w_1456,c_limit,f_webp,q_auto:good,fl_progressive:steep/https%3A%2F%2Fsubstack-post-media.s3.amazonaws.com%2Fpublic%2Fimages%2F12052ed2-3c06-4f44-8594-5adc158f7e05_1023x485.png 1456w" sizes="100vw"><img src="https://substackcdn.com/image/fetch/$s_!Yvhy!,w_1456,c_limit,f_auto,q_auto:good,fl_progressive:steep/https%3A%2F%2Fsubstack-post-media.s3.amazonaws.com%2Fpublic%2Fimages%2F12052ed2-3c06-4f44-8594-5adc158f7e05_1023x485.png" width="1023" height="485" data-attrs="{&quot;src&quot;:&quot;https://substack-post-media.s3.amazonaws.com/public/images/12052ed2-3c06-4f44-8594-5adc158f7e05_1023x485.png&quot;,&quot;srcNoWatermark&quot;:null,&quot;fullscreen&quot;:null,&quot;imageSize&quot;:null,&quot;height&quot;:485,&quot;width&quot;:1023,&quot;resizeWidth&quot;:null,&quot;bytes&quot;:null,&quot;alt&quot;:&quot;&quot;,&quot;title&quot;:null,&quot;type&quot;:null,&quot;href&quot;:null,&quot;belowTheFold&quot;:false,&quot;topImage&quot;:true,&quot;internalRedirect&quot;:null,&quot;isProcessing&quot;:false,&quot;align&quot;:null,&quot;offset&quot;:false}" class="sizing-normal" alt="" title="" srcset="https://substackcdn.com/image/fetch/$s_!Yvhy!,w_424,c_limit,f_auto,q_auto:good,fl_progressive:steep/https%3A%2F%2Fsubstack-post-media.s3.amazonaws.com%2Fpublic%2Fimages%2F12052ed2-3c06-4f44-8594-5adc158f7e05_1023x485.png 424w, https://substackcdn.com/image/fetch/$s_!Yvhy!,w_848,c_limit,f_auto,q_auto:good,fl_progressive:steep/https%3A%2F%2Fsubstack-post-media.s3.amazonaws.com%2Fpublic%2Fimages%2F12052ed2-3c06-4f44-8594-5adc158f7e05_1023x485.png 848w, https://substackcdn.com/image/fetch/$s_!Yvhy!,w_1272,c_limit,f_auto,q_auto:good,fl_progressive:steep/https%3A%2F%2Fsubstack-post-media.s3.amazonaws.com%2Fpublic%2Fimages%2F12052ed2-3c06-4f44-8594-5adc158f7e05_1023x485.png 1272w, https://substackcdn.com/image/fetch/$s_!Yvhy!,w_1456,c_limit,f_auto,q_auto:good,fl_progressive:steep/https%3A%2F%2Fsubstack-post-media.s3.amazonaws.com%2Fpublic%2Fimages%2F12052ed2-3c06-4f44-8594-5adc158f7e05_1023x485.png 1456w" sizes="100vw" fetchpriority="high"></picture><div class="image-link-expand"><div class="pencraft pc-display-flex pc-gap-8 pc-reset"><button tabindex="0" type="button" class="pencraft pc-reset pencraft icon-container restack-image"><svg role="img" width="20" height="20" viewBox="0 0 20 20" fill="none" stroke-width="1.5" stroke="var(--color-fg-primary)" stroke-linecap="round" stroke-linejoin="round" xmlns="http://www.w3.org/2000/svg"><g><title></title><path d="M2.53001 7.81595C3.49179 4.73911 6.43281 2.5 9.91173 2.5C13.1684 2.5 15.9537 4.46214 17.0852 7.23684L17.6179 8.67647M17.6179 8.67647L18.5002 4.26471M17.6179 8.67647L13.6473 6.91176M17.4995 12.1841C16.5378 15.2609 13.5967 17.5 10.1178 17.5C6.86118 17.5 4.07589 15.5379 2.94432 12.7632L2.41165 11.3235M2.41165 11.3235L1.5293 15.7353M2.41165 11.3235L6.38224 13.0882"></path></g></svg></button><button tabindex="0" type="button" class="pencraft pc-reset pencraft icon-container view-image"><svg xmlns="http://www.w3.org/2000/svg" width="20" height="20" viewBox="0 0 24 24" fill="none" stroke="currentColor" stroke-width="2" stroke-linecap="round" stroke-linejoin="round" class="lucide lucide-maximize2 lucide-maximize-2"><polyline points="15 3 21 3 21 9"></polyline><polyline points="9 21 3 21 3 15"></polyline><line x1="21" x2="14" y1="3" y2="10"></line><line x1="3" x2="10" y1="21" y2="14"></line></svg></button></div></div></div></a></figure></div><p>Next, multiply by the temperature difference, <em>&#916;T</em>, which is the 'maintain temperature - minimum ambient temperature.'</p><p>Depending on the maintain temperature and minimum ambient temperature for a specific insulation material, <em>KTm</em> and <em>KTa</em> values are determined from the table below.</p><div class="captioned-image-container"><figure><a class="image-link image2 is-viewable-img" target="_blank" href="https://substackcdn.com/image/fetch/$s_!aO9Q!,f_auto,q_auto:good,fl_progressive:steep/https%3A%2F%2Fsubstack-post-media.s3.amazonaws.com%2Fpublic%2Fimages%2F7e3e51a3-3f02-478e-8a57-270a53b78205_1023x565.png" data-component-name="Image2ToDOM"><div class="image2-inset"><picture><source type="image/webp" srcset="https://substackcdn.com/image/fetch/$s_!aO9Q!,w_424,c_limit,f_webp,q_auto:good,fl_progressive:steep/https%3A%2F%2Fsubstack-post-media.s3.amazonaws.com%2Fpublic%2Fimages%2F7e3e51a3-3f02-478e-8a57-270a53b78205_1023x565.png 424w, https://substackcdn.com/image/fetch/$s_!aO9Q!,w_848,c_limit,f_webp,q_auto:good,fl_progressive:steep/https%3A%2F%2Fsubstack-post-media.s3.amazonaws.com%2Fpublic%2Fimages%2F7e3e51a3-3f02-478e-8a57-270a53b78205_1023x565.png 848w, https://substackcdn.com/image/fetch/$s_!aO9Q!,w_1272,c_limit,f_webp,q_auto:good,fl_progressive:steep/https%3A%2F%2Fsubstack-post-media.s3.amazonaws.com%2Fpublic%2Fimages%2F7e3e51a3-3f02-478e-8a57-270a53b78205_1023x565.png 1272w, https://substackcdn.com/image/fetch/$s_!aO9Q!,w_1456,c_limit,f_webp,q_auto:good,fl_progressive:steep/https%3A%2F%2Fsubstack-post-media.s3.amazonaws.com%2Fpublic%2Fimages%2F7e3e51a3-3f02-478e-8a57-270a53b78205_1023x565.png 1456w" sizes="100vw"><img src="https://substackcdn.com/image/fetch/$s_!aO9Q!,w_1456,c_limit,f_auto,q_auto:good,fl_progressive:steep/https%3A%2F%2Fsubstack-post-media.s3.amazonaws.com%2Fpublic%2Fimages%2F7e3e51a3-3f02-478e-8a57-270a53b78205_1023x565.png" width="1023" height="565" data-attrs="{&quot;src&quot;:&quot;https://substack-post-media.s3.amazonaws.com/public/images/7e3e51a3-3f02-478e-8a57-270a53b78205_1023x565.png&quot;,&quot;srcNoWatermark&quot;:null,&quot;fullscreen&quot;:null,&quot;imageSize&quot;:null,&quot;height&quot;:565,&quot;width&quot;:1023,&quot;resizeWidth&quot;:null,&quot;bytes&quot;:null,&quot;alt&quot;:&quot;&quot;,&quot;title&quot;:null,&quot;type&quot;:null,&quot;href&quot;:null,&quot;belowTheFold&quot;:true,&quot;topImage&quot;:false,&quot;internalRedirect&quot;:null,&quot;isProcessing&quot;:false,&quot;align&quot;:null,&quot;offset&quot;:false}" class="sizing-normal" alt="" title="" srcset="https://substackcdn.com/image/fetch/$s_!aO9Q!,w_424,c_limit,f_auto,q_auto:good,fl_progressive:steep/https%3A%2F%2Fsubstack-post-media.s3.amazonaws.com%2Fpublic%2Fimages%2F7e3e51a3-3f02-478e-8a57-270a53b78205_1023x565.png 424w, https://substackcdn.com/image/fetch/$s_!aO9Q!,w_848,c_limit,f_auto,q_auto:good,fl_progressive:steep/https%3A%2F%2Fsubstack-post-media.s3.amazonaws.com%2Fpublic%2Fimages%2F7e3e51a3-3f02-478e-8a57-270a53b78205_1023x565.png 848w, https://substackcdn.com/image/fetch/$s_!aO9Q!,w_1272,c_limit,f_auto,q_auto:good,fl_progressive:steep/https%3A%2F%2Fsubstack-post-media.s3.amazonaws.com%2Fpublic%2Fimages%2F7e3e51a3-3f02-478e-8a57-270a53b78205_1023x565.png 1272w, https://substackcdn.com/image/fetch/$s_!aO9Q!,w_1456,c_limit,f_auto,q_auto:good,fl_progressive:steep/https%3A%2F%2Fsubstack-post-media.s3.amazonaws.com%2Fpublic%2Fimages%2F7e3e51a3-3f02-478e-8a57-270a53b78205_1023x565.png 1456w" sizes="100vw" loading="lazy"></picture><div class="image-link-expand"><div class="pencraft pc-display-flex pc-gap-8 pc-reset"><button tabindex="0" type="button" class="pencraft pc-reset pencraft icon-container restack-image"><svg role="img" width="20" height="20" viewBox="0 0 20 20" fill="none" stroke-width="1.5" stroke="var(--color-fg-primary)" stroke-linecap="round" stroke-linejoin="round" xmlns="http://www.w3.org/2000/svg"><g><title></title><path d="M2.53001 7.81595C3.49179 4.73911 6.43281 2.5 9.91173 2.5C13.1684 2.5 15.9537 4.46214 17.0852 7.23684L17.6179 8.67647M17.6179 8.67647L18.5002 4.26471M17.6179 8.67647L13.6473 6.91176M17.4995 12.1841C16.5378 15.2609 13.5967 17.5 10.1178 17.5C6.86118 17.5 4.07589 15.5379 2.94432 12.7632L2.41165 11.3235M2.41165 11.3235L1.5293 15.7353M2.41165 11.3235L6.38224 13.0882"></path></g></svg></button><button tabindex="0" type="button" class="pencraft pc-reset pencraft icon-container view-image"><svg xmlns="http://www.w3.org/2000/svg" width="20" height="20" viewBox="0 0 24 24" fill="none" stroke="currentColor" stroke-width="2" stroke-linecap="round" stroke-linejoin="round" class="lucide lucide-maximize2 lucide-maximize-2"><polyline points="15 3 21 3 21 9"></polyline><polyline points="9 21 3 21 3 15"></polyline><line x1="21" x2="14" y1="3" y2="10"></line><line x1="3" x2="10" y1="21" y2="14"></line></svg></button></div></div></div></a></figure></div><p>Then, multiply by the surface area of the tank, <em>A</em>, to obtain the heat loss, <em>Q</em>.</p><p>At this point, we usually apply a safety factor. <strong>However, the safety factor applied is often based on the designer&#8217;s experience</strong>. Sometimes, a 20% safety factor is added, while in other cases, a 100% safety factor is used. <strong>Why is there such a large difference</strong>? I thought <strong>some criteria were needed to determine an appropriate safety factor.</strong></p><p>To find the safest method for calculating heat loss for a tank, I decided to check the original equation in the IEEE 515 document.</p><h4>&lt;Heat Loss Calculation According to IEEE 515&gt;</h4><p>In the IEEE 515 document, the heat loss calculation for a tank (vessel) is as follows:</p><div class="captioned-image-container"><figure><a class="image-link image2" target="_blank" href="https://substackcdn.com/image/fetch/$s_!Hg9I!,f_auto,q_auto:good,fl_progressive:steep/https%3A%2F%2Fsubstack-post-media.s3.amazonaws.com%2Fpublic%2Fimages%2Fe0f71f84-ec91-49c2-8077-5ef4e71e0e04_1015x66.png" data-component-name="Image2ToDOM"><div class="image2-inset"><picture><source type="image/webp" srcset="https://substackcdn.com/image/fetch/$s_!Hg9I!,w_424,c_limit,f_webp,q_auto:good,fl_progressive:steep/https%3A%2F%2Fsubstack-post-media.s3.amazonaws.com%2Fpublic%2Fimages%2Fe0f71f84-ec91-49c2-8077-5ef4e71e0e04_1015x66.png 424w, https://substackcdn.com/image/fetch/$s_!Hg9I!,w_848,c_limit,f_webp,q_auto:good,fl_progressive:steep/https%3A%2F%2Fsubstack-post-media.s3.amazonaws.com%2Fpublic%2Fimages%2Fe0f71f84-ec91-49c2-8077-5ef4e71e0e04_1015x66.png 848w, https://substackcdn.com/image/fetch/$s_!Hg9I!,w_1272,c_limit,f_webp,q_auto:good,fl_progressive:steep/https%3A%2F%2Fsubstack-post-media.s3.amazonaws.com%2Fpublic%2Fimages%2Fe0f71f84-ec91-49c2-8077-5ef4e71e0e04_1015x66.png 1272w, https://substackcdn.com/image/fetch/$s_!Hg9I!,w_1456,c_limit,f_webp,q_auto:good,fl_progressive:steep/https%3A%2F%2Fsubstack-post-media.s3.amazonaws.com%2Fpublic%2Fimages%2Fe0f71f84-ec91-49c2-8077-5ef4e71e0e04_1015x66.png 1456w" sizes="100vw"><img src="https://substackcdn.com/image/fetch/$s_!Hg9I!,w_1456,c_limit,f_auto,q_auto:good,fl_progressive:steep/https%3A%2F%2Fsubstack-post-media.s3.amazonaws.com%2Fpublic%2Fimages%2Fe0f71f84-ec91-49c2-8077-5ef4e71e0e04_1015x66.png" width="1015" height="66" data-attrs="{&quot;src&quot;:&quot;https://substack-post-media.s3.amazonaws.com/public/images/e0f71f84-ec91-49c2-8077-5ef4e71e0e04_1015x66.png&quot;,&quot;srcNoWatermark&quot;:null,&quot;fullscreen&quot;:null,&quot;imageSize&quot;:null,&quot;height&quot;:66,&quot;width&quot;:1015,&quot;resizeWidth&quot;:null,&quot;bytes&quot;:null,&quot;alt&quot;:&quot;&quot;,&quot;title&quot;:null,&quot;type&quot;:null,&quot;href&quot;:null,&quot;belowTheFold&quot;:true,&quot;topImage&quot;:false,&quot;internalRedirect&quot;:null,&quot;isProcessing&quot;:false,&quot;align&quot;:null,&quot;offset&quot;:false}" class="sizing-normal" alt="" title="" srcset="https://substackcdn.com/image/fetch/$s_!Hg9I!,w_424,c_limit,f_auto,q_auto:good,fl_progressive:steep/https%3A%2F%2Fsubstack-post-media.s3.amazonaws.com%2Fpublic%2Fimages%2Fe0f71f84-ec91-49c2-8077-5ef4e71e0e04_1015x66.png 424w, https://substackcdn.com/image/fetch/$s_!Hg9I!,w_848,c_limit,f_auto,q_auto:good,fl_progressive:steep/https%3A%2F%2Fsubstack-post-media.s3.amazonaws.com%2Fpublic%2Fimages%2Fe0f71f84-ec91-49c2-8077-5ef4e71e0e04_1015x66.png 848w, https://substackcdn.com/image/fetch/$s_!Hg9I!,w_1272,c_limit,f_auto,q_auto:good,fl_progressive:steep/https%3A%2F%2Fsubstack-post-media.s3.amazonaws.com%2Fpublic%2Fimages%2Fe0f71f84-ec91-49c2-8077-5ef4e71e0e04_1015x66.png 1272w, https://substackcdn.com/image/fetch/$s_!Hg9I!,w_1456,c_limit,f_auto,q_auto:good,fl_progressive:steep/https%3A%2F%2Fsubstack-post-media.s3.amazonaws.com%2Fpublic%2Fimages%2Fe0f71f84-ec91-49c2-8077-5ef4e71e0e04_1015x66.png 1456w" sizes="100vw" loading="lazy"></picture><div></div></div></a></figure></div><h5>1. Heat Loss through Insulation Material (Qins)</h5><p>Qins is the heat loss through the insulation material.</p><div class="captioned-image-container"><figure><a class="image-link image2" target="_blank" href="https://substackcdn.com/image/fetch/$s_!FH3l!,f_auto,q_auto:good,fl_progressive:steep/https%3A%2F%2Fsubstack-post-media.s3.amazonaws.com%2Fpublic%2Fimages%2Fe9094eef-c695-48c3-a419-8427806de2a3_268x126.png" data-component-name="Image2ToDOM"><div class="image2-inset"><picture><source type="image/webp" srcset="https://substackcdn.com/image/fetch/$s_!FH3l!,w_424,c_limit,f_webp,q_auto:good,fl_progressive:steep/https%3A%2F%2Fsubstack-post-media.s3.amazonaws.com%2Fpublic%2Fimages%2Fe9094eef-c695-48c3-a419-8427806de2a3_268x126.png 424w, https://substackcdn.com/image/fetch/$s_!FH3l!,w_848,c_limit,f_webp,q_auto:good,fl_progressive:steep/https%3A%2F%2Fsubstack-post-media.s3.amazonaws.com%2Fpublic%2Fimages%2Fe9094eef-c695-48c3-a419-8427806de2a3_268x126.png 848w, https://substackcdn.com/image/fetch/$s_!FH3l!,w_1272,c_limit,f_webp,q_auto:good,fl_progressive:steep/https%3A%2F%2Fsubstack-post-media.s3.amazonaws.com%2Fpublic%2Fimages%2Fe9094eef-c695-48c3-a419-8427806de2a3_268x126.png 1272w, https://substackcdn.com/image/fetch/$s_!FH3l!,w_1456,c_limit,f_webp,q_auto:good,fl_progressive:steep/https%3A%2F%2Fsubstack-post-media.s3.amazonaws.com%2Fpublic%2Fimages%2Fe9094eef-c695-48c3-a419-8427806de2a3_268x126.png 1456w" sizes="100vw"><img src="https://substackcdn.com/image/fetch/$s_!FH3l!,w_1456,c_limit,f_auto,q_auto:good,fl_progressive:steep/https%3A%2F%2Fsubstack-post-media.s3.amazonaws.com%2Fpublic%2Fimages%2Fe9094eef-c695-48c3-a419-8427806de2a3_268x126.png" width="268" height="126" data-attrs="{&quot;src&quot;:&quot;https://substack-post-media.s3.amazonaws.com/public/images/e9094eef-c695-48c3-a419-8427806de2a3_268x126.png&quot;,&quot;srcNoWatermark&quot;:null,&quot;fullscreen&quot;:null,&quot;imageSize&quot;:null,&quot;height&quot;:126,&quot;width&quot;:268,&quot;resizeWidth&quot;:null,&quot;bytes&quot;:null,&quot;alt&quot;:&quot;&quot;,&quot;title&quot;:null,&quot;type&quot;:null,&quot;href&quot;:null,&quot;belowTheFold&quot;:true,&quot;topImage&quot;:false,&quot;internalRedirect&quot;:null,&quot;isProcessing&quot;:false,&quot;align&quot;:null,&quot;offset&quot;:false}" class="sizing-normal" alt="" title="" srcset="https://substackcdn.com/image/fetch/$s_!FH3l!,w_424,c_limit,f_auto,q_auto:good,fl_progressive:steep/https%3A%2F%2Fsubstack-post-media.s3.amazonaws.com%2Fpublic%2Fimages%2Fe9094eef-c695-48c3-a419-8427806de2a3_268x126.png 424w, https://substackcdn.com/image/fetch/$s_!FH3l!,w_848,c_limit,f_auto,q_auto:good,fl_progressive:steep/https%3A%2F%2Fsubstack-post-media.s3.amazonaws.com%2Fpublic%2Fimages%2Fe9094eef-c695-48c3-a419-8427806de2a3_268x126.png 848w, https://substackcdn.com/image/fetch/$s_!FH3l!,w_1272,c_limit,f_auto,q_auto:good,fl_progressive:steep/https%3A%2F%2Fsubstack-post-media.s3.amazonaws.com%2Fpublic%2Fimages%2Fe9094eef-c695-48c3-a419-8427806de2a3_268x126.png 1272w, https://substackcdn.com/image/fetch/$s_!FH3l!,w_1456,c_limit,f_auto,q_auto:good,fl_progressive:steep/https%3A%2F%2Fsubstack-post-media.s3.amazonaws.com%2Fpublic%2Fimages%2Fe9094eef-c695-48c3-a419-8427806de2a3_268x126.png 1456w" sizes="100vw" loading="lazy"></picture><div></div></div></a></figure></div><ul><li><p><em>Qins</em>: Heat loss through insulation (W)</p></li><li><p><em>A</em>: Tank surface area of the insulated region (m&#178;)</p></li><li><p><em>Tp</em>: Maintain temperature (&#176;C)</p></li><li><p><em>Ta</em>: Minimum ambient temperature (&#176;C)</p></li><li><p><em>x</em>: Thermal insulation thickness (m)</p></li><li><p><em>k</em>: Thermal insulation conductivity at mean temperature (W/m&#183;&#176;C)</p></li><li><p><em>hi</em>: Inside air contact coefficient from the tank to the inner insulation surface (W/m&#178;&#183;&#176;C)</p></li><li><p><em>hco</em>: Inside air contact coefficient from the outer insulation surface to the weather barrier (W/m&#178;&#183;&#176;C)</p></li><li><p><em>ho</em>: Outside air film coefficient from the weather barrier or outer insulation surface to the ambient temperature (W/m&#178;&#183;&#176;C)</p></li></ul><p></p><p>The equation accounts for the air between the insulation material and the tank, as well as the air between the outer surface of the insulation and the weather barrier, both of which provide some insulating effect.</p><p>For a more conservative calculation, let's assume that only the insulation material provides the insulating effect for the tank. In this case, the heat loss through the insulation material is calculated as follows:</p><div class="captioned-image-container"><figure><a class="image-link image2" target="_blank" href="https://substackcdn.com/image/fetch/$s_!G6Ic!,f_auto,q_auto:good,fl_progressive:steep/https%3A%2F%2Fsubstack-post-media.s3.amazonaws.com%2Fpublic%2Fimages%2F121b774a-906b-40c8-9ce2-1b84a8b5d6ab_186x77.png" data-component-name="Image2ToDOM"><div class="image2-inset"><picture><source type="image/webp" srcset="https://substackcdn.com/image/fetch/$s_!G6Ic!,w_424,c_limit,f_webp,q_auto:good,fl_progressive:steep/https%3A%2F%2Fsubstack-post-media.s3.amazonaws.com%2Fpublic%2Fimages%2F121b774a-906b-40c8-9ce2-1b84a8b5d6ab_186x77.png 424w, https://substackcdn.com/image/fetch/$s_!G6Ic!,w_848,c_limit,f_webp,q_auto:good,fl_progressive:steep/https%3A%2F%2Fsubstack-post-media.s3.amazonaws.com%2Fpublic%2Fimages%2F121b774a-906b-40c8-9ce2-1b84a8b5d6ab_186x77.png 848w, https://substackcdn.com/image/fetch/$s_!G6Ic!,w_1272,c_limit,f_webp,q_auto:good,fl_progressive:steep/https%3A%2F%2Fsubstack-post-media.s3.amazonaws.com%2Fpublic%2Fimages%2F121b774a-906b-40c8-9ce2-1b84a8b5d6ab_186x77.png 1272w, https://substackcdn.com/image/fetch/$s_!G6Ic!,w_1456,c_limit,f_webp,q_auto:good,fl_progressive:steep/https%3A%2F%2Fsubstack-post-media.s3.amazonaws.com%2Fpublic%2Fimages%2F121b774a-906b-40c8-9ce2-1b84a8b5d6ab_186x77.png 1456w" sizes="100vw"><img src="https://substackcdn.com/image/fetch/$s_!G6Ic!,w_1456,c_limit,f_auto,q_auto:good,fl_progressive:steep/https%3A%2F%2Fsubstack-post-media.s3.amazonaws.com%2Fpublic%2Fimages%2F121b774a-906b-40c8-9ce2-1b84a8b5d6ab_186x77.png" width="186" height="77" data-attrs="{&quot;src&quot;:&quot;https://substack-post-media.s3.amazonaws.com/public/images/121b774a-906b-40c8-9ce2-1b84a8b5d6ab_186x77.png&quot;,&quot;srcNoWatermark&quot;:null,&quot;fullscreen&quot;:null,&quot;imageSize&quot;:null,&quot;height&quot;:77,&quot;width&quot;:186,&quot;resizeWidth&quot;:null,&quot;bytes&quot;:null,&quot;alt&quot;:&quot;&quot;,&quot;title&quot;:null,&quot;type&quot;:null,&quot;href&quot;:null,&quot;belowTheFold&quot;:true,&quot;topImage&quot;:false,&quot;internalRedirect&quot;:null,&quot;isProcessing&quot;:false,&quot;align&quot;:null,&quot;offset&quot;:false}" class="sizing-normal" alt="" title="" srcset="https://substackcdn.com/image/fetch/$s_!G6Ic!,w_424,c_limit,f_auto,q_auto:good,fl_progressive:steep/https%3A%2F%2Fsubstack-post-media.s3.amazonaws.com%2Fpublic%2Fimages%2F121b774a-906b-40c8-9ce2-1b84a8b5d6ab_186x77.png 424w, https://substackcdn.com/image/fetch/$s_!G6Ic!,w_848,c_limit,f_auto,q_auto:good,fl_progressive:steep/https%3A%2F%2Fsubstack-post-media.s3.amazonaws.com%2Fpublic%2Fimages%2F121b774a-906b-40c8-9ce2-1b84a8b5d6ab_186x77.png 848w, https://substackcdn.com/image/fetch/$s_!G6Ic!,w_1272,c_limit,f_auto,q_auto:good,fl_progressive:steep/https%3A%2F%2Fsubstack-post-media.s3.amazonaws.com%2Fpublic%2Fimages%2F121b774a-906b-40c8-9ce2-1b84a8b5d6ab_186x77.png 1272w, https://substackcdn.com/image/fetch/$s_!G6Ic!,w_1456,c_limit,f_auto,q_auto:good,fl_progressive:steep/https%3A%2F%2Fsubstack-post-media.s3.amazonaws.com%2Fpublic%2Fimages%2F121b774a-906b-40c8-9ce2-1b84a8b5d6ab_186x77.png 1456w" sizes="100vw" loading="lazy"></picture><div></div></div></a></figure></div><ul><li><p><em>k</em>: Thermal insulation conductivity (W/m&#183;&#176;C)</p></li><li><p><em>A</em>: Tank surface area of the insulated region (m&#178;)</p></li><li><p><em>x</em>: Thermal insulation thickness (m)</p></li></ul><p>The equation in the Chromalox Design Guide is derived from this equation. This means the calculated <em>Q</em> value from the Chromalox Design guide assumes the entire tank is 100% fully covered with insulation, without any gaps that would cause heat loss.</p><p><strong>But what if the tank is sitting on a concrete surface, and the bottom of the tank is not insulated?</strong></p><h5>2. Slab Surface Area</h5><p>If the tank is on a concrete slab, we must consider the bottom part separately from the insulated areas. Usually, the edge of the slab experiences more heat loss, while the center has less. Once the temperature of each node is known, the following equation can be used to calculate the heat loss for that region of the slab.</p><div class="captioned-image-container"><figure><a class="image-link image2" target="_blank" href="https://substackcdn.com/image/fetch/$s_!PXDt!,f_auto,q_auto:good,fl_progressive:steep/https%3A%2F%2Fsubstack-post-media.s3.amazonaws.com%2Fpublic%2Fimages%2F70780594-4629-443d-bd5c-24433ceb5b02_247x127.png" data-component-name="Image2ToDOM"><div class="image2-inset"><picture><source type="image/webp" srcset="https://substackcdn.com/image/fetch/$s_!PXDt!,w_424,c_limit,f_webp,q_auto:good,fl_progressive:steep/https%3A%2F%2Fsubstack-post-media.s3.amazonaws.com%2Fpublic%2Fimages%2F70780594-4629-443d-bd5c-24433ceb5b02_247x127.png 424w, https://substackcdn.com/image/fetch/$s_!PXDt!,w_848,c_limit,f_webp,q_auto:good,fl_progressive:steep/https%3A%2F%2Fsubstack-post-media.s3.amazonaws.com%2Fpublic%2Fimages%2F70780594-4629-443d-bd5c-24433ceb5b02_247x127.png 848w, https://substackcdn.com/image/fetch/$s_!PXDt!,w_1272,c_limit,f_webp,q_auto:good,fl_progressive:steep/https%3A%2F%2Fsubstack-post-media.s3.amazonaws.com%2Fpublic%2Fimages%2F70780594-4629-443d-bd5c-24433ceb5b02_247x127.png 1272w, https://substackcdn.com/image/fetch/$s_!PXDt!,w_1456,c_limit,f_webp,q_auto:good,fl_progressive:steep/https%3A%2F%2Fsubstack-post-media.s3.amazonaws.com%2Fpublic%2Fimages%2F70780594-4629-443d-bd5c-24433ceb5b02_247x127.png 1456w" sizes="100vw"><img src="https://substackcdn.com/image/fetch/$s_!PXDt!,w_1456,c_limit,f_auto,q_auto:good,fl_progressive:steep/https%3A%2F%2Fsubstack-post-media.s3.amazonaws.com%2Fpublic%2Fimages%2F70780594-4629-443d-bd5c-24433ceb5b02_247x127.png" width="247" height="127" data-attrs="{&quot;src&quot;:&quot;https://substack-post-media.s3.amazonaws.com/public/images/70780594-4629-443d-bd5c-24433ceb5b02_247x127.png&quot;,&quot;srcNoWatermark&quot;:null,&quot;fullscreen&quot;:null,&quot;imageSize&quot;:null,&quot;height&quot;:127,&quot;width&quot;:247,&quot;resizeWidth&quot;:null,&quot;bytes&quot;:null,&quot;alt&quot;:&quot;&quot;,&quot;title&quot;:null,&quot;type&quot;:null,&quot;href&quot;:null,&quot;belowTheFold&quot;:true,&quot;topImage&quot;:false,&quot;internalRedirect&quot;:null,&quot;isProcessing&quot;:false,&quot;align&quot;:null,&quot;offset&quot;:false}" class="sizing-normal" alt="" title="" srcset="https://substackcdn.com/image/fetch/$s_!PXDt!,w_424,c_limit,f_auto,q_auto:good,fl_progressive:steep/https%3A%2F%2Fsubstack-post-media.s3.amazonaws.com%2Fpublic%2Fimages%2F70780594-4629-443d-bd5c-24433ceb5b02_247x127.png 424w, https://substackcdn.com/image/fetch/$s_!PXDt!,w_848,c_limit,f_auto,q_auto:good,fl_progressive:steep/https%3A%2F%2Fsubstack-post-media.s3.amazonaws.com%2Fpublic%2Fimages%2F70780594-4629-443d-bd5c-24433ceb5b02_247x127.png 848w, https://substackcdn.com/image/fetch/$s_!PXDt!,w_1272,c_limit,f_auto,q_auto:good,fl_progressive:steep/https%3A%2F%2Fsubstack-post-media.s3.amazonaws.com%2Fpublic%2Fimages%2F70780594-4629-443d-bd5c-24433ceb5b02_247x127.png 1272w, https://substackcdn.com/image/fetch/$s_!PXDt!,w_1456,c_limit,f_auto,q_auto:good,fl_progressive:steep/https%3A%2F%2Fsubstack-post-media.s3.amazonaws.com%2Fpublic%2Fimages%2F70780594-4629-443d-bd5c-24433ceb5b02_247x127.png 1456w" sizes="100vw" loading="lazy"></picture><div></div></div></a></figure></div><p>To calculate the exact additional heat loss through the slab surface, we need to calculate <em>Qnode</em> for each node and sum them up. This can be done using engineering software.</p><p><strong>Approximately, you could expect a 20% safety margin when the tank is on a concrete slab.</strong></p><h5><strong>3. Support heat loss</strong></h5><p>Supports in contact with the tank wall introduce additional heat loss, which can be calculated as follows:</p><div class="captioned-image-container"><figure><a class="image-link image2" target="_blank" href="https://substackcdn.com/image/fetch/$s_!t69m!,f_auto,q_auto:good,fl_progressive:steep/https%3A%2F%2Fsubstack-post-media.s3.amazonaws.com%2Fpublic%2Fimages%2F5807a4b1-0983-478a-b178-84083a1d0a45_336x51.png" data-component-name="Image2ToDOM"><div class="image2-inset"><picture><source type="image/webp" srcset="https://substackcdn.com/image/fetch/$s_!t69m!,w_424,c_limit,f_webp,q_auto:good,fl_progressive:steep/https%3A%2F%2Fsubstack-post-media.s3.amazonaws.com%2Fpublic%2Fimages%2F5807a4b1-0983-478a-b178-84083a1d0a45_336x51.png 424w, https://substackcdn.com/image/fetch/$s_!t69m!,w_848,c_limit,f_webp,q_auto:good,fl_progressive:steep/https%3A%2F%2Fsubstack-post-media.s3.amazonaws.com%2Fpublic%2Fimages%2F5807a4b1-0983-478a-b178-84083a1d0a45_336x51.png 848w, https://substackcdn.com/image/fetch/$s_!t69m!,w_1272,c_limit,f_webp,q_auto:good,fl_progressive:steep/https%3A%2F%2Fsubstack-post-media.s3.amazonaws.com%2Fpublic%2Fimages%2F5807a4b1-0983-478a-b178-84083a1d0a45_336x51.png 1272w, https://substackcdn.com/image/fetch/$s_!t69m!,w_1456,c_limit,f_webp,q_auto:good,fl_progressive:steep/https%3A%2F%2Fsubstack-post-media.s3.amazonaws.com%2Fpublic%2Fimages%2F5807a4b1-0983-478a-b178-84083a1d0a45_336x51.png 1456w" sizes="100vw"><img src="https://substackcdn.com/image/fetch/$s_!t69m!,w_1456,c_limit,f_auto,q_auto:good,fl_progressive:steep/https%3A%2F%2Fsubstack-post-media.s3.amazonaws.com%2Fpublic%2Fimages%2F5807a4b1-0983-478a-b178-84083a1d0a45_336x51.png" width="336" height="51" data-attrs="{&quot;src&quot;:&quot;https://substack-post-media.s3.amazonaws.com/public/images/5807a4b1-0983-478a-b178-84083a1d0a45_336x51.png&quot;,&quot;srcNoWatermark&quot;:null,&quot;fullscreen&quot;:null,&quot;imageSize&quot;:null,&quot;height&quot;:51,&quot;width&quot;:336,&quot;resizeWidth&quot;:null,&quot;bytes&quot;:null,&quot;alt&quot;:&quot;&quot;,&quot;title&quot;:null,&quot;type&quot;:null,&quot;href&quot;:null,&quot;belowTheFold&quot;:true,&quot;topImage&quot;:false,&quot;internalRedirect&quot;:null,&quot;isProcessing&quot;:false,&quot;align&quot;:null,&quot;offset&quot;:false}" class="sizing-normal" alt="" title="" srcset="https://substackcdn.com/image/fetch/$s_!t69m!,w_424,c_limit,f_auto,q_auto:good,fl_progressive:steep/https%3A%2F%2Fsubstack-post-media.s3.amazonaws.com%2Fpublic%2Fimages%2F5807a4b1-0983-478a-b178-84083a1d0a45_336x51.png 424w, https://substackcdn.com/image/fetch/$s_!t69m!,w_848,c_limit,f_auto,q_auto:good,fl_progressive:steep/https%3A%2F%2Fsubstack-post-media.s3.amazonaws.com%2Fpublic%2Fimages%2F5807a4b1-0983-478a-b178-84083a1d0a45_336x51.png 848w, https://substackcdn.com/image/fetch/$s_!t69m!,w_1272,c_limit,f_auto,q_auto:good,fl_progressive:steep/https%3A%2F%2Fsubstack-post-media.s3.amazonaws.com%2Fpublic%2Fimages%2F5807a4b1-0983-478a-b178-84083a1d0a45_336x51.png 1272w, https://substackcdn.com/image/fetch/$s_!t69m!,w_1456,c_limit,f_auto,q_auto:good,fl_progressive:steep/https%3A%2F%2Fsubstack-post-media.s3.amazonaws.com%2Fpublic%2Fimages%2F5807a4b1-0983-478a-b178-84083a1d0a45_336x51.png 1456w" sizes="100vw" loading="lazy"></picture><div></div></div></a></figure></div><ul><li><p><em>Qsupt</em>: Heat loss for individual support (W)</p></li><li><p><em>Ac</em>: Cross-sectional area of the support section that protrudes through the insulation (m&#178;)</p></li><li><p><em>P</em>: Perimeter of the support section (m)</p></li><li><p><em>Tp</em>: Maintain temperature (&#176;C)</p></li><li><p><em>Ta</em>: Minimum ambient temperature (&#176;C)</p></li><li><p><em>ks</em>: Thermal conductivity of the support (W/m&#183;&#176;C)</p></li><li><p><em>hf</em>: Convection coefficient from the exposed support surface to the ambient air (W/m&#178;&#183;&#176;C)</p></li><li><p><em>&#949;</em>: Efficiency of the fin, which is user-defined. In most cases, it is set to 1.</p></li></ul><p>The heat loss through the supports depends on factors like the support material, cross-sectional area, and the number of support</p><p>Based on these factors, an <strong>additional 10&#8211;20% safety factor due to the supports can be estimated.</strong></p><h5>4. Manhole heat loss</h5><p>If manholes are in contact with the fluid, their heat loss can be calculated using the same equation for insulation material heat loss.</p><p>If the manholes are fully insulated, the heat loss will be minimal, and <strong>can often be neglected.</strong></p><p>However, if part of the tank is uninsulated (e.g., a glass window or a top coverless bag filter), the heat loss will be significantly higher.</p><p>Depending on various factors, the heat loss from uninsulated areas can be up to 10 times greater than from insulated ones. In such cases, consider the area size and multiply the heat loss through insulation by 10 to estimate the additional heat required.</p><h3><strong>&lt;Conclusion&gt;</strong></h3><p>The heat loss of a tank (vessel) depends on multiple factors.</p><p><strong>Basically, 20% safety margin is encouraged.</strong></p><p><strong>If there is a concrete slab, an additional 20% is suggested. For supports, an extra 10&#8211;20% is recommended.</strong></p><p><strong>If there are uninsulated parts on the tank, additional heat loss should be accounted for, approximately 10 times the ratio of the uninsulated area to the total surface area of the tank.</strong></p><p>These values are not exact but are estimations.</p><p>Designers should understand the factors that impact heat loss and apply appropriate safety factors to ensure an accurate and safe design.</p><p></p><p></p><div class="subscription-widget-wrap-editor" data-attrs="{&quot;url&quot;:&quot;https://www.precisionnewsletter.com/subscribe?&quot;,&quot;text&quot;:&quot;Subscribe&quot;,&quot;language&quot;:&quot;en&quot;}" data-component-name="SubscribeWidgetToDOM"><div class="subscription-widget show-subscribe"><div class="preamble"><p class="cta-caption">Thanks for reading Precision Newsletter! Subscribe for free to receive new posts and support my work.</p></div><form class="subscription-widget-subscribe"><input type="email" class="email-input" name="email" placeholder="Type your email&#8230;" tabindex="-1"><input type="submit" class="button primary" value="Subscribe"><div class="fake-input-wrapper"><div class="fake-input"></div><div class="fake-button"></div></div></form></div></div>]]></content:encoded></item><item><title><![CDATA[Self-Regulating vs Mineral-Insulated : Comparison from Core Architectures to Key Features]]></title><description><![CDATA[Self-regulating (SR) heating cables are widely used in the industrial sector, but there are cases where mineral-insulated (MI) heating cables are preferred.]]></description><link>https://www.precisionnewsletter.com/p/self-regulating-vs-mineral-insulated-c35</link><guid isPermaLink="false">https://www.precisionnewsletter.com/p/self-regulating-vs-mineral-insulated-c35</guid><dc:creator><![CDATA[Jinwook Jung]]></dc:creator><pubDate>Thu, 02 Jan 2025 08:39:31 GMT</pubDate><enclosure url="https://substack-post-media.s3.amazonaws.com/public/images/0d3605a3-81a4-4bd2-8607-1cdec1cc880e_847x533.png" length="0" type="image/jpeg"/><content:encoded><![CDATA[<p><strong>Self-regulating (SR)</strong> heating cables are widely used in the industrial sector, but there are cases where <strong>mineral-insulated (MI)</strong> heating cables are preferred.</p><p>Typically, EHT engineers use MI cables for high-temperature applications (above 250&#176;C) and SR cables for standard temperatures. While this approach isn&#8217;t wrong, it only addresses one aspect of the differences between the two types of cables.</p><div class="subscription-widget-wrap-editor" data-attrs="{&quot;url&quot;:&quot;https://www.precisionnewsletter.com/subscribe?&quot;,&quot;text&quot;:&quot;Subscribe&quot;,&quot;language&quot;:&quot;en&quot;}" data-component-name="SubscribeWidgetToDOM"><div class="subscription-widget show-subscribe"><div class="preamble"><p class="cta-caption">Thanks for reading Precision Newsletter! Subscribe for free to receive new posts and support my work.</p></div><form class="subscription-widget-subscribe"><input type="email" class="email-input" name="email" placeholder="Type your email&#8230;" tabindex="-1"><input type="submit" class="button primary" value="Subscribe"><div class="fake-input-wrapper"><div class="fake-input"></div><div class="fake-button"></div></div></form></div></div><p>In this article, we&#8217;ll explore the structure, materials, and characteristics of each cable to better understand which is best suited for different conditions.</p><div><hr></div><h4>&lt;<strong>Self-Regulating Heating Cable</strong>&gt;</h4><h5><strong>1. Cable Structure</strong></h5><div class="captioned-image-container"><figure><a class="image-link image2 is-viewable-img" target="_blank" href="https://substackcdn.com/image/fetch/$s_!LYYr!,f_auto,q_auto:good,fl_progressive:steep/https%3A%2F%2Fsubstack-post-media.s3.amazonaws.com%2Fpublic%2Fimages%2Fd34e820e-888b-4d3a-8000-54b07568b8dd_984x294.png" data-component-name="Image2ToDOM"><div class="image2-inset"><picture><source type="image/webp" srcset="https://substackcdn.com/image/fetch/$s_!LYYr!,w_424,c_limit,f_webp,q_auto:good,fl_progressive:steep/https%3A%2F%2Fsubstack-post-media.s3.amazonaws.com%2Fpublic%2Fimages%2Fd34e820e-888b-4d3a-8000-54b07568b8dd_984x294.png 424w, https://substackcdn.com/image/fetch/$s_!LYYr!,w_848,c_limit,f_webp,q_auto:good,fl_progressive:steep/https%3A%2F%2Fsubstack-post-media.s3.amazonaws.com%2Fpublic%2Fimages%2Fd34e820e-888b-4d3a-8000-54b07568b8dd_984x294.png 848w, https://substackcdn.com/image/fetch/$s_!LYYr!,w_1272,c_limit,f_webp,q_auto:good,fl_progressive:steep/https%3A%2F%2Fsubstack-post-media.s3.amazonaws.com%2Fpublic%2Fimages%2Fd34e820e-888b-4d3a-8000-54b07568b8dd_984x294.png 1272w, https://substackcdn.com/image/fetch/$s_!LYYr!,w_1456,c_limit,f_webp,q_auto:good,fl_progressive:steep/https%3A%2F%2Fsubstack-post-media.s3.amazonaws.com%2Fpublic%2Fimages%2Fd34e820e-888b-4d3a-8000-54b07568b8dd_984x294.png 1456w" sizes="100vw"><img src="https://substackcdn.com/image/fetch/$s_!LYYr!,w_1456,c_limit,f_auto,q_auto:good,fl_progressive:steep/https%3A%2F%2Fsubstack-post-media.s3.amazonaws.com%2Fpublic%2Fimages%2Fd34e820e-888b-4d3a-8000-54b07568b8dd_984x294.png" width="984" height="294" data-attrs="{&quot;src&quot;:&quot;https://substack-post-media.s3.amazonaws.com/public/images/d34e820e-888b-4d3a-8000-54b07568b8dd_984x294.png&quot;,&quot;srcNoWatermark&quot;:null,&quot;fullscreen&quot;:null,&quot;imageSize&quot;:null,&quot;height&quot;:294,&quot;width&quot;:984,&quot;resizeWidth&quot;:null,&quot;bytes&quot;:null,&quot;alt&quot;:&quot;&quot;,&quot;title&quot;:null,&quot;type&quot;:null,&quot;href&quot;:null,&quot;belowTheFold&quot;:false,&quot;topImage&quot;:true,&quot;internalRedirect&quot;:null,&quot;isProcessing&quot;:false,&quot;align&quot;:null,&quot;offset&quot;:false}" class="sizing-normal" alt="" title="" srcset="https://substackcdn.com/image/fetch/$s_!LYYr!,w_424,c_limit,f_auto,q_auto:good,fl_progressive:steep/https%3A%2F%2Fsubstack-post-media.s3.amazonaws.com%2Fpublic%2Fimages%2Fd34e820e-888b-4d3a-8000-54b07568b8dd_984x294.png 424w, https://substackcdn.com/image/fetch/$s_!LYYr!,w_848,c_limit,f_auto,q_auto:good,fl_progressive:steep/https%3A%2F%2Fsubstack-post-media.s3.amazonaws.com%2Fpublic%2Fimages%2Fd34e820e-888b-4d3a-8000-54b07568b8dd_984x294.png 848w, https://substackcdn.com/image/fetch/$s_!LYYr!,w_1272,c_limit,f_auto,q_auto:good,fl_progressive:steep/https%3A%2F%2Fsubstack-post-media.s3.amazonaws.com%2Fpublic%2Fimages%2Fd34e820e-888b-4d3a-8000-54b07568b8dd_984x294.png 1272w, https://substackcdn.com/image/fetch/$s_!LYYr!,w_1456,c_limit,f_auto,q_auto:good,fl_progressive:steep/https%3A%2F%2Fsubstack-post-media.s3.amazonaws.com%2Fpublic%2Fimages%2Fd34e820e-888b-4d3a-8000-54b07568b8dd_984x294.png 1456w" sizes="100vw" fetchpriority="high"></picture><div class="image-link-expand"><div class="pencraft pc-display-flex pc-gap-8 pc-reset"><button tabindex="0" type="button" class="pencraft pc-reset pencraft icon-container restack-image"><svg role="img" width="20" height="20" viewBox="0 0 20 20" fill="none" stroke-width="1.5" stroke="var(--color-fg-primary)" stroke-linecap="round" stroke-linejoin="round" xmlns="http://www.w3.org/2000/svg"><g><title></title><path d="M2.53001 7.81595C3.49179 4.73911 6.43281 2.5 9.91173 2.5C13.1684 2.5 15.9537 4.46214 17.0852 7.23684L17.6179 8.67647M17.6179 8.67647L18.5002 4.26471M17.6179 8.67647L13.6473 6.91176M17.4995 12.1841C16.5378 15.2609 13.5967 17.5 10.1178 17.5C6.86118 17.5 4.07589 15.5379 2.94432 12.7632L2.41165 11.3235M2.41165 11.3235L1.5293 15.7353M2.41165 11.3235L6.38224 13.0882"></path></g></svg></button><button tabindex="0" type="button" class="pencraft pc-reset pencraft icon-container view-image"><svg xmlns="http://www.w3.org/2000/svg" width="20" height="20" viewBox="0 0 24 24" fill="none" stroke="currentColor" stroke-width="2" stroke-linecap="round" stroke-linejoin="round" class="lucide lucide-maximize2 lucide-maximize-2"><polyline points="15 3 21 3 21 9"></polyline><polyline points="9 21 3 21 3 15"></polyline><line x1="21" x2="14" y1="3" y2="10"></line><line x1="3" x2="10" y1="21" y2="14"></line></svg></button></div></div></div></a></figure></div><ul><li><p><strong>A: Buss Wire</strong></p></li><li><p><strong>B: Core Matrix</strong></p></li><li><p><strong>C: First Jacket</strong></p></li><li><p><strong>D: Metallic Braid</strong></p></li><li><p><strong>E: Overjacket</strong></p></li></ul><p>The copper buss wires provide electrical current to the core matrix, which is made of a semi-conductive polymer that generates heat. The materials used for the first jacket and overjacket vary depending on the operating temperature of the cable.</p><div class="captioned-image-container"><figure><a class="image-link image2 is-viewable-img" target="_blank" href="https://substackcdn.com/image/fetch/$s_!pgRH!,f_auto,q_auto:good,fl_progressive:steep/https%3A%2F%2Fsubstack-post-media.s3.amazonaws.com%2Fpublic%2Fimages%2Fe1b83949-101b-4c80-ae39-7e19bf711371_445x559.png" data-component-name="Image2ToDOM"><div class="image2-inset"><picture><source type="image/webp" srcset="https://substackcdn.com/image/fetch/$s_!pgRH!,w_424,c_limit,f_webp,q_auto:good,fl_progressive:steep/https%3A%2F%2Fsubstack-post-media.s3.amazonaws.com%2Fpublic%2Fimages%2Fe1b83949-101b-4c80-ae39-7e19bf711371_445x559.png 424w, https://substackcdn.com/image/fetch/$s_!pgRH!,w_848,c_limit,f_webp,q_auto:good,fl_progressive:steep/https%3A%2F%2Fsubstack-post-media.s3.amazonaws.com%2Fpublic%2Fimages%2Fe1b83949-101b-4c80-ae39-7e19bf711371_445x559.png 848w, https://substackcdn.com/image/fetch/$s_!pgRH!,w_1272,c_limit,f_webp,q_auto:good,fl_progressive:steep/https%3A%2F%2Fsubstack-post-media.s3.amazonaws.com%2Fpublic%2Fimages%2Fe1b83949-101b-4c80-ae39-7e19bf711371_445x559.png 1272w, https://substackcdn.com/image/fetch/$s_!pgRH!,w_1456,c_limit,f_webp,q_auto:good,fl_progressive:steep/https%3A%2F%2Fsubstack-post-media.s3.amazonaws.com%2Fpublic%2Fimages%2Fe1b83949-101b-4c80-ae39-7e19bf711371_445x559.png 1456w" sizes="100vw"><img src="https://substackcdn.com/image/fetch/$s_!pgRH!,w_1456,c_limit,f_auto,q_auto:good,fl_progressive:steep/https%3A%2F%2Fsubstack-post-media.s3.amazonaws.com%2Fpublic%2Fimages%2Fe1b83949-101b-4c80-ae39-7e19bf711371_445x559.png" width="445" height="559" data-attrs="{&quot;src&quot;:&quot;https://substack-post-media.s3.amazonaws.com/public/images/e1b83949-101b-4c80-ae39-7e19bf711371_445x559.png&quot;,&quot;srcNoWatermark&quot;:null,&quot;fullscreen&quot;:null,&quot;imageSize&quot;:null,&quot;height&quot;:559,&quot;width&quot;:445,&quot;resizeWidth&quot;:null,&quot;bytes&quot;:null,&quot;alt&quot;:&quot;&quot;,&quot;title&quot;:null,&quot;type&quot;:null,&quot;href&quot;:null,&quot;belowTheFold&quot;:true,&quot;topImage&quot;:false,&quot;internalRedirect&quot;:null,&quot;isProcessing&quot;:false,&quot;align&quot;:null,&quot;offset&quot;:false}" class="sizing-normal" alt="" title="" srcset="https://substackcdn.com/image/fetch/$s_!pgRH!,w_424,c_limit,f_auto,q_auto:good,fl_progressive:steep/https%3A%2F%2Fsubstack-post-media.s3.amazonaws.com%2Fpublic%2Fimages%2Fe1b83949-101b-4c80-ae39-7e19bf711371_445x559.png 424w, https://substackcdn.com/image/fetch/$s_!pgRH!,w_848,c_limit,f_auto,q_auto:good,fl_progressive:steep/https%3A%2F%2Fsubstack-post-media.s3.amazonaws.com%2Fpublic%2Fimages%2Fe1b83949-101b-4c80-ae39-7e19bf711371_445x559.png 848w, https://substackcdn.com/image/fetch/$s_!pgRH!,w_1272,c_limit,f_auto,q_auto:good,fl_progressive:steep/https%3A%2F%2Fsubstack-post-media.s3.amazonaws.com%2Fpublic%2Fimages%2Fe1b83949-101b-4c80-ae39-7e19bf711371_445x559.png 1272w, https://substackcdn.com/image/fetch/$s_!pgRH!,w_1456,c_limit,f_auto,q_auto:good,fl_progressive:steep/https%3A%2F%2Fsubstack-post-media.s3.amazonaws.com%2Fpublic%2Fimages%2Fe1b83949-101b-4c80-ae39-7e19bf711371_445x559.png 1456w" sizes="100vw" loading="lazy"></picture><div class="image-link-expand"><div class="pencraft pc-display-flex pc-gap-8 pc-reset"><button tabindex="0" type="button" class="pencraft pc-reset pencraft icon-container restack-image"><svg role="img" width="20" height="20" viewBox="0 0 20 20" fill="none" stroke-width="1.5" stroke="var(--color-fg-primary)" stroke-linecap="round" stroke-linejoin="round" xmlns="http://www.w3.org/2000/svg"><g><title></title><path d="M2.53001 7.81595C3.49179 4.73911 6.43281 2.5 9.91173 2.5C13.1684 2.5 15.9537 4.46214 17.0852 7.23684L17.6179 8.67647M17.6179 8.67647L18.5002 4.26471M17.6179 8.67647L13.6473 6.91176M17.4995 12.1841C16.5378 15.2609 13.5967 17.5 10.1178 17.5C6.86118 17.5 4.07589 15.5379 2.94432 12.7632L2.41165 11.3235M2.41165 11.3235L1.5293 15.7353M2.41165 11.3235L6.38224 13.0882"></path></g></svg></button><button tabindex="0" type="button" class="pencraft pc-reset pencraft icon-container view-image"><svg xmlns="http://www.w3.org/2000/svg" width="20" height="20" viewBox="0 0 24 24" fill="none" stroke="currentColor" stroke-width="2" stroke-linecap="round" stroke-linejoin="round" class="lucide lucide-maximize2 lucide-maximize-2"><polyline points="15 3 21 3 21 9"></polyline><polyline points="9 21 3 21 3 15"></polyline><line x1="21" x2="14" y1="3" y2="10"></line><line x1="3" x2="10" y1="21" y2="14"></line></svg></button></div></div></div></a></figure></div><p>(Different types of plastic materials for jacket. As thermal resistance increase, cost rises)</p><h5><strong>2. Operating Principle: PTC (Positive Temperature Coefficient) Effect</strong></h5><p>As the name suggests, self-regulating heating cables adjust their heat output automatically. They produce more heat when the cable temperature is low and less when it is high.</p><p>The heating matrix consists of a polymer mixed with conductive particles like carbon or metal.</p><div class="captioned-image-container"><figure><a class="image-link image2 is-viewable-img" target="_blank" href="https://substackcdn.com/image/fetch/$s_!s3J4!,f_auto,q_auto:good,fl_progressive:steep/https%3A%2F%2Fsubstack-post-media.s3.amazonaws.com%2Fpublic%2Fimages%2F572b0ae6-b046-4b0f-957b-2145d80e5017_650x250.jpeg" data-component-name="Image2ToDOM"><div class="image2-inset"><picture><source type="image/webp" srcset="https://substackcdn.com/image/fetch/$s_!s3J4!,w_424,c_limit,f_webp,q_auto:good,fl_progressive:steep/https%3A%2F%2Fsubstack-post-media.s3.amazonaws.com%2Fpublic%2Fimages%2F572b0ae6-b046-4b0f-957b-2145d80e5017_650x250.jpeg 424w, https://substackcdn.com/image/fetch/$s_!s3J4!,w_848,c_limit,f_webp,q_auto:good,fl_progressive:steep/https%3A%2F%2Fsubstack-post-media.s3.amazonaws.com%2Fpublic%2Fimages%2F572b0ae6-b046-4b0f-957b-2145d80e5017_650x250.jpeg 848w, https://substackcdn.com/image/fetch/$s_!s3J4!,w_1272,c_limit,f_webp,q_auto:good,fl_progressive:steep/https%3A%2F%2Fsubstack-post-media.s3.amazonaws.com%2Fpublic%2Fimages%2F572b0ae6-b046-4b0f-957b-2145d80e5017_650x250.jpeg 1272w, https://substackcdn.com/image/fetch/$s_!s3J4!,w_1456,c_limit,f_webp,q_auto:good,fl_progressive:steep/https%3A%2F%2Fsubstack-post-media.s3.amazonaws.com%2Fpublic%2Fimages%2F572b0ae6-b046-4b0f-957b-2145d80e5017_650x250.jpeg 1456w" sizes="100vw"><img src="https://substackcdn.com/image/fetch/$s_!s3J4!,w_1456,c_limit,f_auto,q_auto:good,fl_progressive:steep/https%3A%2F%2Fsubstack-post-media.s3.amazonaws.com%2Fpublic%2Fimages%2F572b0ae6-b046-4b0f-957b-2145d80e5017_650x250.jpeg" width="650" height="250" data-attrs="{&quot;src&quot;:&quot;https://substack-post-media.s3.amazonaws.com/public/images/572b0ae6-b046-4b0f-957b-2145d80e5017_650x250.jpeg&quot;,&quot;srcNoWatermark&quot;:null,&quot;fullscreen&quot;:null,&quot;imageSize&quot;:null,&quot;height&quot;:250,&quot;width&quot;:650,&quot;resizeWidth&quot;:null,&quot;bytes&quot;:null,&quot;alt&quot;:&quot;&quot;,&quot;title&quot;:null,&quot;type&quot;:null,&quot;href&quot;:null,&quot;belowTheFold&quot;:true,&quot;topImage&quot;:false,&quot;internalRedirect&quot;:null,&quot;isProcessing&quot;:false,&quot;align&quot;:null,&quot;offset&quot;:false}" class="sizing-normal" alt="" title="" srcset="https://substackcdn.com/image/fetch/$s_!s3J4!,w_424,c_limit,f_auto,q_auto:good,fl_progressive:steep/https%3A%2F%2Fsubstack-post-media.s3.amazonaws.com%2Fpublic%2Fimages%2F572b0ae6-b046-4b0f-957b-2145d80e5017_650x250.jpeg 424w, https://substackcdn.com/image/fetch/$s_!s3J4!,w_848,c_limit,f_auto,q_auto:good,fl_progressive:steep/https%3A%2F%2Fsubstack-post-media.s3.amazonaws.com%2Fpublic%2Fimages%2F572b0ae6-b046-4b0f-957b-2145d80e5017_650x250.jpeg 848w, https://substackcdn.com/image/fetch/$s_!s3J4!,w_1272,c_limit,f_auto,q_auto:good,fl_progressive:steep/https%3A%2F%2Fsubstack-post-media.s3.amazonaws.com%2Fpublic%2Fimages%2F572b0ae6-b046-4b0f-957b-2145d80e5017_650x250.jpeg 1272w, https://substackcdn.com/image/fetch/$s_!s3J4!,w_1456,c_limit,f_auto,q_auto:good,fl_progressive:steep/https%3A%2F%2Fsubstack-post-media.s3.amazonaws.com%2Fpublic%2Fimages%2F572b0ae6-b046-4b0f-957b-2145d80e5017_650x250.jpeg 1456w" sizes="100vw" loading="lazy"></picture><div class="image-link-expand"><div class="pencraft pc-display-flex pc-gap-8 pc-reset"><button tabindex="0" type="button" class="pencraft pc-reset pencraft icon-container restack-image"><svg role="img" width="20" height="20" viewBox="0 0 20 20" fill="none" stroke-width="1.5" stroke="var(--color-fg-primary)" stroke-linecap="round" stroke-linejoin="round" xmlns="http://www.w3.org/2000/svg"><g><title></title><path d="M2.53001 7.81595C3.49179 4.73911 6.43281 2.5 9.91173 2.5C13.1684 2.5 15.9537 4.46214 17.0852 7.23684L17.6179 8.67647M17.6179 8.67647L18.5002 4.26471M17.6179 8.67647L13.6473 6.91176M17.4995 12.1841C16.5378 15.2609 13.5967 17.5 10.1178 17.5C6.86118 17.5 4.07589 15.5379 2.94432 12.7632L2.41165 11.3235M2.41165 11.3235L1.5293 15.7353M2.41165 11.3235L6.38224 13.0882"></path></g></svg></button><button tabindex="0" type="button" class="pencraft pc-reset pencraft icon-container view-image"><svg xmlns="http://www.w3.org/2000/svg" width="20" height="20" viewBox="0 0 24 24" fill="none" stroke="currentColor" stroke-width="2" stroke-linecap="round" stroke-linejoin="round" class="lucide lucide-maximize2 lucide-maximize-2"><polyline points="15 3 21 3 21 9"></polyline><polyline points="9 21 3 21 3 15"></polyline><line x1="21" x2="14" y1="3" y2="10"></line><line x1="3" x2="10" y1="21" y2="14"></line></svg></button></div></div></div></a></figure></div><p>At <strong>low temperatures</strong>, these particles form a <strong>conductive network</strong> that allows current to flow freely, generating heat. During this phase, <strong>resistance is low</strong>, enabling <strong>more current</strong> to pass through.</p><p>As the <strong>temperature rises</strong>, the polymer expands, causing the conductive particles to spread apart, which disrupts the electrical pathways. This <strong>increases resistance</strong> and <strong>reduces the current </strong>flow.</p><p>Through the PTC effect, the cable enhances energy efficiency and prevents overheating, ensuring safety.</p><h5>3. Characteristics</h5><p>SR heating cables operate in a parallel circuit configuration. Imagine segments of resistance (R1, R2, R3, etc.) connected in parallel.</p><div class="captioned-image-container"><figure><a class="image-link image2 is-viewable-img" target="_blank" href="https://substackcdn.com/image/fetch/$s_!Y_yk!,f_auto,q_auto:good,fl_progressive:steep/https%3A%2F%2Fsubstack-post-media.s3.amazonaws.com%2Fpublic%2Fimages%2Fcaea7900-cacd-455d-a347-1b0d745debb2_663x310.png" data-component-name="Image2ToDOM"><div class="image2-inset"><picture><source type="image/webp" srcset="https://substackcdn.com/image/fetch/$s_!Y_yk!,w_424,c_limit,f_webp,q_auto:good,fl_progressive:steep/https%3A%2F%2Fsubstack-post-media.s3.amazonaws.com%2Fpublic%2Fimages%2Fcaea7900-cacd-455d-a347-1b0d745debb2_663x310.png 424w, https://substackcdn.com/image/fetch/$s_!Y_yk!,w_848,c_limit,f_webp,q_auto:good,fl_progressive:steep/https%3A%2F%2Fsubstack-post-media.s3.amazonaws.com%2Fpublic%2Fimages%2Fcaea7900-cacd-455d-a347-1b0d745debb2_663x310.png 848w, https://substackcdn.com/image/fetch/$s_!Y_yk!,w_1272,c_limit,f_webp,q_auto:good,fl_progressive:steep/https%3A%2F%2Fsubstack-post-media.s3.amazonaws.com%2Fpublic%2Fimages%2Fcaea7900-cacd-455d-a347-1b0d745debb2_663x310.png 1272w, https://substackcdn.com/image/fetch/$s_!Y_yk!,w_1456,c_limit,f_webp,q_auto:good,fl_progressive:steep/https%3A%2F%2Fsubstack-post-media.s3.amazonaws.com%2Fpublic%2Fimages%2Fcaea7900-cacd-455d-a347-1b0d745debb2_663x310.png 1456w" sizes="100vw"><img src="https://substackcdn.com/image/fetch/$s_!Y_yk!,w_1456,c_limit,f_auto,q_auto:good,fl_progressive:steep/https%3A%2F%2Fsubstack-post-media.s3.amazonaws.com%2Fpublic%2Fimages%2Fcaea7900-cacd-455d-a347-1b0d745debb2_663x310.png" width="663" height="310" data-attrs="{&quot;src&quot;:&quot;https://substack-post-media.s3.amazonaws.com/public/images/caea7900-cacd-455d-a347-1b0d745debb2_663x310.png&quot;,&quot;srcNoWatermark&quot;:null,&quot;fullscreen&quot;:null,&quot;imageSize&quot;:null,&quot;height&quot;:310,&quot;width&quot;:663,&quot;resizeWidth&quot;:null,&quot;bytes&quot;:null,&quot;alt&quot;:&quot;&quot;,&quot;title&quot;:null,&quot;type&quot;:null,&quot;href&quot;:null,&quot;belowTheFold&quot;:true,&quot;topImage&quot;:false,&quot;internalRedirect&quot;:null,&quot;isProcessing&quot;:false,&quot;align&quot;:null,&quot;offset&quot;:false}" class="sizing-normal" alt="" title="" srcset="https://substackcdn.com/image/fetch/$s_!Y_yk!,w_424,c_limit,f_auto,q_auto:good,fl_progressive:steep/https%3A%2F%2Fsubstack-post-media.s3.amazonaws.com%2Fpublic%2Fimages%2Fcaea7900-cacd-455d-a347-1b0d745debb2_663x310.png 424w, https://substackcdn.com/image/fetch/$s_!Y_yk!,w_848,c_limit,f_auto,q_auto:good,fl_progressive:steep/https%3A%2F%2Fsubstack-post-media.s3.amazonaws.com%2Fpublic%2Fimages%2Fcaea7900-cacd-455d-a347-1b0d745debb2_663x310.png 848w, https://substackcdn.com/image/fetch/$s_!Y_yk!,w_1272,c_limit,f_auto,q_auto:good,fl_progressive:steep/https%3A%2F%2Fsubstack-post-media.s3.amazonaws.com%2Fpublic%2Fimages%2Fcaea7900-cacd-455d-a347-1b0d745debb2_663x310.png 1272w, https://substackcdn.com/image/fetch/$s_!Y_yk!,w_1456,c_limit,f_auto,q_auto:good,fl_progressive:steep/https%3A%2F%2Fsubstack-post-media.s3.amazonaws.com%2Fpublic%2Fimages%2Fcaea7900-cacd-455d-a347-1b0d745debb2_663x310.png 1456w" sizes="100vw" loading="lazy"></picture><div class="image-link-expand"><div class="pencraft pc-display-flex pc-gap-8 pc-reset"><button tabindex="0" type="button" class="pencraft pc-reset pencraft icon-container restack-image"><svg role="img" width="20" height="20" viewBox="0 0 20 20" fill="none" stroke-width="1.5" stroke="var(--color-fg-primary)" stroke-linecap="round" stroke-linejoin="round" xmlns="http://www.w3.org/2000/svg"><g><title></title><path d="M2.53001 7.81595C3.49179 4.73911 6.43281 2.5 9.91173 2.5C13.1684 2.5 15.9537 4.46214 17.0852 7.23684L17.6179 8.67647M17.6179 8.67647L18.5002 4.26471M17.6179 8.67647L13.6473 6.91176M17.4995 12.1841C16.5378 15.2609 13.5967 17.5 10.1178 17.5C6.86118 17.5 4.07589 15.5379 2.94432 12.7632L2.41165 11.3235M2.41165 11.3235L1.5293 15.7353M2.41165 11.3235L6.38224 13.0882"></path></g></svg></button><button tabindex="0" type="button" class="pencraft pc-reset pencraft icon-container view-image"><svg xmlns="http://www.w3.org/2000/svg" width="20" height="20" viewBox="0 0 24 24" fill="none" stroke="currentColor" stroke-width="2" stroke-linecap="round" stroke-linejoin="round" class="lucide lucide-maximize2 lucide-maximize-2"><polyline points="15 3 21 3 21 9"></polyline><polyline points="9 21 3 21 3 15"></polyline><line x1="21" x2="14" y1="3" y2="10"></line><line x1="3" x2="10" y1="21" y2="14"></line></svg></button></div></div></div></a></figure></div><div class="captioned-image-container"><figure><a class="image-link image2 is-viewable-img" target="_blank" href="https://substackcdn.com/image/fetch/$s_!Gf5X!,f_auto,q_auto:good,fl_progressive:steep/https%3A%2F%2Fsubstack-post-media.s3.amazonaws.com%2Fpublic%2Fimages%2Fd2c23592-883b-4def-90a7-4bc41c2ef751_385x241.png" data-component-name="Image2ToDOM"><div class="image2-inset"><picture><source type="image/webp" srcset="https://substackcdn.com/image/fetch/$s_!Gf5X!,w_424,c_limit,f_webp,q_auto:good,fl_progressive:steep/https%3A%2F%2Fsubstack-post-media.s3.amazonaws.com%2Fpublic%2Fimages%2Fd2c23592-883b-4def-90a7-4bc41c2ef751_385x241.png 424w, https://substackcdn.com/image/fetch/$s_!Gf5X!,w_848,c_limit,f_webp,q_auto:good,fl_progressive:steep/https%3A%2F%2Fsubstack-post-media.s3.amazonaws.com%2Fpublic%2Fimages%2Fd2c23592-883b-4def-90a7-4bc41c2ef751_385x241.png 848w, https://substackcdn.com/image/fetch/$s_!Gf5X!,w_1272,c_limit,f_webp,q_auto:good,fl_progressive:steep/https%3A%2F%2Fsubstack-post-media.s3.amazonaws.com%2Fpublic%2Fimages%2Fd2c23592-883b-4def-90a7-4bc41c2ef751_385x241.png 1272w, https://substackcdn.com/image/fetch/$s_!Gf5X!,w_1456,c_limit,f_webp,q_auto:good,fl_progressive:steep/https%3A%2F%2Fsubstack-post-media.s3.amazonaws.com%2Fpublic%2Fimages%2Fd2c23592-883b-4def-90a7-4bc41c2ef751_385x241.png 1456w" sizes="100vw"><img src="https://substackcdn.com/image/fetch/$s_!Gf5X!,w_1456,c_limit,f_auto,q_auto:good,fl_progressive:steep/https%3A%2F%2Fsubstack-post-media.s3.amazonaws.com%2Fpublic%2Fimages%2Fd2c23592-883b-4def-90a7-4bc41c2ef751_385x241.png" width="385" height="241" data-attrs="{&quot;src&quot;:&quot;https://substack-post-media.s3.amazonaws.com/public/images/d2c23592-883b-4def-90a7-4bc41c2ef751_385x241.png&quot;,&quot;srcNoWatermark&quot;:null,&quot;fullscreen&quot;:null,&quot;imageSize&quot;:null,&quot;height&quot;:241,&quot;width&quot;:385,&quot;resizeWidth&quot;:null,&quot;bytes&quot;:null,&quot;alt&quot;:&quot;&quot;,&quot;title&quot;:null,&quot;type&quot;:null,&quot;href&quot;:null,&quot;belowTheFold&quot;:true,&quot;topImage&quot;:false,&quot;internalRedirect&quot;:null,&quot;isProcessing&quot;:false,&quot;align&quot;:null,&quot;offset&quot;:false}" class="sizing-normal" alt="" title="" srcset="https://substackcdn.com/image/fetch/$s_!Gf5X!,w_424,c_limit,f_auto,q_auto:good,fl_progressive:steep/https%3A%2F%2Fsubstack-post-media.s3.amazonaws.com%2Fpublic%2Fimages%2Fd2c23592-883b-4def-90a7-4bc41c2ef751_385x241.png 424w, https://substackcdn.com/image/fetch/$s_!Gf5X!,w_848,c_limit,f_auto,q_auto:good,fl_progressive:steep/https%3A%2F%2Fsubstack-post-media.s3.amazonaws.com%2Fpublic%2Fimages%2Fd2c23592-883b-4def-90a7-4bc41c2ef751_385x241.png 848w, https://substackcdn.com/image/fetch/$s_!Gf5X!,w_1272,c_limit,f_auto,q_auto:good,fl_progressive:steep/https%3A%2F%2Fsubstack-post-media.s3.amazonaws.com%2Fpublic%2Fimages%2Fd2c23592-883b-4def-90a7-4bc41c2ef751_385x241.png 1272w, https://substackcdn.com/image/fetch/$s_!Gf5X!,w_1456,c_limit,f_auto,q_auto:good,fl_progressive:steep/https%3A%2F%2Fsubstack-post-media.s3.amazonaws.com%2Fpublic%2Fimages%2Fd2c23592-883b-4def-90a7-4bc41c2ef751_385x241.png 1456w" sizes="100vw" loading="lazy"></picture><div class="image-link-expand"><div class="pencraft pc-display-flex pc-gap-8 pc-reset"><button tabindex="0" type="button" class="pencraft pc-reset pencraft icon-container restack-image"><svg role="img" width="20" height="20" viewBox="0 0 20 20" fill="none" stroke-width="1.5" stroke="var(--color-fg-primary)" stroke-linecap="round" stroke-linejoin="round" xmlns="http://www.w3.org/2000/svg"><g><title></title><path d="M2.53001 7.81595C3.49179 4.73911 6.43281 2.5 9.91173 2.5C13.1684 2.5 15.9537 4.46214 17.0852 7.23684L17.6179 8.67647M17.6179 8.67647L18.5002 4.26471M17.6179 8.67647L13.6473 6.91176M17.4995 12.1841C16.5378 15.2609 13.5967 17.5 10.1178 17.5C6.86118 17.5 4.07589 15.5379 2.94432 12.7632L2.41165 11.3235M2.41165 11.3235L1.5293 15.7353M2.41165 11.3235L6.38224 13.0882"></path></g></svg></button><button tabindex="0" type="button" class="pencraft pc-reset pencraft icon-container view-image"><svg xmlns="http://www.w3.org/2000/svg" width="20" height="20" viewBox="0 0 24 24" fill="none" stroke="currentColor" stroke-width="2" stroke-linecap="round" stroke-linejoin="round" class="lucide lucide-maximize2 lucide-maximize-2"><polyline points="15 3 21 3 21 9"></polyline><polyline points="9 21 3 21 3 15"></polyline><line x1="21" x2="14" y1="3" y2="10"></line><line x1="3" x2="10" y1="21" y2="14"></line></svg></button></div></div></div></a></figure></div><p>A key feature of parallel circuits is that each segment functions independently. As a result, the <strong>heat output of each segment</strong> remains <strong>constant</strong>, regardless of the cable&#8217;s overall length. In parallel circuits, the voltage remains constant across each segment, ensuring consistent heat output per unit length (W/m) no matter how long the cable is.</p><p>The main advantage of this feature is that the cable can be <strong>cut to the desired length on-site</strong> without affecting heat output, providing flexibility during installation and improving efficiency.</p><h4><strong>&lt;Mineral-Insulated Heating Cable</strong>&gt;</h4><h5>1. Cable Structure</h5><div class="captioned-image-container"><figure><a class="image-link image2" target="_blank" href="https://substackcdn.com/image/fetch/$s_!8QU3!,f_auto,q_auto:good,fl_progressive:steep/https%3A%2F%2Fsubstack-post-media.s3.amazonaws.com%2Fpublic%2Fimages%2F445fcc51-15a8-4af3-9e4e-4fd9b8095624_910x187.png" data-component-name="Image2ToDOM"><div class="image2-inset"><picture><source type="image/webp" srcset="https://substackcdn.com/image/fetch/$s_!8QU3!,w_424,c_limit,f_webp,q_auto:good,fl_progressive:steep/https%3A%2F%2Fsubstack-post-media.s3.amazonaws.com%2Fpublic%2Fimages%2F445fcc51-15a8-4af3-9e4e-4fd9b8095624_910x187.png 424w, https://substackcdn.com/image/fetch/$s_!8QU3!,w_848,c_limit,f_webp,q_auto:good,fl_progressive:steep/https%3A%2F%2Fsubstack-post-media.s3.amazonaws.com%2Fpublic%2Fimages%2F445fcc51-15a8-4af3-9e4e-4fd9b8095624_910x187.png 848w, https://substackcdn.com/image/fetch/$s_!8QU3!,w_1272,c_limit,f_webp,q_auto:good,fl_progressive:steep/https%3A%2F%2Fsubstack-post-media.s3.amazonaws.com%2Fpublic%2Fimages%2F445fcc51-15a8-4af3-9e4e-4fd9b8095624_910x187.png 1272w, https://substackcdn.com/image/fetch/$s_!8QU3!,w_1456,c_limit,f_webp,q_auto:good,fl_progressive:steep/https%3A%2F%2Fsubstack-post-media.s3.amazonaws.com%2Fpublic%2Fimages%2F445fcc51-15a8-4af3-9e4e-4fd9b8095624_910x187.png 1456w" sizes="100vw"><img src="https://substackcdn.com/image/fetch/$s_!8QU3!,w_1456,c_limit,f_auto,q_auto:good,fl_progressive:steep/https%3A%2F%2Fsubstack-post-media.s3.amazonaws.com%2Fpublic%2Fimages%2F445fcc51-15a8-4af3-9e4e-4fd9b8095624_910x187.png" width="910" height="187" data-attrs="{&quot;src&quot;:&quot;https://substack-post-media.s3.amazonaws.com/public/images/445fcc51-15a8-4af3-9e4e-4fd9b8095624_910x187.png&quot;,&quot;srcNoWatermark&quot;:null,&quot;fullscreen&quot;:null,&quot;imageSize&quot;:null,&quot;height&quot;:187,&quot;width&quot;:910,&quot;resizeWidth&quot;:null,&quot;bytes&quot;:null,&quot;alt&quot;:&quot;&quot;,&quot;title&quot;:null,&quot;type&quot;:null,&quot;href&quot;:null,&quot;belowTheFold&quot;:true,&quot;topImage&quot;:false,&quot;internalRedirect&quot;:null,&quot;isProcessing&quot;:false,&quot;align&quot;:null,&quot;offset&quot;:false}" class="sizing-normal" alt="" title="" srcset="https://substackcdn.com/image/fetch/$s_!8QU3!,w_424,c_limit,f_auto,q_auto:good,fl_progressive:steep/https%3A%2F%2Fsubstack-post-media.s3.amazonaws.com%2Fpublic%2Fimages%2F445fcc51-15a8-4af3-9e4e-4fd9b8095624_910x187.png 424w, https://substackcdn.com/image/fetch/$s_!8QU3!,w_848,c_limit,f_auto,q_auto:good,fl_progressive:steep/https%3A%2F%2Fsubstack-post-media.s3.amazonaws.com%2Fpublic%2Fimages%2F445fcc51-15a8-4af3-9e4e-4fd9b8095624_910x187.png 848w, https://substackcdn.com/image/fetch/$s_!8QU3!,w_1272,c_limit,f_auto,q_auto:good,fl_progressive:steep/https%3A%2F%2Fsubstack-post-media.s3.amazonaws.com%2Fpublic%2Fimages%2F445fcc51-15a8-4af3-9e4e-4fd9b8095624_910x187.png 1272w, https://substackcdn.com/image/fetch/$s_!8QU3!,w_1456,c_limit,f_auto,q_auto:good,fl_progressive:steep/https%3A%2F%2Fsubstack-post-media.s3.amazonaws.com%2Fpublic%2Fimages%2F445fcc51-15a8-4af3-9e4e-4fd9b8095624_910x187.png 1456w" sizes="100vw" loading="lazy"></picture><div></div></div></a></figure></div><p>The conductor, typically made of copper or nickel alloy, generates heat when current flows through it. The insulation is composed of magnesium oxide (MgO), a highly temperature-resistant material that maintains the cable's insulation properties at high temperatures while efficiently transferring heat.</p><div class="captioned-image-container"><figure><a class="image-link image2 is-viewable-img" target="_blank" href="https://substackcdn.com/image/fetch/$s_!tIr4!,f_auto,q_auto:good,fl_progressive:steep/https%3A%2F%2Fsubstack-post-media.s3.amazonaws.com%2Fpublic%2Fimages%2F06fd2e63-09d8-4851-9cc5-039eaa588405_935x534.jpeg" data-component-name="Image2ToDOM"><div class="image2-inset"><picture><source type="image/webp" srcset="https://substackcdn.com/image/fetch/$s_!tIr4!,w_424,c_limit,f_webp,q_auto:good,fl_progressive:steep/https%3A%2F%2Fsubstack-post-media.s3.amazonaws.com%2Fpublic%2Fimages%2F06fd2e63-09d8-4851-9cc5-039eaa588405_935x534.jpeg 424w, https://substackcdn.com/image/fetch/$s_!tIr4!,w_848,c_limit,f_webp,q_auto:good,fl_progressive:steep/https%3A%2F%2Fsubstack-post-media.s3.amazonaws.com%2Fpublic%2Fimages%2F06fd2e63-09d8-4851-9cc5-039eaa588405_935x534.jpeg 848w, https://substackcdn.com/image/fetch/$s_!tIr4!,w_1272,c_limit,f_webp,q_auto:good,fl_progressive:steep/https%3A%2F%2Fsubstack-post-media.s3.amazonaws.com%2Fpublic%2Fimages%2F06fd2e63-09d8-4851-9cc5-039eaa588405_935x534.jpeg 1272w, https://substackcdn.com/image/fetch/$s_!tIr4!,w_1456,c_limit,f_webp,q_auto:good,fl_progressive:steep/https%3A%2F%2Fsubstack-post-media.s3.amazonaws.com%2Fpublic%2Fimages%2F06fd2e63-09d8-4851-9cc5-039eaa588405_935x534.jpeg 1456w" sizes="100vw"><img src="https://substackcdn.com/image/fetch/$s_!tIr4!,w_1456,c_limit,f_auto,q_auto:good,fl_progressive:steep/https%3A%2F%2Fsubstack-post-media.s3.amazonaws.com%2Fpublic%2Fimages%2F06fd2e63-09d8-4851-9cc5-039eaa588405_935x534.jpeg" width="935" height="534" data-attrs="{&quot;src&quot;:&quot;https://substack-post-media.s3.amazonaws.com/public/images/06fd2e63-09d8-4851-9cc5-039eaa588405_935x534.jpeg&quot;,&quot;srcNoWatermark&quot;:null,&quot;fullscreen&quot;:null,&quot;imageSize&quot;:null,&quot;height&quot;:534,&quot;width&quot;:935,&quot;resizeWidth&quot;:null,&quot;bytes&quot;:null,&quot;alt&quot;:&quot;&quot;,&quot;title&quot;:null,&quot;type&quot;:null,&quot;href&quot;:null,&quot;belowTheFold&quot;:true,&quot;topImage&quot;:false,&quot;internalRedirect&quot;:null,&quot;isProcessing&quot;:false,&quot;align&quot;:null,&quot;offset&quot;:false}" class="sizing-normal" alt="" title="" srcset="https://substackcdn.com/image/fetch/$s_!tIr4!,w_424,c_limit,f_auto,q_auto:good,fl_progressive:steep/https%3A%2F%2Fsubstack-post-media.s3.amazonaws.com%2Fpublic%2Fimages%2F06fd2e63-09d8-4851-9cc5-039eaa588405_935x534.jpeg 424w, https://substackcdn.com/image/fetch/$s_!tIr4!,w_848,c_limit,f_auto,q_auto:good,fl_progressive:steep/https%3A%2F%2Fsubstack-post-media.s3.amazonaws.com%2Fpublic%2Fimages%2F06fd2e63-09d8-4851-9cc5-039eaa588405_935x534.jpeg 848w, https://substackcdn.com/image/fetch/$s_!tIr4!,w_1272,c_limit,f_auto,q_auto:good,fl_progressive:steep/https%3A%2F%2Fsubstack-post-media.s3.amazonaws.com%2Fpublic%2Fimages%2F06fd2e63-09d8-4851-9cc5-039eaa588405_935x534.jpeg 1272w, https://substackcdn.com/image/fetch/$s_!tIr4!,w_1456,c_limit,f_auto,q_auto:good,fl_progressive:steep/https%3A%2F%2Fsubstack-post-media.s3.amazonaws.com%2Fpublic%2Fimages%2F06fd2e63-09d8-4851-9cc5-039eaa588405_935x534.jpeg 1456w" sizes="100vw" loading="lazy"></picture><div class="image-link-expand"><div class="pencraft pc-display-flex pc-gap-8 pc-reset"><button tabindex="0" type="button" class="pencraft pc-reset pencraft icon-container restack-image"><svg role="img" width="20" height="20" viewBox="0 0 20 20" fill="none" stroke-width="1.5" stroke="var(--color-fg-primary)" stroke-linecap="round" stroke-linejoin="round" xmlns="http://www.w3.org/2000/svg"><g><title></title><path d="M2.53001 7.81595C3.49179 4.73911 6.43281 2.5 9.91173 2.5C13.1684 2.5 15.9537 4.46214 17.0852 7.23684L17.6179 8.67647M17.6179 8.67647L18.5002 4.26471M17.6179 8.67647L13.6473 6.91176M17.4995 12.1841C16.5378 15.2609 13.5967 17.5 10.1178 17.5C6.86118 17.5 4.07589 15.5379 2.94432 12.7632L2.41165 11.3235M2.41165 11.3235L1.5293 15.7353M2.41165 11.3235L6.38224 13.0882"></path></g></svg></button><button tabindex="0" type="button" class="pencraft pc-reset pencraft icon-container view-image"><svg xmlns="http://www.w3.org/2000/svg" width="20" height="20" viewBox="0 0 24 24" fill="none" stroke="currentColor" stroke-width="2" stroke-linecap="round" stroke-linejoin="round" class="lucide lucide-maximize2 lucide-maximize-2"><polyline points="15 3 21 3 21 9"></polyline><polyline points="9 21 3 21 3 15"></polyline><line x1="21" x2="14" y1="3" y2="10"></line><line x1="3" x2="10" y1="21" y2="14"></line></svg></button></div></div></div></a></figure></div><p>(High melting point of MgO)</p><p></p><p>The outer sheath is made from durable metals such as stainless steel, Inconel, or copper to protect the cable from mechanical or chemical damage.</p><h5>2. Operating Principle</h5><p>Unlike SR cables, the heat output of MI cables remains almost constant even as temperature rises. In other words, they <strong>don&#8217;t exhibit a significant PTC effect</strong>.</p><div class="captioned-image-container"><figure><a class="image-link image2 is-viewable-img" target="_blank" href="https://substackcdn.com/image/fetch/$s_!tXux!,f_auto,q_auto:good,fl_progressive:steep/https%3A%2F%2Fsubstack-post-media.s3.amazonaws.com%2Fpublic%2Fimages%2F71798867-8102-4e0e-ab0e-6b29bc622757_500x465.png" data-component-name="Image2ToDOM"><div class="image2-inset"><picture><source type="image/webp" srcset="https://substackcdn.com/image/fetch/$s_!tXux!,w_424,c_limit,f_webp,q_auto:good,fl_progressive:steep/https%3A%2F%2Fsubstack-post-media.s3.amazonaws.com%2Fpublic%2Fimages%2F71798867-8102-4e0e-ab0e-6b29bc622757_500x465.png 424w, https://substackcdn.com/image/fetch/$s_!tXux!,w_848,c_limit,f_webp,q_auto:good,fl_progressive:steep/https%3A%2F%2Fsubstack-post-media.s3.amazonaws.com%2Fpublic%2Fimages%2F71798867-8102-4e0e-ab0e-6b29bc622757_500x465.png 848w, https://substackcdn.com/image/fetch/$s_!tXux!,w_1272,c_limit,f_webp,q_auto:good,fl_progressive:steep/https%3A%2F%2Fsubstack-post-media.s3.amazonaws.com%2Fpublic%2Fimages%2F71798867-8102-4e0e-ab0e-6b29bc622757_500x465.png 1272w, https://substackcdn.com/image/fetch/$s_!tXux!,w_1456,c_limit,f_webp,q_auto:good,fl_progressive:steep/https%3A%2F%2Fsubstack-post-media.s3.amazonaws.com%2Fpublic%2Fimages%2F71798867-8102-4e0e-ab0e-6b29bc622757_500x465.png 1456w" sizes="100vw"><img src="https://substackcdn.com/image/fetch/$s_!tXux!,w_1456,c_limit,f_auto,q_auto:good,fl_progressive:steep/https%3A%2F%2Fsubstack-post-media.s3.amazonaws.com%2Fpublic%2Fimages%2F71798867-8102-4e0e-ab0e-6b29bc622757_500x465.png" width="500" height="465" data-attrs="{&quot;src&quot;:&quot;https://substack-post-media.s3.amazonaws.com/public/images/71798867-8102-4e0e-ab0e-6b29bc622757_500x465.png&quot;,&quot;srcNoWatermark&quot;:null,&quot;fullscreen&quot;:null,&quot;imageSize&quot;:null,&quot;height&quot;:465,&quot;width&quot;:500,&quot;resizeWidth&quot;:null,&quot;bytes&quot;:null,&quot;alt&quot;:&quot;&quot;,&quot;title&quot;:null,&quot;type&quot;:null,&quot;href&quot;:null,&quot;belowTheFold&quot;:true,&quot;topImage&quot;:false,&quot;internalRedirect&quot;:null,&quot;isProcessing&quot;:false,&quot;align&quot;:null,&quot;offset&quot;:false}" class="sizing-normal" alt="" title="" srcset="https://substackcdn.com/image/fetch/$s_!tXux!,w_424,c_limit,f_auto,q_auto:good,fl_progressive:steep/https%3A%2F%2Fsubstack-post-media.s3.amazonaws.com%2Fpublic%2Fimages%2F71798867-8102-4e0e-ab0e-6b29bc622757_500x465.png 424w, https://substackcdn.com/image/fetch/$s_!tXux!,w_848,c_limit,f_auto,q_auto:good,fl_progressive:steep/https%3A%2F%2Fsubstack-post-media.s3.amazonaws.com%2Fpublic%2Fimages%2F71798867-8102-4e0e-ab0e-6b29bc622757_500x465.png 848w, https://substackcdn.com/image/fetch/$s_!tXux!,w_1272,c_limit,f_auto,q_auto:good,fl_progressive:steep/https%3A%2F%2Fsubstack-post-media.s3.amazonaws.com%2Fpublic%2Fimages%2F71798867-8102-4e0e-ab0e-6b29bc622757_500x465.png 1272w, https://substackcdn.com/image/fetch/$s_!tXux!,w_1456,c_limit,f_auto,q_auto:good,fl_progressive:steep/https%3A%2F%2Fsubstack-post-media.s3.amazonaws.com%2Fpublic%2Fimages%2F71798867-8102-4e0e-ab0e-6b29bc622757_500x465.png 1456w" sizes="100vw" loading="lazy"></picture><div class="image-link-expand"><div class="pencraft pc-display-flex pc-gap-8 pc-reset"><button tabindex="0" type="button" class="pencraft pc-reset pencraft icon-container restack-image"><svg role="img" width="20" height="20" viewBox="0 0 20 20" fill="none" stroke-width="1.5" stroke="var(--color-fg-primary)" stroke-linecap="round" stroke-linejoin="round" xmlns="http://www.w3.org/2000/svg"><g><title></title><path d="M2.53001 7.81595C3.49179 4.73911 6.43281 2.5 9.91173 2.5C13.1684 2.5 15.9537 4.46214 17.0852 7.23684L17.6179 8.67647M17.6179 8.67647L18.5002 4.26471M17.6179 8.67647L13.6473 6.91176M17.4995 12.1841C16.5378 15.2609 13.5967 17.5 10.1178 17.5C6.86118 17.5 4.07589 15.5379 2.94432 12.7632L2.41165 11.3235M2.41165 11.3235L1.5293 15.7353M2.41165 11.3235L6.38224 13.0882"></path></g></svg></button><button tabindex="0" type="button" class="pencraft pc-reset pencraft icon-container view-image"><svg xmlns="http://www.w3.org/2000/svg" width="20" height="20" viewBox="0 0 24 24" fill="none" stroke="currentColor" stroke-width="2" stroke-linecap="round" stroke-linejoin="round" class="lucide lucide-maximize2 lucide-maximize-2"><polyline points="15 3 21 3 21 9"></polyline><polyline points="9 21 3 21 3 15"></polyline><line x1="21" x2="14" y1="3" y2="10"></line><line x1="3" x2="10" y1="21" y2="14"></line></svg></button></div></div></div></a></figure></div><p>(Some MI cables with copper conductors may show some PTC effect, but for most models, resistance stays nearly constant regardless of temperature.)</p><p>While SR cables become more energy-efficient at higher temperatures due to reduced output, this also means they are less effective at maintaining high temperatures. MI cables, which are less affected by the PTC effect, <strong>continue to supply heat efficiently at high temperatures</strong>. The inorganic materials in MI cables also provide excellent thermal resistance, making them ideal for high-temperature applications.</p><h5><strong>3. Characteristics</strong></h5><p>MI heating cables operate in a series circuit configuration. Imagine segments of resistance (R1, R2, R3, etc.) connected in series.</p><div class="captioned-image-container"><figure><a class="image-link image2 is-viewable-img" target="_blank" href="https://substackcdn.com/image/fetch/$s_!yXKZ!,f_auto,q_auto:good,fl_progressive:steep/https%3A%2F%2Fsubstack-post-media.s3.amazonaws.com%2Fpublic%2Fimages%2Fea973425-be4a-43ee-af8a-3dcdacdf808a_518x363.png" data-component-name="Image2ToDOM"><div class="image2-inset"><picture><source type="image/webp" srcset="https://substackcdn.com/image/fetch/$s_!yXKZ!,w_424,c_limit,f_webp,q_auto:good,fl_progressive:steep/https%3A%2F%2Fsubstack-post-media.s3.amazonaws.com%2Fpublic%2Fimages%2Fea973425-be4a-43ee-af8a-3dcdacdf808a_518x363.png 424w, https://substackcdn.com/image/fetch/$s_!yXKZ!,w_848,c_limit,f_webp,q_auto:good,fl_progressive:steep/https%3A%2F%2Fsubstack-post-media.s3.amazonaws.com%2Fpublic%2Fimages%2Fea973425-be4a-43ee-af8a-3dcdacdf808a_518x363.png 848w, https://substackcdn.com/image/fetch/$s_!yXKZ!,w_1272,c_limit,f_webp,q_auto:good,fl_progressive:steep/https%3A%2F%2Fsubstack-post-media.s3.amazonaws.com%2Fpublic%2Fimages%2Fea973425-be4a-43ee-af8a-3dcdacdf808a_518x363.png 1272w, https://substackcdn.com/image/fetch/$s_!yXKZ!,w_1456,c_limit,f_webp,q_auto:good,fl_progressive:steep/https%3A%2F%2Fsubstack-post-media.s3.amazonaws.com%2Fpublic%2Fimages%2Fea973425-be4a-43ee-af8a-3dcdacdf808a_518x363.png 1456w" sizes="100vw"><img src="https://substackcdn.com/image/fetch/$s_!yXKZ!,w_1456,c_limit,f_auto,q_auto:good,fl_progressive:steep/https%3A%2F%2Fsubstack-post-media.s3.amazonaws.com%2Fpublic%2Fimages%2Fea973425-be4a-43ee-af8a-3dcdacdf808a_518x363.png" width="518" height="363" data-attrs="{&quot;src&quot;:&quot;https://substack-post-media.s3.amazonaws.com/public/images/ea973425-be4a-43ee-af8a-3dcdacdf808a_518x363.png&quot;,&quot;srcNoWatermark&quot;:null,&quot;fullscreen&quot;:null,&quot;imageSize&quot;:null,&quot;height&quot;:363,&quot;width&quot;:518,&quot;resizeWidth&quot;:null,&quot;bytes&quot;:null,&quot;alt&quot;:&quot;&quot;,&quot;title&quot;:null,&quot;type&quot;:null,&quot;href&quot;:null,&quot;belowTheFold&quot;:true,&quot;topImage&quot;:false,&quot;internalRedirect&quot;:null,&quot;isProcessing&quot;:false,&quot;align&quot;:null,&quot;offset&quot;:false}" class="sizing-normal" alt="" title="" srcset="https://substackcdn.com/image/fetch/$s_!yXKZ!,w_424,c_limit,f_auto,q_auto:good,fl_progressive:steep/https%3A%2F%2Fsubstack-post-media.s3.amazonaws.com%2Fpublic%2Fimages%2Fea973425-be4a-43ee-af8a-3dcdacdf808a_518x363.png 424w, https://substackcdn.com/image/fetch/$s_!yXKZ!,w_848,c_limit,f_auto,q_auto:good,fl_progressive:steep/https%3A%2F%2Fsubstack-post-media.s3.amazonaws.com%2Fpublic%2Fimages%2Fea973425-be4a-43ee-af8a-3dcdacdf808a_518x363.png 848w, https://substackcdn.com/image/fetch/$s_!yXKZ!,w_1272,c_limit,f_auto,q_auto:good,fl_progressive:steep/https%3A%2F%2Fsubstack-post-media.s3.amazonaws.com%2Fpublic%2Fimages%2Fea973425-be4a-43ee-af8a-3dcdacdf808a_518x363.png 1272w, https://substackcdn.com/image/fetch/$s_!yXKZ!,w_1456,c_limit,f_auto,q_auto:good,fl_progressive:steep/https%3A%2F%2Fsubstack-post-media.s3.amazonaws.com%2Fpublic%2Fimages%2Fea973425-be4a-43ee-af8a-3dcdacdf808a_518x363.png 1456w" sizes="100vw" loading="lazy"></picture><div class="image-link-expand"><div class="pencraft pc-display-flex pc-gap-8 pc-reset"><button tabindex="0" type="button" class="pencraft pc-reset pencraft icon-container restack-image"><svg role="img" width="20" height="20" viewBox="0 0 20 20" fill="none" stroke-width="1.5" stroke="var(--color-fg-primary)" stroke-linecap="round" stroke-linejoin="round" xmlns="http://www.w3.org/2000/svg"><g><title></title><path d="M2.53001 7.81595C3.49179 4.73911 6.43281 2.5 9.91173 2.5C13.1684 2.5 15.9537 4.46214 17.0852 7.23684L17.6179 8.67647M17.6179 8.67647L18.5002 4.26471M17.6179 8.67647L13.6473 6.91176M17.4995 12.1841C16.5378 15.2609 13.5967 17.5 10.1178 17.5C6.86118 17.5 4.07589 15.5379 2.94432 12.7632L2.41165 11.3235M2.41165 11.3235L1.5293 15.7353M2.41165 11.3235L6.38224 13.0882"></path></g></svg></button><button tabindex="0" type="button" class="pencraft pc-reset pencraft icon-container view-image"><svg xmlns="http://www.w3.org/2000/svg" width="20" height="20" viewBox="0 0 24 24" fill="none" stroke="currentColor" stroke-width="2" stroke-linecap="round" stroke-linejoin="round" class="lucide lucide-maximize2 lucide-maximize-2"><polyline points="15 3 21 3 21 9"></polyline><polyline points="9 21 3 21 3 15"></polyline><line x1="21" x2="14" y1="3" y2="10"></line><line x1="3" x2="10" y1="21" y2="14"></line></svg></button></div></div></div></a></figure></div><div class="captioned-image-container"><figure><a class="image-link image2" target="_blank" href="https://substackcdn.com/image/fetch/$s_!wlge!,f_auto,q_auto:good,fl_progressive:steep/https%3A%2F%2Fsubstack-post-media.s3.amazonaws.com%2Fpublic%2Fimages%2F72ac8faa-8323-40a2-a898-67d48878674b_517x60.png" data-component-name="Image2ToDOM"><div class="image2-inset"><picture><source type="image/webp" srcset="https://substackcdn.com/image/fetch/$s_!wlge!,w_424,c_limit,f_webp,q_auto:good,fl_progressive:steep/https%3A%2F%2Fsubstack-post-media.s3.amazonaws.com%2Fpublic%2Fimages%2F72ac8faa-8323-40a2-a898-67d48878674b_517x60.png 424w, https://substackcdn.com/image/fetch/$s_!wlge!,w_848,c_limit,f_webp,q_auto:good,fl_progressive:steep/https%3A%2F%2Fsubstack-post-media.s3.amazonaws.com%2Fpublic%2Fimages%2F72ac8faa-8323-40a2-a898-67d48878674b_517x60.png 848w, https://substackcdn.com/image/fetch/$s_!wlge!,w_1272,c_limit,f_webp,q_auto:good,fl_progressive:steep/https%3A%2F%2Fsubstack-post-media.s3.amazonaws.com%2Fpublic%2Fimages%2F72ac8faa-8323-40a2-a898-67d48878674b_517x60.png 1272w, https://substackcdn.com/image/fetch/$s_!wlge!,w_1456,c_limit,f_webp,q_auto:good,fl_progressive:steep/https%3A%2F%2Fsubstack-post-media.s3.amazonaws.com%2Fpublic%2Fimages%2F72ac8faa-8323-40a2-a898-67d48878674b_517x60.png 1456w" sizes="100vw"><img src="https://substackcdn.com/image/fetch/$s_!wlge!,w_1456,c_limit,f_auto,q_auto:good,fl_progressive:steep/https%3A%2F%2Fsubstack-post-media.s3.amazonaws.com%2Fpublic%2Fimages%2F72ac8faa-8323-40a2-a898-67d48878674b_517x60.png" width="517" height="60" data-attrs="{&quot;src&quot;:&quot;https://substack-post-media.s3.amazonaws.com/public/images/72ac8faa-8323-40a2-a898-67d48878674b_517x60.png&quot;,&quot;srcNoWatermark&quot;:null,&quot;fullscreen&quot;:null,&quot;imageSize&quot;:null,&quot;height&quot;:60,&quot;width&quot;:517,&quot;resizeWidth&quot;:null,&quot;bytes&quot;:null,&quot;alt&quot;:&quot;&quot;,&quot;title&quot;:null,&quot;type&quot;:null,&quot;href&quot;:null,&quot;belowTheFold&quot;:true,&quot;topImage&quot;:false,&quot;internalRedirect&quot;:null,&quot;isProcessing&quot;:false,&quot;align&quot;:null,&quot;offset&quot;:false}" class="sizing-normal" alt="" title="" srcset="https://substackcdn.com/image/fetch/$s_!wlge!,w_424,c_limit,f_auto,q_auto:good,fl_progressive:steep/https%3A%2F%2Fsubstack-post-media.s3.amazonaws.com%2Fpublic%2Fimages%2F72ac8faa-8323-40a2-a898-67d48878674b_517x60.png 424w, https://substackcdn.com/image/fetch/$s_!wlge!,w_848,c_limit,f_auto,q_auto:good,fl_progressive:steep/https%3A%2F%2Fsubstack-post-media.s3.amazonaws.com%2Fpublic%2Fimages%2F72ac8faa-8323-40a2-a898-67d48878674b_517x60.png 848w, https://substackcdn.com/image/fetch/$s_!wlge!,w_1272,c_limit,f_auto,q_auto:good,fl_progressive:steep/https%3A%2F%2Fsubstack-post-media.s3.amazonaws.com%2Fpublic%2Fimages%2F72ac8faa-8323-40a2-a898-67d48878674b_517x60.png 1272w, https://substackcdn.com/image/fetch/$s_!wlge!,w_1456,c_limit,f_auto,q_auto:good,fl_progressive:steep/https%3A%2F%2Fsubstack-post-media.s3.amazonaws.com%2Fpublic%2Fimages%2F72ac8faa-8323-40a2-a898-67d48878674b_517x60.png 1456w" sizes="100vw" loading="lazy"></picture><div></div></div></a></figure></div><p>In a series circuit, the same current flows through the entire cable length, ensuring uniform heating throughout. However, resistance increases with the length of the cable, which affects overall power consumption and heat output. Therefore, when using MI cables, it is <strong>crucial to carefully design</strong> the cable's length, resistance, and voltage to achieve the desired heat output. (How to do the appropriate design of MI cable will be discussed in the next article).</p><p>Since MI cables require precise design, they cannot be cut to length on-site like SR cables. However, once correctly designed, MI cables provide consistent and reliable heat output.</p><h3><strong>&lt;Conclusion&gt;</strong></h3><p>SR and MI heating cables differ in structure, operating principles, and characteristics. For general applications involving shorter lengths and lower temperatures, SR cables are a good option. However, MI cables offer greater reliability and efficiency for more demanding conditions, such as long runs and high temperatures.</p><p>It&#8217;s essential to evaluate your system to determine which cable type is best suited for your specific needs.</p><div class="subscription-widget-wrap-editor" data-attrs="{&quot;url&quot;:&quot;https://www.precisionnewsletter.com/subscribe?&quot;,&quot;text&quot;:&quot;Subscribe&quot;,&quot;language&quot;:&quot;en&quot;}" data-component-name="SubscribeWidgetToDOM"><div class="subscription-widget show-subscribe"><div class="preamble"><p class="cta-caption">Thanks for reading Precision Newsletter! Subscribe for free to receive new posts and support my work.</p></div><form class="subscription-widget-subscribe"><input type="email" class="email-input" name="email" placeholder="Type your email&#8230;" tabindex="-1"><input type="submit" class="button primary" value="Subscribe"><div class="fake-input-wrapper"><div class="fake-input"></div><div class="fake-button"></div></div></form></div></div>]]></content:encoded></item><item><title><![CDATA[Self-Regulating vs. Mineral-Insulated : When is using MI more efficient?]]></title><description><![CDATA[In an electrical heat tracing system, self-regulating (SR) heating cables and mineral-insulated (MI) heating cables are the two representative types, with SR cables being the more commonly used.]]></description><link>https://www.precisionnewsletter.com/p/self-regulating-vs-mineral-insulated</link><guid isPermaLink="false">https://www.precisionnewsletter.com/p/self-regulating-vs-mineral-insulated</guid><dc:creator><![CDATA[Jinwook Jung]]></dc:creator><pubDate>Thu, 02 Jan 2025 08:29:13 GMT</pubDate><enclosure url="https://substack-post-media.s3.amazonaws.com/public/images/a9b4d6e2-e407-4e83-858c-46af5207f42a_6000x4000.jpeg" length="0" type="image/jpeg"/><content:encoded><![CDATA[<p>In an electrical heat tracing system, <strong>self-regulating (SR) heating cables</strong> and <strong>mineral-insulated (MI) heating cables</strong> are the two representative types, with SR cables being the more commonly used.</p><p>Our question is: which cable is better from the client's perspective?</p><div class="subscription-widget-wrap-editor" data-attrs="{&quot;url&quot;:&quot;https://www.precisionnewsletter.com/subscribe?&quot;,&quot;text&quot;:&quot;Subscribe&quot;,&quot;language&quot;:&quot;en&quot;}" data-component-name="SubscribeWidgetToDOM"><div class="subscription-widget show-subscribe"><div class="preamble"><p class="cta-caption">Thanks for reading Precision Newsletter! Subscribe for free to receive new posts and support my work.</p></div><form class="subscription-widget-subscribe"><input type="email" class="email-input" name="email" placeholder="Type your email&#8230;" tabindex="-1"><input type="submit" class="button primary" value="Subscribe"><div class="fake-input-wrapper"><div class="fake-input"></div><div class="fake-button"></div></div></form></div></div><p>If both options are available, the client will likely want to reduce costs. Between <strong>SR</strong> and <strong>MI</strong> cables, which one is more cost-effective? The answer depends on the situation.</p><p>In this discussion on <strong>SR</strong> vs. <strong>MI</strong> cables, we will analyze which type of cable is more effective in specific environments.</p><div><hr></div><p>Let me introduce an inquiry I received in 2023 for the &#8216;S* Port &amp; Marine Project.&#8217;</p><ul><li><p>Pipe length: 1,343m</p></li><li><p>Pipe size: 10&#8221;</p></li><li><p>Maintain temperature: 180&#176;C</p></li><li><p>Minimum ambient temperature: 4&#176;C</p></li><li><p>Insulation material and thickness: Mineral Wool, 100T</p></li><li><p>Supplied voltage: 400VAC 3P</p></li><li><p>Heat Trace Design for Temperature Maintenance</p></li></ul><p>Given the criteria, the heat loss value is as follows:</p><div class="captioned-image-container"><figure><a class="image-link image2 is-viewable-img" target="_blank" href="https://substackcdn.com/image/fetch/$s_!PYAT!,f_auto,q_auto:good,fl_progressive:steep/https%3A%2F%2Fsubstack-post-media.s3.amazonaws.com%2Fpublic%2Fimages%2F77c30922-c57c-4931-bdf8-5c08b8fa7d37_1023x589.png" data-component-name="Image2ToDOM"><div class="image2-inset"><picture><source type="image/webp" srcset="https://substackcdn.com/image/fetch/$s_!PYAT!,w_424,c_limit,f_webp,q_auto:good,fl_progressive:steep/https%3A%2F%2Fsubstack-post-media.s3.amazonaws.com%2Fpublic%2Fimages%2F77c30922-c57c-4931-bdf8-5c08b8fa7d37_1023x589.png 424w, https://substackcdn.com/image/fetch/$s_!PYAT!,w_848,c_limit,f_webp,q_auto:good,fl_progressive:steep/https%3A%2F%2Fsubstack-post-media.s3.amazonaws.com%2Fpublic%2Fimages%2F77c30922-c57c-4931-bdf8-5c08b8fa7d37_1023x589.png 848w, https://substackcdn.com/image/fetch/$s_!PYAT!,w_1272,c_limit,f_webp,q_auto:good,fl_progressive:steep/https%3A%2F%2Fsubstack-post-media.s3.amazonaws.com%2Fpublic%2Fimages%2F77c30922-c57c-4931-bdf8-5c08b8fa7d37_1023x589.png 1272w, https://substackcdn.com/image/fetch/$s_!PYAT!,w_1456,c_limit,f_webp,q_auto:good,fl_progressive:steep/https%3A%2F%2Fsubstack-post-media.s3.amazonaws.com%2Fpublic%2Fimages%2F77c30922-c57c-4931-bdf8-5c08b8fa7d37_1023x589.png 1456w" sizes="100vw"><img src="https://substackcdn.com/image/fetch/$s_!PYAT!,w_1456,c_limit,f_auto,q_auto:good,fl_progressive:steep/https%3A%2F%2Fsubstack-post-media.s3.amazonaws.com%2Fpublic%2Fimages%2F77c30922-c57c-4931-bdf8-5c08b8fa7d37_1023x589.png" width="1023" height="589" data-attrs="{&quot;src&quot;:&quot;https://substack-post-media.s3.amazonaws.com/public/images/77c30922-c57c-4931-bdf8-5c08b8fa7d37_1023x589.png&quot;,&quot;srcNoWatermark&quot;:null,&quot;fullscreen&quot;:null,&quot;imageSize&quot;:null,&quot;height&quot;:589,&quot;width&quot;:1023,&quot;resizeWidth&quot;:null,&quot;bytes&quot;:null,&quot;alt&quot;:&quot;&quot;,&quot;title&quot;:null,&quot;type&quot;:null,&quot;href&quot;:null,&quot;belowTheFold&quot;:true,&quot;topImage&quot;:false,&quot;internalRedirect&quot;:null,&quot;isProcessing&quot;:false,&quot;align&quot;:null,&quot;offset&quot;:false}" class="sizing-normal" alt="" title="" srcset="https://substackcdn.com/image/fetch/$s_!PYAT!,w_424,c_limit,f_auto,q_auto:good,fl_progressive:steep/https%3A%2F%2Fsubstack-post-media.s3.amazonaws.com%2Fpublic%2Fimages%2F77c30922-c57c-4931-bdf8-5c08b8fa7d37_1023x589.png 424w, https://substackcdn.com/image/fetch/$s_!PYAT!,w_848,c_limit,f_auto,q_auto:good,fl_progressive:steep/https%3A%2F%2Fsubstack-post-media.s3.amazonaws.com%2Fpublic%2Fimages%2F77c30922-c57c-4931-bdf8-5c08b8fa7d37_1023x589.png 848w, https://substackcdn.com/image/fetch/$s_!PYAT!,w_1272,c_limit,f_auto,q_auto:good,fl_progressive:steep/https%3A%2F%2Fsubstack-post-media.s3.amazonaws.com%2Fpublic%2Fimages%2F77c30922-c57c-4931-bdf8-5c08b8fa7d37_1023x589.png 1272w, https://substackcdn.com/image/fetch/$s_!PYAT!,w_1456,c_limit,f_auto,q_auto:good,fl_progressive:steep/https%3A%2F%2Fsubstack-post-media.s3.amazonaws.com%2Fpublic%2Fimages%2F77c30922-c57c-4931-bdf8-5c08b8fa7d37_1023x589.png 1456w" sizes="100vw" loading="lazy"></picture><div class="image-link-expand"><div class="pencraft pc-display-flex pc-gap-8 pc-reset"><button tabindex="0" type="button" class="pencraft pc-reset pencraft icon-container restack-image"><svg role="img" width="20" height="20" viewBox="0 0 20 20" fill="none" stroke-width="1.5" stroke="var(--color-fg-primary)" stroke-linecap="round" stroke-linejoin="round" xmlns="http://www.w3.org/2000/svg"><g><title></title><path d="M2.53001 7.81595C3.49179 4.73911 6.43281 2.5 9.91173 2.5C13.1684 2.5 15.9537 4.46214 17.0852 7.23684L17.6179 8.67647M17.6179 8.67647L18.5002 4.26471M17.6179 8.67647L13.6473 6.91176M17.4995 12.1841C16.5378 15.2609 13.5967 17.5 10.1178 17.5C6.86118 17.5 4.07589 15.5379 2.94432 12.7632L2.41165 11.3235M2.41165 11.3235L1.5293 15.7353M2.41165 11.3235L6.38224 13.0882"></path></g></svg></button><button tabindex="0" type="button" class="pencraft pc-reset pencraft icon-container view-image"><svg xmlns="http://www.w3.org/2000/svg" width="20" height="20" viewBox="0 0 24 24" fill="none" stroke="currentColor" stroke-width="2" stroke-linecap="round" stroke-linejoin="round" class="lucide lucide-maximize2 lucide-maximize-2"><polyline points="15 3 21 3 21 9"></polyline><polyline points="9 21 3 21 3 15"></polyline><line x1="21" x2="14" y1="3" y2="10"></line><line x1="3" x2="10" y1="21" y2="14"></line></svg></button></div></div></div></a></figure></div><p>In an offline meeting, the client expressed a preference for using SR cables. Now, let&#8217;s compare the scenarios of using <strong>SR</strong> cables versus <strong>MI</strong> cables.</p><h4>&lt;Case of using SR Cable&gt;</h4><p>To maintain the pipe temperature at 180&#176;C, we need to select an SR cable with a maintain temperature and withstand temperature higher than 180&#176;C. I designed the system using SR cables from E* company, which have an output of 75W/m at 10&#176;C.</p><ol><li><p><strong>Construction Cost</strong></p></li></ol><p><strong>The output of an SR cable decreases as its temperature increases</strong>. Although the nominal output is 75W/m at 10&#176;C, it drops to 18W/m at the maintain temperature of 180&#176;C. (The reason for this will be discussed in detail in an upcoming article.)</p><p>To compensate for the heat loss of 113.5 W/m, we would need more than <strong>seven times the length of cables</strong> (&gt; 113.5/18 = 6.31) to maintain the pipe temperature at 180&#176;C.</p><p>Additionally, SR cables have a <strong>circuit length limitation</strong> due to the current-carrying capacity of the bus wires (nickel-plated copper, 1.23mm&#178;). The maximum length of SR cable installation depends on the switch-on temperature (which takes into account the minimum ambient temperature) and the circuit breaker size. With a 32A breaker, one circuit of the selected cable can cover only 36 meters. To cover a 1,343m pipeline, more than 38 circuits are required (&gt; 1,343/36 = 37.3). The installation diagram would be as follows:</p><div class="captioned-image-container"><figure><a class="image-link image2 is-viewable-img" target="_blank" href="https://substackcdn.com/image/fetch/$s_!EBI1!,f_auto,q_auto:good,fl_progressive:steep/https%3A%2F%2Fsubstack-post-media.s3.amazonaws.com%2Fpublic%2Fimages%2F117ef61e-192b-4ce9-b09b-481507e04c30_1022x257.png" data-component-name="Image2ToDOM"><div class="image2-inset"><picture><source type="image/webp" srcset="https://substackcdn.com/image/fetch/$s_!EBI1!,w_424,c_limit,f_webp,q_auto:good,fl_progressive:steep/https%3A%2F%2Fsubstack-post-media.s3.amazonaws.com%2Fpublic%2Fimages%2F117ef61e-192b-4ce9-b09b-481507e04c30_1022x257.png 424w, https://substackcdn.com/image/fetch/$s_!EBI1!,w_848,c_limit,f_webp,q_auto:good,fl_progressive:steep/https%3A%2F%2Fsubstack-post-media.s3.amazonaws.com%2Fpublic%2Fimages%2F117ef61e-192b-4ce9-b09b-481507e04c30_1022x257.png 848w, https://substackcdn.com/image/fetch/$s_!EBI1!,w_1272,c_limit,f_webp,q_auto:good,fl_progressive:steep/https%3A%2F%2Fsubstack-post-media.s3.amazonaws.com%2Fpublic%2Fimages%2F117ef61e-192b-4ce9-b09b-481507e04c30_1022x257.png 1272w, https://substackcdn.com/image/fetch/$s_!EBI1!,w_1456,c_limit,f_webp,q_auto:good,fl_progressive:steep/https%3A%2F%2Fsubstack-post-media.s3.amazonaws.com%2Fpublic%2Fimages%2F117ef61e-192b-4ce9-b09b-481507e04c30_1022x257.png 1456w" sizes="100vw"><img src="https://substackcdn.com/image/fetch/$s_!EBI1!,w_1456,c_limit,f_auto,q_auto:good,fl_progressive:steep/https%3A%2F%2Fsubstack-post-media.s3.amazonaws.com%2Fpublic%2Fimages%2F117ef61e-192b-4ce9-b09b-481507e04c30_1022x257.png" width="1022" height="257" data-attrs="{&quot;src&quot;:&quot;https://substack-post-media.s3.amazonaws.com/public/images/117ef61e-192b-4ce9-b09b-481507e04c30_1022x257.png&quot;,&quot;srcNoWatermark&quot;:null,&quot;fullscreen&quot;:null,&quot;imageSize&quot;:null,&quot;height&quot;:257,&quot;width&quot;:1022,&quot;resizeWidth&quot;:null,&quot;bytes&quot;:null,&quot;alt&quot;:&quot;&quot;,&quot;title&quot;:null,&quot;type&quot;:null,&quot;href&quot;:null,&quot;belowTheFold&quot;:true,&quot;topImage&quot;:false,&quot;internalRedirect&quot;:null,&quot;isProcessing&quot;:false,&quot;align&quot;:null,&quot;offset&quot;:false}" class="sizing-normal" alt="" title="" srcset="https://substackcdn.com/image/fetch/$s_!EBI1!,w_424,c_limit,f_auto,q_auto:good,fl_progressive:steep/https%3A%2F%2Fsubstack-post-media.s3.amazonaws.com%2Fpublic%2Fimages%2F117ef61e-192b-4ce9-b09b-481507e04c30_1022x257.png 424w, https://substackcdn.com/image/fetch/$s_!EBI1!,w_848,c_limit,f_auto,q_auto:good,fl_progressive:steep/https%3A%2F%2Fsubstack-post-media.s3.amazonaws.com%2Fpublic%2Fimages%2F117ef61e-192b-4ce9-b09b-481507e04c30_1022x257.png 848w, https://substackcdn.com/image/fetch/$s_!EBI1!,w_1272,c_limit,f_auto,q_auto:good,fl_progressive:steep/https%3A%2F%2Fsubstack-post-media.s3.amazonaws.com%2Fpublic%2Fimages%2F117ef61e-192b-4ce9-b09b-481507e04c30_1022x257.png 1272w, https://substackcdn.com/image/fetch/$s_!EBI1!,w_1456,c_limit,f_auto,q_auto:good,fl_progressive:steep/https%3A%2F%2Fsubstack-post-media.s3.amazonaws.com%2Fpublic%2Fimages%2F117ef61e-192b-4ce9-b09b-481507e04c30_1022x257.png 1456w" sizes="100vw" loading="lazy"></picture><div class="image-link-expand"><div class="pencraft pc-display-flex pc-gap-8 pc-reset"><button tabindex="0" type="button" class="pencraft pc-reset pencraft icon-container restack-image"><svg role="img" width="20" height="20" viewBox="0 0 20 20" fill="none" stroke-width="1.5" stroke="var(--color-fg-primary)" stroke-linecap="round" stroke-linejoin="round" xmlns="http://www.w3.org/2000/svg"><g><title></title><path d="M2.53001 7.81595C3.49179 4.73911 6.43281 2.5 9.91173 2.5C13.1684 2.5 15.9537 4.46214 17.0852 7.23684L17.6179 8.67647M17.6179 8.67647L18.5002 4.26471M17.6179 8.67647L13.6473 6.91176M17.4995 12.1841C16.5378 15.2609 13.5967 17.5 10.1178 17.5C6.86118 17.5 4.07589 15.5379 2.94432 12.7632L2.41165 11.3235M2.41165 11.3235L1.5293 15.7353M2.41165 11.3235L6.38224 13.0882"></path></g></svg></button><button tabindex="0" type="button" class="pencraft pc-reset pencraft icon-container view-image"><svg xmlns="http://www.w3.org/2000/svg" width="20" height="20" viewBox="0 0 24 24" fill="none" stroke="currentColor" stroke-width="2" stroke-linecap="round" stroke-linejoin="round" class="lucide lucide-maximize2 lucide-maximize-2"><polyline points="15 3 21 3 21 9"></polyline><polyline points="9 21 3 21 3 15"></polyline><line x1="21" x2="14" y1="3" y2="10"></line><line x1="3" x2="10" y1="21" y2="14"></line></svg></button></div></div></div></a></figure></div><p>Given this design, <strong>the cost of the distribution panel, additional junction boxes, and power cables must be considered, which would significantly increase the construction cost</strong>.</p><div class="captioned-image-container"><figure><a class="image-link image2 is-viewable-img" target="_blank" href="https://substackcdn.com/image/fetch/$s_!Rhia!,f_auto,q_auto:good,fl_progressive:steep/https%3A%2F%2Fsubstack-post-media.s3.amazonaws.com%2Fpublic%2Fimages%2Fa0ebd93f-34eb-4e0d-ae64-5bdb601ce9e4_1024x526.png" data-component-name="Image2ToDOM"><div class="image2-inset"><picture><source type="image/webp" srcset="https://substackcdn.com/image/fetch/$s_!Rhia!,w_424,c_limit,f_webp,q_auto:good,fl_progressive:steep/https%3A%2F%2Fsubstack-post-media.s3.amazonaws.com%2Fpublic%2Fimages%2Fa0ebd93f-34eb-4e0d-ae64-5bdb601ce9e4_1024x526.png 424w, https://substackcdn.com/image/fetch/$s_!Rhia!,w_848,c_limit,f_webp,q_auto:good,fl_progressive:steep/https%3A%2F%2Fsubstack-post-media.s3.amazonaws.com%2Fpublic%2Fimages%2Fa0ebd93f-34eb-4e0d-ae64-5bdb601ce9e4_1024x526.png 848w, https://substackcdn.com/image/fetch/$s_!Rhia!,w_1272,c_limit,f_webp,q_auto:good,fl_progressive:steep/https%3A%2F%2Fsubstack-post-media.s3.amazonaws.com%2Fpublic%2Fimages%2Fa0ebd93f-34eb-4e0d-ae64-5bdb601ce9e4_1024x526.png 1272w, https://substackcdn.com/image/fetch/$s_!Rhia!,w_1456,c_limit,f_webp,q_auto:good,fl_progressive:steep/https%3A%2F%2Fsubstack-post-media.s3.amazonaws.com%2Fpublic%2Fimages%2Fa0ebd93f-34eb-4e0d-ae64-5bdb601ce9e4_1024x526.png 1456w" sizes="100vw"><img src="https://substackcdn.com/image/fetch/$s_!Rhia!,w_1456,c_limit,f_auto,q_auto:good,fl_progressive:steep/https%3A%2F%2Fsubstack-post-media.s3.amazonaws.com%2Fpublic%2Fimages%2Fa0ebd93f-34eb-4e0d-ae64-5bdb601ce9e4_1024x526.png" width="1024" height="526" data-attrs="{&quot;src&quot;:&quot;https://substack-post-media.s3.amazonaws.com/public/images/a0ebd93f-34eb-4e0d-ae64-5bdb601ce9e4_1024x526.png&quot;,&quot;srcNoWatermark&quot;:null,&quot;fullscreen&quot;:null,&quot;imageSize&quot;:null,&quot;height&quot;:526,&quot;width&quot;:1024,&quot;resizeWidth&quot;:null,&quot;bytes&quot;:null,&quot;alt&quot;:&quot;&quot;,&quot;title&quot;:null,&quot;type&quot;:null,&quot;href&quot;:null,&quot;belowTheFold&quot;:true,&quot;topImage&quot;:false,&quot;internalRedirect&quot;:null,&quot;isProcessing&quot;:false,&quot;align&quot;:null,&quot;offset&quot;:false}" class="sizing-normal" alt="" title="" srcset="https://substackcdn.com/image/fetch/$s_!Rhia!,w_424,c_limit,f_auto,q_auto:good,fl_progressive:steep/https%3A%2F%2Fsubstack-post-media.s3.amazonaws.com%2Fpublic%2Fimages%2Fa0ebd93f-34eb-4e0d-ae64-5bdb601ce9e4_1024x526.png 424w, https://substackcdn.com/image/fetch/$s_!Rhia!,w_848,c_limit,f_auto,q_auto:good,fl_progressive:steep/https%3A%2F%2Fsubstack-post-media.s3.amazonaws.com%2Fpublic%2Fimages%2Fa0ebd93f-34eb-4e0d-ae64-5bdb601ce9e4_1024x526.png 848w, https://substackcdn.com/image/fetch/$s_!Rhia!,w_1272,c_limit,f_auto,q_auto:good,fl_progressive:steep/https%3A%2F%2Fsubstack-post-media.s3.amazonaws.com%2Fpublic%2Fimages%2Fa0ebd93f-34eb-4e0d-ae64-5bdb601ce9e4_1024x526.png 1272w, https://substackcdn.com/image/fetch/$s_!Rhia!,w_1456,c_limit,f_auto,q_auto:good,fl_progressive:steep/https%3A%2F%2Fsubstack-post-media.s3.amazonaws.com%2Fpublic%2Fimages%2Fa0ebd93f-34eb-4e0d-ae64-5bdb601ce9e4_1024x526.png 1456w" sizes="100vw" loading="lazy"></picture><div class="image-link-expand"><div class="pencraft pc-display-flex pc-gap-8 pc-reset"><button tabindex="0" type="button" class="pencraft pc-reset pencraft icon-container restack-image"><svg role="img" width="20" height="20" viewBox="0 0 20 20" fill="none" stroke-width="1.5" stroke="var(--color-fg-primary)" stroke-linecap="round" stroke-linejoin="round" xmlns="http://www.w3.org/2000/svg"><g><title></title><path d="M2.53001 7.81595C3.49179 4.73911 6.43281 2.5 9.91173 2.5C13.1684 2.5 15.9537 4.46214 17.0852 7.23684L17.6179 8.67647M17.6179 8.67647L18.5002 4.26471M17.6179 8.67647L13.6473 6.91176M17.4995 12.1841C16.5378 15.2609 13.5967 17.5 10.1178 17.5C6.86118 17.5 4.07589 15.5379 2.94432 12.7632L2.41165 11.3235M2.41165 11.3235L1.5293 15.7353M2.41165 11.3235L6.38224 13.0882"></path></g></svg></button><button tabindex="0" type="button" class="pencraft pc-reset pencraft icon-container view-image"><svg xmlns="http://www.w3.org/2000/svg" width="20" height="20" viewBox="0 0 24 24" fill="none" stroke="currentColor" stroke-width="2" stroke-linecap="round" stroke-linejoin="round" class="lucide lucide-maximize2 lucide-maximize-2"><polyline points="15 3 21 3 21 9"></polyline><polyline points="9 21 3 21 3 15"></polyline><line x1="21" x2="14" y1="3" y2="10"></line><line x1="3" x2="10" y1="21" y2="14"></line></svg></button></div></div></div></a></figure></div><p>SR cables regulate heat by changing their molecular structure. However, like a rubber band that loses elasticity when overstretched, SR cables may lose their original heating capacity over time if used at high temperatures for extended periods. This means <strong>the client will eventually need to replace the SR cables after several years.</strong></p><h4>&lt;Case of using MI Cable&gt;</h4><p>MI cables are made from inorganic materials, allowing them to withstand temperatures up to 800&#176;C.</p><p>Since the output is based on the resistance value of the conductor, we can select the appropriate model to generate the required output.</p><p>By using MI long-line heating cables, we can design the system as follows. For load balancing, we will use a three-line &#8216;Y&#8217; connection.</p><div class="captioned-image-container"><figure><a class="image-link image2 is-viewable-img" target="_blank" href="https://substackcdn.com/image/fetch/$s_!QF3_!,f_auto,q_auto:good,fl_progressive:steep/https%3A%2F%2Fsubstack-post-media.s3.amazonaws.com%2Fpublic%2Fimages%2F27dd9ce5-ed32-4b4e-8f4f-f13538170e69_1024x534.png" data-component-name="Image2ToDOM"><div class="image2-inset"><picture><source type="image/webp" srcset="https://substackcdn.com/image/fetch/$s_!QF3_!,w_424,c_limit,f_webp,q_auto:good,fl_progressive:steep/https%3A%2F%2Fsubstack-post-media.s3.amazonaws.com%2Fpublic%2Fimages%2F27dd9ce5-ed32-4b4e-8f4f-f13538170e69_1024x534.png 424w, https://substackcdn.com/image/fetch/$s_!QF3_!,w_848,c_limit,f_webp,q_auto:good,fl_progressive:steep/https%3A%2F%2Fsubstack-post-media.s3.amazonaws.com%2Fpublic%2Fimages%2F27dd9ce5-ed32-4b4e-8f4f-f13538170e69_1024x534.png 848w, https://substackcdn.com/image/fetch/$s_!QF3_!,w_1272,c_limit,f_webp,q_auto:good,fl_progressive:steep/https%3A%2F%2Fsubstack-post-media.s3.amazonaws.com%2Fpublic%2Fimages%2F27dd9ce5-ed32-4b4e-8f4f-f13538170e69_1024x534.png 1272w, https://substackcdn.com/image/fetch/$s_!QF3_!,w_1456,c_limit,f_webp,q_auto:good,fl_progressive:steep/https%3A%2F%2Fsubstack-post-media.s3.amazonaws.com%2Fpublic%2Fimages%2F27dd9ce5-ed32-4b4e-8f4f-f13538170e69_1024x534.png 1456w" sizes="100vw"><img src="https://substackcdn.com/image/fetch/$s_!QF3_!,w_1456,c_limit,f_auto,q_auto:good,fl_progressive:steep/https%3A%2F%2Fsubstack-post-media.s3.amazonaws.com%2Fpublic%2Fimages%2F27dd9ce5-ed32-4b4e-8f4f-f13538170e69_1024x534.png" width="1024" height="534" data-attrs="{&quot;src&quot;:&quot;https://substack-post-media.s3.amazonaws.com/public/images/27dd9ce5-ed32-4b4e-8f4f-f13538170e69_1024x534.png&quot;,&quot;srcNoWatermark&quot;:null,&quot;fullscreen&quot;:null,&quot;imageSize&quot;:null,&quot;height&quot;:534,&quot;width&quot;:1024,&quot;resizeWidth&quot;:null,&quot;bytes&quot;:null,&quot;alt&quot;:&quot;&quot;,&quot;title&quot;:null,&quot;type&quot;:null,&quot;href&quot;:null,&quot;belowTheFold&quot;:true,&quot;topImage&quot;:false,&quot;internalRedirect&quot;:null,&quot;isProcessing&quot;:false,&quot;align&quot;:null,&quot;offset&quot;:false}" class="sizing-normal" alt="" title="" srcset="https://substackcdn.com/image/fetch/$s_!QF3_!,w_424,c_limit,f_auto,q_auto:good,fl_progressive:steep/https%3A%2F%2Fsubstack-post-media.s3.amazonaws.com%2Fpublic%2Fimages%2F27dd9ce5-ed32-4b4e-8f4f-f13538170e69_1024x534.png 424w, https://substackcdn.com/image/fetch/$s_!QF3_!,w_848,c_limit,f_auto,q_auto:good,fl_progressive:steep/https%3A%2F%2Fsubstack-post-media.s3.amazonaws.com%2Fpublic%2Fimages%2F27dd9ce5-ed32-4b4e-8f4f-f13538170e69_1024x534.png 848w, https://substackcdn.com/image/fetch/$s_!QF3_!,w_1272,c_limit,f_auto,q_auto:good,fl_progressive:steep/https%3A%2F%2Fsubstack-post-media.s3.amazonaws.com%2Fpublic%2Fimages%2F27dd9ce5-ed32-4b4e-8f4f-f13538170e69_1024x534.png 1272w, https://substackcdn.com/image/fetch/$s_!QF3_!,w_1456,c_limit,f_auto,q_auto:good,fl_progressive:steep/https%3A%2F%2Fsubstack-post-media.s3.amazonaws.com%2Fpublic%2Fimages%2F27dd9ce5-ed32-4b4e-8f4f-f13538170e69_1024x534.png 1456w" sizes="100vw" loading="lazy"></picture><div class="image-link-expand"><div class="pencraft pc-display-flex pc-gap-8 pc-reset"><button tabindex="0" type="button" class="pencraft pc-reset pencraft icon-container restack-image"><svg role="img" width="20" height="20" viewBox="0 0 20 20" fill="none" stroke-width="1.5" stroke="var(--color-fg-primary)" stroke-linecap="round" stroke-linejoin="round" xmlns="http://www.w3.org/2000/svg"><g><title></title><path d="M2.53001 7.81595C3.49179 4.73911 6.43281 2.5 9.91173 2.5C13.1684 2.5 15.9537 4.46214 17.0852 7.23684L17.6179 8.67647M17.6179 8.67647L18.5002 4.26471M17.6179 8.67647L13.6473 6.91176M17.4995 12.1841C16.5378 15.2609 13.5967 17.5 10.1178 17.5C6.86118 17.5 4.07589 15.5379 2.94432 12.7632L2.41165 11.3235M2.41165 11.3235L1.5293 15.7353M2.41165 11.3235L6.38224 13.0882"></path></g></svg></button><button tabindex="0" type="button" class="pencraft pc-reset pencraft icon-container view-image"><svg xmlns="http://www.w3.org/2000/svg" width="20" height="20" viewBox="0 0 24 24" fill="none" stroke="currentColor" stroke-width="2" stroke-linecap="round" stroke-linejoin="round" class="lucide lucide-maximize2 lucide-maximize-2"><polyline points="15 3 21 3 21 9"></polyline><polyline points="9 21 3 21 3 15"></polyline><line x1="21" x2="14" y1="3" y2="10"></line><line x1="3" x2="10" y1="21" y2="14"></line></svg></button></div></div></div></a></figure></div><p>(How to choose the MI cable model for the given environment will be discussed in another article.)</p><p><strong>Only a threefold ratio is required, and distribution panels are needed only at both ends of the pipeline.</strong></p><p>In terms of maintenance, MI cables maintain a constant output over time, so there is <strong>no thermal degradation that necessitates cable replacement</strong>. Additionally, MI cables are mechanically stronger than SR cables, resulting in lower maintenance needs.</p><h3><strong>Conclusion</strong></h3><p><strong>For the above project, MI cables are more suitable than SR cables</strong>. But does this mean MI cables are generally better than SR cables? MI cables are better when the pipeline is long and requires high-temperature maintenance.</p><div class="subscription-widget-wrap-editor" data-attrs="{&quot;url&quot;:&quot;https://www.precisionnewsletter.com/subscribe?&quot;,&quot;text&quot;:&quot;Subscribe&quot;,&quot;language&quot;:&quot;en&quot;}" data-component-name="SubscribeWidgetToDOM"><div class="subscription-widget show-subscribe"><div class="preamble"><p class="cta-caption">Thanks for reading Precision Newsletter! Subscribe for free to receive new posts and support my work.</p></div><form class="subscription-widget-subscribe"><input type="email" class="email-input" name="email" placeholder="Type your email&#8230;" tabindex="-1"><input type="submit" class="button primary" value="Subscribe"><div class="fake-input-wrapper"><div class="fake-input"></div><div class="fake-button"></div></div></form></div></div>]]></content:encoded></item><item><title><![CDATA[Calculating Required Heat-Up Power for Pipe System in Electrical Heat Tracing]]></title><description><![CDATA[While many applications of electrical heat tracing involve maintaining a specific temperature, some require an increase in temperature.]]></description><link>https://www.precisionnewsletter.com/p/calculating-required-power-for-pipe</link><guid isPermaLink="false">https://www.precisionnewsletter.com/p/calculating-required-power-for-pipe</guid><dc:creator><![CDATA[Jinwook Jung]]></dc:creator><pubDate>Wed, 01 Jan 2025 15:34:23 GMT</pubDate><enclosure url="https://substack-post-media.s3.amazonaws.com/public/images/ca146aca-ff8f-46b3-9123-92ded4f98539_671x566.png" length="0" type="image/jpeg"/><content:encoded><![CDATA[<p>While many applications of electrical heat tracing involve maintaining a specific temperature, some require an <strong>increase in temperature</strong>.</p><p>For example, bitumen is a highly viscous material. When it is not being transferred through a pipe, it can become almost solid in the ambient temperature and will not flow. To enable flow through the pipeline, the temperature must be raised to around 130&#176;C. In this case, heat-up through electrical heat tracing is an effective solution.</p><div class="subscription-widget-wrap-editor" data-attrs="{&quot;url&quot;:&quot;https://www.precisionnewsletter.com/subscribe?&quot;,&quot;text&quot;:&quot;Subscribe&quot;,&quot;language&quot;:&quot;en&quot;}" data-component-name="SubscribeWidgetToDOM"><div class="subscription-widget show-subscribe"><div class="preamble"><p class="cta-caption">Thanks for reading Precision Newsletter! Subscribe for free to receive new posts and support my work.</p></div><form class="subscription-widget-subscribe"><input type="email" class="email-input" name="email" placeholder="Type your email&#8230;" tabindex="-1"><input type="submit" class="button primary" value="Subscribe"><div class="fake-input-wrapper"><div class="fake-input"></div><div class="fake-button"></div></div></form></div></div><p>In this article, I&#8217;ll explain <strong>how to calculate the required power to heat up a pipe system within a specified period of time</strong>.</p><div><hr></div><p>Simply put, the equation to calculate the required heat is as follows:</p><div class="captioned-image-container"><figure><a class="image-link image2" target="_blank" href="https://substackcdn.com/image/fetch/$s_!h1n4!,f_auto,q_auto:good,fl_progressive:steep/https%3A%2F%2Fsubstack-post-media.s3.amazonaws.com%2Fpublic%2Fimages%2F180ddc49-ac82-4692-8faf-01271e24a0e8_808x94.png" data-component-name="Image2ToDOM"><div class="image2-inset"><picture><source type="image/webp" srcset="https://substackcdn.com/image/fetch/$s_!h1n4!,w_424,c_limit,f_webp,q_auto:good,fl_progressive:steep/https%3A%2F%2Fsubstack-post-media.s3.amazonaws.com%2Fpublic%2Fimages%2F180ddc49-ac82-4692-8faf-01271e24a0e8_808x94.png 424w, https://substackcdn.com/image/fetch/$s_!h1n4!,w_848,c_limit,f_webp,q_auto:good,fl_progressive:steep/https%3A%2F%2Fsubstack-post-media.s3.amazonaws.com%2Fpublic%2Fimages%2F180ddc49-ac82-4692-8faf-01271e24a0e8_808x94.png 848w, https://substackcdn.com/image/fetch/$s_!h1n4!,w_1272,c_limit,f_webp,q_auto:good,fl_progressive:steep/https%3A%2F%2Fsubstack-post-media.s3.amazonaws.com%2Fpublic%2Fimages%2F180ddc49-ac82-4692-8faf-01271e24a0e8_808x94.png 1272w, https://substackcdn.com/image/fetch/$s_!h1n4!,w_1456,c_limit,f_webp,q_auto:good,fl_progressive:steep/https%3A%2F%2Fsubstack-post-media.s3.amazonaws.com%2Fpublic%2Fimages%2F180ddc49-ac82-4692-8faf-01271e24a0e8_808x94.png 1456w" sizes="100vw"><img src="https://substackcdn.com/image/fetch/$s_!h1n4!,w_1456,c_limit,f_auto,q_auto:good,fl_progressive:steep/https%3A%2F%2Fsubstack-post-media.s3.amazonaws.com%2Fpublic%2Fimages%2F180ddc49-ac82-4692-8faf-01271e24a0e8_808x94.png" width="808" height="94" data-attrs="{&quot;src&quot;:&quot;https://substack-post-media.s3.amazonaws.com/public/images/180ddc49-ac82-4692-8faf-01271e24a0e8_808x94.png&quot;,&quot;srcNoWatermark&quot;:null,&quot;fullscreen&quot;:null,&quot;imageSize&quot;:null,&quot;height&quot;:94,&quot;width&quot;:808,&quot;resizeWidth&quot;:null,&quot;bytes&quot;:null,&quot;alt&quot;:&quot;&quot;,&quot;title&quot;:null,&quot;type&quot;:null,&quot;href&quot;:null,&quot;belowTheFold&quot;:false,&quot;topImage&quot;:true,&quot;internalRedirect&quot;:null,&quot;isProcessing&quot;:false,&quot;align&quot;:null,&quot;offset&quot;:false}" class="sizing-normal" alt="" title="" srcset="https://substackcdn.com/image/fetch/$s_!h1n4!,w_424,c_limit,f_auto,q_auto:good,fl_progressive:steep/https%3A%2F%2Fsubstack-post-media.s3.amazonaws.com%2Fpublic%2Fimages%2F180ddc49-ac82-4692-8faf-01271e24a0e8_808x94.png 424w, https://substackcdn.com/image/fetch/$s_!h1n4!,w_848,c_limit,f_auto,q_auto:good,fl_progressive:steep/https%3A%2F%2Fsubstack-post-media.s3.amazonaws.com%2Fpublic%2Fimages%2F180ddc49-ac82-4692-8faf-01271e24a0e8_808x94.png 848w, https://substackcdn.com/image/fetch/$s_!h1n4!,w_1272,c_limit,f_auto,q_auto:good,fl_progressive:steep/https%3A%2F%2Fsubstack-post-media.s3.amazonaws.com%2Fpublic%2Fimages%2F180ddc49-ac82-4692-8faf-01271e24a0e8_808x94.png 1272w, https://substackcdn.com/image/fetch/$s_!h1n4!,w_1456,c_limit,f_auto,q_auto:good,fl_progressive:steep/https%3A%2F%2Fsubstack-post-media.s3.amazonaws.com%2Fpublic%2Fimages%2F180ddc49-ac82-4692-8faf-01271e24a0e8_808x94.png 1456w" sizes="100vw" fetchpriority="high"></picture><div></div></div></a></figure></div><p><strong>&#9312; Heat is lost from the heated pipe to the ambient environment through thermal conduction. To compensate for this loss, we need to supply an amount of heat that is equal to or greater than the heat loss.</strong></p><p><strong>&#9313;~&#9314; Additionally, we need to increase the temperature of the pipe system and the fluid inside it. Therefore, we must account for the heat required to raise the temperature of both the pipe and the fluid.</strong></p><p><strong>&#9315; Optionally, if there is a phase change during the heat-up process (e.g., solid to liquid, liquid to gas, or solid to gas), we should account for the additional latent heat.</strong></p><div class="captioned-image-container"><figure><a class="image-link image2 is-viewable-img" target="_blank" href="https://substackcdn.com/image/fetch/$s_!xWmp!,f_auto,q_auto:good,fl_progressive:steep/https%3A%2F%2Fsubstack-post-media.s3.amazonaws.com%2Fpublic%2Fimages%2F1a5e6abf-155c-4c56-9959-746f1a2f88a7_517x406.png" data-component-name="Image2ToDOM"><div class="image2-inset"><picture><source type="image/webp" srcset="https://substackcdn.com/image/fetch/$s_!xWmp!,w_424,c_limit,f_webp,q_auto:good,fl_progressive:steep/https%3A%2F%2Fsubstack-post-media.s3.amazonaws.com%2Fpublic%2Fimages%2F1a5e6abf-155c-4c56-9959-746f1a2f88a7_517x406.png 424w, https://substackcdn.com/image/fetch/$s_!xWmp!,w_848,c_limit,f_webp,q_auto:good,fl_progressive:steep/https%3A%2F%2Fsubstack-post-media.s3.amazonaws.com%2Fpublic%2Fimages%2F1a5e6abf-155c-4c56-9959-746f1a2f88a7_517x406.png 848w, https://substackcdn.com/image/fetch/$s_!xWmp!,w_1272,c_limit,f_webp,q_auto:good,fl_progressive:steep/https%3A%2F%2Fsubstack-post-media.s3.amazonaws.com%2Fpublic%2Fimages%2F1a5e6abf-155c-4c56-9959-746f1a2f88a7_517x406.png 1272w, https://substackcdn.com/image/fetch/$s_!xWmp!,w_1456,c_limit,f_webp,q_auto:good,fl_progressive:steep/https%3A%2F%2Fsubstack-post-media.s3.amazonaws.com%2Fpublic%2Fimages%2F1a5e6abf-155c-4c56-9959-746f1a2f88a7_517x406.png 1456w" sizes="100vw"><img src="https://substackcdn.com/image/fetch/$s_!xWmp!,w_1456,c_limit,f_auto,q_auto:good,fl_progressive:steep/https%3A%2F%2Fsubstack-post-media.s3.amazonaws.com%2Fpublic%2Fimages%2F1a5e6abf-155c-4c56-9959-746f1a2f88a7_517x406.png" width="517" height="406" data-attrs="{&quot;src&quot;:&quot;https://substack-post-media.s3.amazonaws.com/public/images/1a5e6abf-155c-4c56-9959-746f1a2f88a7_517x406.png&quot;,&quot;srcNoWatermark&quot;:null,&quot;fullscreen&quot;:null,&quot;imageSize&quot;:null,&quot;height&quot;:406,&quot;width&quot;:517,&quot;resizeWidth&quot;:null,&quot;bytes&quot;:null,&quot;alt&quot;:&quot;&quot;,&quot;title&quot;:null,&quot;type&quot;:null,&quot;href&quot;:null,&quot;belowTheFold&quot;:true,&quot;topImage&quot;:false,&quot;internalRedirect&quot;:null,&quot;isProcessing&quot;:false,&quot;align&quot;:null,&quot;offset&quot;:false}" class="sizing-normal" alt="" title="" srcset="https://substackcdn.com/image/fetch/$s_!xWmp!,w_424,c_limit,f_auto,q_auto:good,fl_progressive:steep/https%3A%2F%2Fsubstack-post-media.s3.amazonaws.com%2Fpublic%2Fimages%2F1a5e6abf-155c-4c56-9959-746f1a2f88a7_517x406.png 424w, https://substackcdn.com/image/fetch/$s_!xWmp!,w_848,c_limit,f_auto,q_auto:good,fl_progressive:steep/https%3A%2F%2Fsubstack-post-media.s3.amazonaws.com%2Fpublic%2Fimages%2F1a5e6abf-155c-4c56-9959-746f1a2f88a7_517x406.png 848w, https://substackcdn.com/image/fetch/$s_!xWmp!,w_1272,c_limit,f_auto,q_auto:good,fl_progressive:steep/https%3A%2F%2Fsubstack-post-media.s3.amazonaws.com%2Fpublic%2Fimages%2F1a5e6abf-155c-4c56-9959-746f1a2f88a7_517x406.png 1272w, https://substackcdn.com/image/fetch/$s_!xWmp!,w_1456,c_limit,f_auto,q_auto:good,fl_progressive:steep/https%3A%2F%2Fsubstack-post-media.s3.amazonaws.com%2Fpublic%2Fimages%2F1a5e6abf-155c-4c56-9959-746f1a2f88a7_517x406.png 1456w" sizes="100vw" loading="lazy"></picture><div class="image-link-expand"><div class="pencraft pc-display-flex pc-gap-8 pc-reset"><button tabindex="0" type="button" class="pencraft pc-reset pencraft icon-container restack-image"><svg role="img" width="20" height="20" viewBox="0 0 20 20" fill="none" stroke-width="1.5" stroke="var(--color-fg-primary)" stroke-linecap="round" stroke-linejoin="round" xmlns="http://www.w3.org/2000/svg"><g><title></title><path d="M2.53001 7.81595C3.49179 4.73911 6.43281 2.5 9.91173 2.5C13.1684 2.5 15.9537 4.46214 17.0852 7.23684L17.6179 8.67647M17.6179 8.67647L18.5002 4.26471M17.6179 8.67647L13.6473 6.91176M17.4995 12.1841C16.5378 15.2609 13.5967 17.5 10.1178 17.5C6.86118 17.5 4.07589 15.5379 2.94432 12.7632L2.41165 11.3235M2.41165 11.3235L1.5293 15.7353M2.41165 11.3235L6.38224 13.0882"></path></g></svg></button><button tabindex="0" type="button" class="pencraft pc-reset pencraft icon-container view-image"><svg xmlns="http://www.w3.org/2000/svg" width="20" height="20" viewBox="0 0 24 24" fill="none" stroke="currentColor" stroke-width="2" stroke-linecap="round" stroke-linejoin="round" class="lucide lucide-maximize2 lucide-maximize-2"><polyline points="15 3 21 3 21 9"></polyline><polyline points="9 21 3 21 3 15"></polyline><line x1="21" x2="14" y1="3" y2="10"></line><line x1="3" x2="10" y1="21" y2="14"></line></svg></button></div></div></div></a></figure></div><p>Now, let&#8217;s explore how to calculate each factor to determine the total required heat.</p><h4><strong>&#9312; Heat Loss (Q1)</strong></h4><p>Heat is lost from the pipe through conduction, convection, and radiation. Among these, conduction is the primary cause of heat loss.</p><p>To calculate the heat loss from the pipe, we use an equation derived from Fourier&#8217;s law of heat conduction.</p><div class="captioned-image-container"><figure><a class="image-link image2 is-viewable-img" target="_blank" href="https://substackcdn.com/image/fetch/$s_!heL2!,f_auto,q_auto:good,fl_progressive:steep/https%3A%2F%2Fsubstack-post-media.s3.amazonaws.com%2Fpublic%2Fimages%2F27fdd12e-d675-4e5e-b2b9-8580a05248b2_642x361.jpeg" data-component-name="Image2ToDOM"><div class="image2-inset"><picture><source type="image/webp" srcset="https://substackcdn.com/image/fetch/$s_!heL2!,w_424,c_limit,f_webp,q_auto:good,fl_progressive:steep/https%3A%2F%2Fsubstack-post-media.s3.amazonaws.com%2Fpublic%2Fimages%2F27fdd12e-d675-4e5e-b2b9-8580a05248b2_642x361.jpeg 424w, https://substackcdn.com/image/fetch/$s_!heL2!,w_848,c_limit,f_webp,q_auto:good,fl_progressive:steep/https%3A%2F%2Fsubstack-post-media.s3.amazonaws.com%2Fpublic%2Fimages%2F27fdd12e-d675-4e5e-b2b9-8580a05248b2_642x361.jpeg 848w, https://substackcdn.com/image/fetch/$s_!heL2!,w_1272,c_limit,f_webp,q_auto:good,fl_progressive:steep/https%3A%2F%2Fsubstack-post-media.s3.amazonaws.com%2Fpublic%2Fimages%2F27fdd12e-d675-4e5e-b2b9-8580a05248b2_642x361.jpeg 1272w, https://substackcdn.com/image/fetch/$s_!heL2!,w_1456,c_limit,f_webp,q_auto:good,fl_progressive:steep/https%3A%2F%2Fsubstack-post-media.s3.amazonaws.com%2Fpublic%2Fimages%2F27fdd12e-d675-4e5e-b2b9-8580a05248b2_642x361.jpeg 1456w" sizes="100vw"><img src="https://substackcdn.com/image/fetch/$s_!heL2!,w_1456,c_limit,f_auto,q_auto:good,fl_progressive:steep/https%3A%2F%2Fsubstack-post-media.s3.amazonaws.com%2Fpublic%2Fimages%2F27fdd12e-d675-4e5e-b2b9-8580a05248b2_642x361.jpeg" width="642" height="361" data-attrs="{&quot;src&quot;:&quot;https://substack-post-media.s3.amazonaws.com/public/images/27fdd12e-d675-4e5e-b2b9-8580a05248b2_642x361.jpeg&quot;,&quot;srcNoWatermark&quot;:null,&quot;fullscreen&quot;:null,&quot;imageSize&quot;:null,&quot;height&quot;:361,&quot;width&quot;:642,&quot;resizeWidth&quot;:null,&quot;bytes&quot;:null,&quot;alt&quot;:&quot;&quot;,&quot;title&quot;:null,&quot;type&quot;:null,&quot;href&quot;:null,&quot;belowTheFold&quot;:true,&quot;topImage&quot;:false,&quot;internalRedirect&quot;:null,&quot;isProcessing&quot;:false,&quot;align&quot;:null,&quot;offset&quot;:false}" class="sizing-normal" alt="" title="" srcset="https://substackcdn.com/image/fetch/$s_!heL2!,w_424,c_limit,f_auto,q_auto:good,fl_progressive:steep/https%3A%2F%2Fsubstack-post-media.s3.amazonaws.com%2Fpublic%2Fimages%2F27fdd12e-d675-4e5e-b2b9-8580a05248b2_642x361.jpeg 424w, https://substackcdn.com/image/fetch/$s_!heL2!,w_848,c_limit,f_auto,q_auto:good,fl_progressive:steep/https%3A%2F%2Fsubstack-post-media.s3.amazonaws.com%2Fpublic%2Fimages%2F27fdd12e-d675-4e5e-b2b9-8580a05248b2_642x361.jpeg 848w, https://substackcdn.com/image/fetch/$s_!heL2!,w_1272,c_limit,f_auto,q_auto:good,fl_progressive:steep/https%3A%2F%2Fsubstack-post-media.s3.amazonaws.com%2Fpublic%2Fimages%2F27fdd12e-d675-4e5e-b2b9-8580a05248b2_642x361.jpeg 1272w, https://substackcdn.com/image/fetch/$s_!heL2!,w_1456,c_limit,f_auto,q_auto:good,fl_progressive:steep/https%3A%2F%2Fsubstack-post-media.s3.amazonaws.com%2Fpublic%2Fimages%2F27fdd12e-d675-4e5e-b2b9-8580a05248b2_642x361.jpeg 1456w" sizes="100vw" loading="lazy"></picture><div class="image-link-expand"><div class="pencraft pc-display-flex pc-gap-8 pc-reset"><button tabindex="0" type="button" class="pencraft pc-reset pencraft icon-container restack-image"><svg role="img" width="20" height="20" viewBox="0 0 20 20" fill="none" stroke-width="1.5" stroke="var(--color-fg-primary)" stroke-linecap="round" stroke-linejoin="round" xmlns="http://www.w3.org/2000/svg"><g><title></title><path d="M2.53001 7.81595C3.49179 4.73911 6.43281 2.5 9.91173 2.5C13.1684 2.5 15.9537 4.46214 17.0852 7.23684L17.6179 8.67647M17.6179 8.67647L18.5002 4.26471M17.6179 8.67647L13.6473 6.91176M17.4995 12.1841C16.5378 15.2609 13.5967 17.5 10.1178 17.5C6.86118 17.5 4.07589 15.5379 2.94432 12.7632L2.41165 11.3235M2.41165 11.3235L1.5293 15.7353M2.41165 11.3235L6.38224 13.0882"></path></g></svg></button><button tabindex="0" type="button" class="pencraft pc-reset pencraft icon-container view-image"><svg xmlns="http://www.w3.org/2000/svg" width="20" height="20" viewBox="0 0 24 24" fill="none" stroke="currentColor" stroke-width="2" stroke-linecap="round" stroke-linejoin="round" class="lucide lucide-maximize2 lucide-maximize-2"><polyline points="15 3 21 3 21 9"></polyline><polyline points="9 21 3 21 3 15"></polyline><line x1="21" x2="14" y1="3" y2="10"></line><line x1="3" x2="10" y1="21" y2="14"></line></svg></button></div></div></div></a></figure></div><p>Since the heat loss (heat transfer rate) is proportional to the temperature difference, the heat loss increases as the pipe heats up.</p><div class="captioned-image-container"><figure><a class="image-link image2 is-viewable-img" target="_blank" href="https://substackcdn.com/image/fetch/$s_!wfu7!,f_auto,q_auto:good,fl_progressive:steep/https%3A%2F%2Fsubstack-post-media.s3.amazonaws.com%2Fpublic%2Fimages%2Fbafcbdc4-615c-4180-910d-52c8730ff77c_600x355.png" data-component-name="Image2ToDOM"><div class="image2-inset"><picture><source type="image/webp" srcset="https://substackcdn.com/image/fetch/$s_!wfu7!,w_424,c_limit,f_webp,q_auto:good,fl_progressive:steep/https%3A%2F%2Fsubstack-post-media.s3.amazonaws.com%2Fpublic%2Fimages%2Fbafcbdc4-615c-4180-910d-52c8730ff77c_600x355.png 424w, https://substackcdn.com/image/fetch/$s_!wfu7!,w_848,c_limit,f_webp,q_auto:good,fl_progressive:steep/https%3A%2F%2Fsubstack-post-media.s3.amazonaws.com%2Fpublic%2Fimages%2Fbafcbdc4-615c-4180-910d-52c8730ff77c_600x355.png 848w, https://substackcdn.com/image/fetch/$s_!wfu7!,w_1272,c_limit,f_webp,q_auto:good,fl_progressive:steep/https%3A%2F%2Fsubstack-post-media.s3.amazonaws.com%2Fpublic%2Fimages%2Fbafcbdc4-615c-4180-910d-52c8730ff77c_600x355.png 1272w, https://substackcdn.com/image/fetch/$s_!wfu7!,w_1456,c_limit,f_webp,q_auto:good,fl_progressive:steep/https%3A%2F%2Fsubstack-post-media.s3.amazonaws.com%2Fpublic%2Fimages%2Fbafcbdc4-615c-4180-910d-52c8730ff77c_600x355.png 1456w" sizes="100vw"><img src="https://substackcdn.com/image/fetch/$s_!wfu7!,w_1456,c_limit,f_auto,q_auto:good,fl_progressive:steep/https%3A%2F%2Fsubstack-post-media.s3.amazonaws.com%2Fpublic%2Fimages%2Fbafcbdc4-615c-4180-910d-52c8730ff77c_600x355.png" width="600" height="355" data-attrs="{&quot;src&quot;:&quot;https://substack-post-media.s3.amazonaws.com/public/images/bafcbdc4-615c-4180-910d-52c8730ff77c_600x355.png&quot;,&quot;srcNoWatermark&quot;:null,&quot;fullscreen&quot;:null,&quot;imageSize&quot;:null,&quot;height&quot;:355,&quot;width&quot;:600,&quot;resizeWidth&quot;:null,&quot;bytes&quot;:null,&quot;alt&quot;:&quot;&quot;,&quot;title&quot;:null,&quot;type&quot;:null,&quot;href&quot;:null,&quot;belowTheFold&quot;:true,&quot;topImage&quot;:false,&quot;internalRedirect&quot;:null,&quot;isProcessing&quot;:false,&quot;align&quot;:null,&quot;offset&quot;:false}" class="sizing-normal" alt="" title="" srcset="https://substackcdn.com/image/fetch/$s_!wfu7!,w_424,c_limit,f_auto,q_auto:good,fl_progressive:steep/https%3A%2F%2Fsubstack-post-media.s3.amazonaws.com%2Fpublic%2Fimages%2Fbafcbdc4-615c-4180-910d-52c8730ff77c_600x355.png 424w, https://substackcdn.com/image/fetch/$s_!wfu7!,w_848,c_limit,f_auto,q_auto:good,fl_progressive:steep/https%3A%2F%2Fsubstack-post-media.s3.amazonaws.com%2Fpublic%2Fimages%2Fbafcbdc4-615c-4180-910d-52c8730ff77c_600x355.png 848w, https://substackcdn.com/image/fetch/$s_!wfu7!,w_1272,c_limit,f_auto,q_auto:good,fl_progressive:steep/https%3A%2F%2Fsubstack-post-media.s3.amazonaws.com%2Fpublic%2Fimages%2Fbafcbdc4-615c-4180-910d-52c8730ff77c_600x355.png 1272w, https://substackcdn.com/image/fetch/$s_!wfu7!,w_1456,c_limit,f_auto,q_auto:good,fl_progressive:steep/https%3A%2F%2Fsubstack-post-media.s3.amazonaws.com%2Fpublic%2Fimages%2Fbafcbdc4-615c-4180-910d-52c8730ff77c_600x355.png 1456w" sizes="100vw" loading="lazy"></picture><div class="image-link-expand"><div class="pencraft pc-display-flex pc-gap-8 pc-reset"><button tabindex="0" type="button" class="pencraft pc-reset pencraft icon-container restack-image"><svg role="img" width="20" height="20" viewBox="0 0 20 20" fill="none" stroke-width="1.5" stroke="var(--color-fg-primary)" stroke-linecap="round" stroke-linejoin="round" xmlns="http://www.w3.org/2000/svg"><g><title></title><path d="M2.53001 7.81595C3.49179 4.73911 6.43281 2.5 9.91173 2.5C13.1684 2.5 15.9537 4.46214 17.0852 7.23684L17.6179 8.67647M17.6179 8.67647L18.5002 4.26471M17.6179 8.67647L13.6473 6.91176M17.4995 12.1841C16.5378 15.2609 13.5967 17.5 10.1178 17.5C6.86118 17.5 4.07589 15.5379 2.94432 12.7632L2.41165 11.3235M2.41165 11.3235L1.5293 15.7353M2.41165 11.3235L6.38224 13.0882"></path></g></svg></button><button tabindex="0" type="button" class="pencraft pc-reset pencraft icon-container view-image"><svg xmlns="http://www.w3.org/2000/svg" width="20" height="20" viewBox="0 0 24 24" fill="none" stroke="currentColor" stroke-width="2" stroke-linecap="round" stroke-linejoin="round" class="lucide lucide-maximize2 lucide-maximize-2"><polyline points="15 3 21 3 21 9"></polyline><polyline points="9 21 3 21 3 15"></polyline><line x1="21" x2="14" y1="3" y2="10"></line><line x1="3" x2="10" y1="21" y2="14"></line></svg></button></div></div></div></a></figure></div><p>Because heat loss is maximized once the pipe has fully heated and reached the maintenance temperature, we can determine the required heat loss as follows:</p><div class="captioned-image-container"><figure><a class="image-link image2 is-viewable-img" target="_blank" href="https://substackcdn.com/image/fetch/$s_!_PFi!,f_auto,q_auto:good,fl_progressive:steep/https%3A%2F%2Fsubstack-post-media.s3.amazonaws.com%2Fpublic%2Fimages%2F78cccdcd-b949-4aee-82cc-422d02b9ad89_440x290.png" data-component-name="Image2ToDOM"><div class="image2-inset"><picture><source type="image/webp" srcset="https://substackcdn.com/image/fetch/$s_!_PFi!,w_424,c_limit,f_webp,q_auto:good,fl_progressive:steep/https%3A%2F%2Fsubstack-post-media.s3.amazonaws.com%2Fpublic%2Fimages%2F78cccdcd-b949-4aee-82cc-422d02b9ad89_440x290.png 424w, https://substackcdn.com/image/fetch/$s_!_PFi!,w_848,c_limit,f_webp,q_auto:good,fl_progressive:steep/https%3A%2F%2Fsubstack-post-media.s3.amazonaws.com%2Fpublic%2Fimages%2F78cccdcd-b949-4aee-82cc-422d02b9ad89_440x290.png 848w, https://substackcdn.com/image/fetch/$s_!_PFi!,w_1272,c_limit,f_webp,q_auto:good,fl_progressive:steep/https%3A%2F%2Fsubstack-post-media.s3.amazonaws.com%2Fpublic%2Fimages%2F78cccdcd-b949-4aee-82cc-422d02b9ad89_440x290.png 1272w, https://substackcdn.com/image/fetch/$s_!_PFi!,w_1456,c_limit,f_webp,q_auto:good,fl_progressive:steep/https%3A%2F%2Fsubstack-post-media.s3.amazonaws.com%2Fpublic%2Fimages%2F78cccdcd-b949-4aee-82cc-422d02b9ad89_440x290.png 1456w" sizes="100vw"><img src="https://substackcdn.com/image/fetch/$s_!_PFi!,w_1456,c_limit,f_auto,q_auto:good,fl_progressive:steep/https%3A%2F%2Fsubstack-post-media.s3.amazonaws.com%2Fpublic%2Fimages%2F78cccdcd-b949-4aee-82cc-422d02b9ad89_440x290.png" width="440" height="290" data-attrs="{&quot;src&quot;:&quot;https://substack-post-media.s3.amazonaws.com/public/images/78cccdcd-b949-4aee-82cc-422d02b9ad89_440x290.png&quot;,&quot;srcNoWatermark&quot;:null,&quot;fullscreen&quot;:null,&quot;imageSize&quot;:null,&quot;height&quot;:290,&quot;width&quot;:440,&quot;resizeWidth&quot;:null,&quot;bytes&quot;:null,&quot;alt&quot;:&quot;&quot;,&quot;title&quot;:null,&quot;type&quot;:null,&quot;href&quot;:null,&quot;belowTheFold&quot;:true,&quot;topImage&quot;:false,&quot;internalRedirect&quot;:null,&quot;isProcessing&quot;:false,&quot;align&quot;:null,&quot;offset&quot;:false}" class="sizing-normal" alt="" title="" srcset="https://substackcdn.com/image/fetch/$s_!_PFi!,w_424,c_limit,f_auto,q_auto:good,fl_progressive:steep/https%3A%2F%2Fsubstack-post-media.s3.amazonaws.com%2Fpublic%2Fimages%2F78cccdcd-b949-4aee-82cc-422d02b9ad89_440x290.png 424w, https://substackcdn.com/image/fetch/$s_!_PFi!,w_848,c_limit,f_auto,q_auto:good,fl_progressive:steep/https%3A%2F%2Fsubstack-post-media.s3.amazonaws.com%2Fpublic%2Fimages%2F78cccdcd-b949-4aee-82cc-422d02b9ad89_440x290.png 848w, https://substackcdn.com/image/fetch/$s_!_PFi!,w_1272,c_limit,f_auto,q_auto:good,fl_progressive:steep/https%3A%2F%2Fsubstack-post-media.s3.amazonaws.com%2Fpublic%2Fimages%2F78cccdcd-b949-4aee-82cc-422d02b9ad89_440x290.png 1272w, https://substackcdn.com/image/fetch/$s_!_PFi!,w_1456,c_limit,f_auto,q_auto:good,fl_progressive:steep/https%3A%2F%2Fsubstack-post-media.s3.amazonaws.com%2Fpublic%2Fimages%2F78cccdcd-b949-4aee-82cc-422d02b9ad89_440x290.png 1456w" sizes="100vw" loading="lazy"></picture><div class="image-link-expand"><div class="pencraft pc-display-flex pc-gap-8 pc-reset"><button tabindex="0" type="button" class="pencraft pc-reset pencraft icon-container restack-image"><svg role="img" width="20" height="20" viewBox="0 0 20 20" fill="none" stroke-width="1.5" stroke="var(--color-fg-primary)" stroke-linecap="round" stroke-linejoin="round" xmlns="http://www.w3.org/2000/svg"><g><title></title><path d="M2.53001 7.81595C3.49179 4.73911 6.43281 2.5 9.91173 2.5C13.1684 2.5 15.9537 4.46214 17.0852 7.23684L17.6179 8.67647M17.6179 8.67647L18.5002 4.26471M17.6179 8.67647L13.6473 6.91176M17.4995 12.1841C16.5378 15.2609 13.5967 17.5 10.1178 17.5C6.86118 17.5 4.07589 15.5379 2.94432 12.7632L2.41165 11.3235M2.41165 11.3235L1.5293 15.7353M2.41165 11.3235L6.38224 13.0882"></path></g></svg></button><button tabindex="0" type="button" class="pencraft pc-reset pencraft icon-container view-image"><svg xmlns="http://www.w3.org/2000/svg" width="20" height="20" viewBox="0 0 24 24" fill="none" stroke="currentColor" stroke-width="2" stroke-linecap="round" stroke-linejoin="round" class="lucide lucide-maximize2 lucide-maximize-2"><polyline points="15 3 21 3 21 9"></polyline><polyline points="9 21 3 21 3 15"></polyline><line x1="21" x2="14" y1="3" y2="10"></line><line x1="3" x2="10" y1="21" y2="14"></line></svg></button></div></div></div></a></figure></div><h4><strong>&#9313; Heat-Up for Fluid (Q2)</strong></h4><p>According to the heat capacity equation, the <strong>required heat to raise the temperature of the fluid</strong> is calculated as follows:</p><div class="captioned-image-container"><figure><a class="image-link image2" target="_blank" href="https://substackcdn.com/image/fetch/$s_!MYks!,f_auto,q_auto:good,fl_progressive:steep/https%3A%2F%2Fsubstack-post-media.s3.amazonaws.com%2Fpublic%2Fimages%2Feff7b8df-b5c3-486e-a22a-b00806dbbaf8_992x106.png" data-component-name="Image2ToDOM"><div class="image2-inset"><picture><source type="image/webp" srcset="https://substackcdn.com/image/fetch/$s_!MYks!,w_424,c_limit,f_webp,q_auto:good,fl_progressive:steep/https%3A%2F%2Fsubstack-post-media.s3.amazonaws.com%2Fpublic%2Fimages%2Feff7b8df-b5c3-486e-a22a-b00806dbbaf8_992x106.png 424w, https://substackcdn.com/image/fetch/$s_!MYks!,w_848,c_limit,f_webp,q_auto:good,fl_progressive:steep/https%3A%2F%2Fsubstack-post-media.s3.amazonaws.com%2Fpublic%2Fimages%2Feff7b8df-b5c3-486e-a22a-b00806dbbaf8_992x106.png 848w, https://substackcdn.com/image/fetch/$s_!MYks!,w_1272,c_limit,f_webp,q_auto:good,fl_progressive:steep/https%3A%2F%2Fsubstack-post-media.s3.amazonaws.com%2Fpublic%2Fimages%2Feff7b8df-b5c3-486e-a22a-b00806dbbaf8_992x106.png 1272w, https://substackcdn.com/image/fetch/$s_!MYks!,w_1456,c_limit,f_webp,q_auto:good,fl_progressive:steep/https%3A%2F%2Fsubstack-post-media.s3.amazonaws.com%2Fpublic%2Fimages%2Feff7b8df-b5c3-486e-a22a-b00806dbbaf8_992x106.png 1456w" sizes="100vw"><img src="https://substackcdn.com/image/fetch/$s_!MYks!,w_1456,c_limit,f_auto,q_auto:good,fl_progressive:steep/https%3A%2F%2Fsubstack-post-media.s3.amazonaws.com%2Fpublic%2Fimages%2Feff7b8df-b5c3-486e-a22a-b00806dbbaf8_992x106.png" width="992" height="106" data-attrs="{&quot;src&quot;:&quot;https://substack-post-media.s3.amazonaws.com/public/images/eff7b8df-b5c3-486e-a22a-b00806dbbaf8_992x106.png&quot;,&quot;srcNoWatermark&quot;:null,&quot;fullscreen&quot;:null,&quot;imageSize&quot;:null,&quot;height&quot;:106,&quot;width&quot;:992,&quot;resizeWidth&quot;:null,&quot;bytes&quot;:null,&quot;alt&quot;:&quot;&quot;,&quot;title&quot;:null,&quot;type&quot;:null,&quot;href&quot;:null,&quot;belowTheFold&quot;:true,&quot;topImage&quot;:false,&quot;internalRedirect&quot;:null,&quot;isProcessing&quot;:false,&quot;align&quot;:null,&quot;offset&quot;:false}" class="sizing-normal" alt="" title="" srcset="https://substackcdn.com/image/fetch/$s_!MYks!,w_424,c_limit,f_auto,q_auto:good,fl_progressive:steep/https%3A%2F%2Fsubstack-post-media.s3.amazonaws.com%2Fpublic%2Fimages%2Feff7b8df-b5c3-486e-a22a-b00806dbbaf8_992x106.png 424w, https://substackcdn.com/image/fetch/$s_!MYks!,w_848,c_limit,f_auto,q_auto:good,fl_progressive:steep/https%3A%2F%2Fsubstack-post-media.s3.amazonaws.com%2Fpublic%2Fimages%2Feff7b8df-b5c3-486e-a22a-b00806dbbaf8_992x106.png 848w, https://substackcdn.com/image/fetch/$s_!MYks!,w_1272,c_limit,f_auto,q_auto:good,fl_progressive:steep/https%3A%2F%2Fsubstack-post-media.s3.amazonaws.com%2Fpublic%2Fimages%2Feff7b8df-b5c3-486e-a22a-b00806dbbaf8_992x106.png 1272w, https://substackcdn.com/image/fetch/$s_!MYks!,w_1456,c_limit,f_auto,q_auto:good,fl_progressive:steep/https%3A%2F%2Fsubstack-post-media.s3.amazonaws.com%2Fpublic%2Fimages%2Feff7b8df-b5c3-486e-a22a-b00806dbbaf8_992x106.png 1456w" sizes="100vw" loading="lazy"></picture><div></div></div></a></figure></div><p>When calculating heat loss, we consider the maximum possible value based on the temperature difference between the maintenance temperature and the minimum ambient temperature. Given this, we can assume that the heat loss from fluid heat-up (Q for fluid heat-up) does not need to be considered separately, as the value from <strong>&#9312;</strong> is sufficient to cover it.</p><p>Thus, with the given time duration (HR) for the heat-up process, we can divide the required heat for fluid heat-up by the time duration.</p><p>After converting the unit values, the required heat to apply per hour is determined as follows:</p><div class="captioned-image-container"><figure><a class="image-link image2 is-viewable-img" target="_blank" href="https://substackcdn.com/image/fetch/$s_!WrTv!,f_auto,q_auto:good,fl_progressive:steep/https%3A%2F%2Fsubstack-post-media.s3.amazonaws.com%2Fpublic%2Fimages%2F2ed0d1ef-1cb2-48eb-95fb-00da08109720_1023x317.png" data-component-name="Image2ToDOM"><div class="image2-inset"><picture><source type="image/webp" srcset="https://substackcdn.com/image/fetch/$s_!WrTv!,w_424,c_limit,f_webp,q_auto:good,fl_progressive:steep/https%3A%2F%2Fsubstack-post-media.s3.amazonaws.com%2Fpublic%2Fimages%2F2ed0d1ef-1cb2-48eb-95fb-00da08109720_1023x317.png 424w, https://substackcdn.com/image/fetch/$s_!WrTv!,w_848,c_limit,f_webp,q_auto:good,fl_progressive:steep/https%3A%2F%2Fsubstack-post-media.s3.amazonaws.com%2Fpublic%2Fimages%2F2ed0d1ef-1cb2-48eb-95fb-00da08109720_1023x317.png 848w, https://substackcdn.com/image/fetch/$s_!WrTv!,w_1272,c_limit,f_webp,q_auto:good,fl_progressive:steep/https%3A%2F%2Fsubstack-post-media.s3.amazonaws.com%2Fpublic%2Fimages%2F2ed0d1ef-1cb2-48eb-95fb-00da08109720_1023x317.png 1272w, https://substackcdn.com/image/fetch/$s_!WrTv!,w_1456,c_limit,f_webp,q_auto:good,fl_progressive:steep/https%3A%2F%2Fsubstack-post-media.s3.amazonaws.com%2Fpublic%2Fimages%2F2ed0d1ef-1cb2-48eb-95fb-00da08109720_1023x317.png 1456w" sizes="100vw"><img src="https://substackcdn.com/image/fetch/$s_!WrTv!,w_1456,c_limit,f_auto,q_auto:good,fl_progressive:steep/https%3A%2F%2Fsubstack-post-media.s3.amazonaws.com%2Fpublic%2Fimages%2F2ed0d1ef-1cb2-48eb-95fb-00da08109720_1023x317.png" width="1023" height="317" data-attrs="{&quot;src&quot;:&quot;https://substack-post-media.s3.amazonaws.com/public/images/2ed0d1ef-1cb2-48eb-95fb-00da08109720_1023x317.png&quot;,&quot;srcNoWatermark&quot;:null,&quot;fullscreen&quot;:null,&quot;imageSize&quot;:null,&quot;height&quot;:317,&quot;width&quot;:1023,&quot;resizeWidth&quot;:null,&quot;bytes&quot;:null,&quot;alt&quot;:&quot;&quot;,&quot;title&quot;:null,&quot;type&quot;:null,&quot;href&quot;:null,&quot;belowTheFold&quot;:true,&quot;topImage&quot;:false,&quot;internalRedirect&quot;:null,&quot;isProcessing&quot;:false,&quot;align&quot;:null,&quot;offset&quot;:false}" class="sizing-normal" alt="" title="" srcset="https://substackcdn.com/image/fetch/$s_!WrTv!,w_424,c_limit,f_auto,q_auto:good,fl_progressive:steep/https%3A%2F%2Fsubstack-post-media.s3.amazonaws.com%2Fpublic%2Fimages%2F2ed0d1ef-1cb2-48eb-95fb-00da08109720_1023x317.png 424w, https://substackcdn.com/image/fetch/$s_!WrTv!,w_848,c_limit,f_auto,q_auto:good,fl_progressive:steep/https%3A%2F%2Fsubstack-post-media.s3.amazonaws.com%2Fpublic%2Fimages%2F2ed0d1ef-1cb2-48eb-95fb-00da08109720_1023x317.png 848w, https://substackcdn.com/image/fetch/$s_!WrTv!,w_1272,c_limit,f_auto,q_auto:good,fl_progressive:steep/https%3A%2F%2Fsubstack-post-media.s3.amazonaws.com%2Fpublic%2Fimages%2F2ed0d1ef-1cb2-48eb-95fb-00da08109720_1023x317.png 1272w, https://substackcdn.com/image/fetch/$s_!WrTv!,w_1456,c_limit,f_auto,q_auto:good,fl_progressive:steep/https%3A%2F%2Fsubstack-post-media.s3.amazonaws.com%2Fpublic%2Fimages%2F2ed0d1ef-1cb2-48eb-95fb-00da08109720_1023x317.png 1456w" sizes="100vw" loading="lazy"></picture><div class="image-link-expand"><div class="pencraft pc-display-flex pc-gap-8 pc-reset"><button tabindex="0" type="button" class="pencraft pc-reset pencraft icon-container restack-image"><svg role="img" width="20" height="20" viewBox="0 0 20 20" fill="none" stroke-width="1.5" stroke="var(--color-fg-primary)" stroke-linecap="round" stroke-linejoin="round" xmlns="http://www.w3.org/2000/svg"><g><title></title><path d="M2.53001 7.81595C3.49179 4.73911 6.43281 2.5 9.91173 2.5C13.1684 2.5 15.9537 4.46214 17.0852 7.23684L17.6179 8.67647M17.6179 8.67647L18.5002 4.26471M17.6179 8.67647L13.6473 6.91176M17.4995 12.1841C16.5378 15.2609 13.5967 17.5 10.1178 17.5C6.86118 17.5 4.07589 15.5379 2.94432 12.7632L2.41165 11.3235M2.41165 11.3235L1.5293 15.7353M2.41165 11.3235L6.38224 13.0882"></path></g></svg></button><button tabindex="0" type="button" class="pencraft pc-reset pencraft icon-container view-image"><svg xmlns="http://www.w3.org/2000/svg" width="20" height="20" viewBox="0 0 24 24" fill="none" stroke="currentColor" stroke-width="2" stroke-linecap="round" stroke-linejoin="round" class="lucide lucide-maximize2 lucide-maximize-2"><polyline points="15 3 21 3 21 9"></polyline><polyline points="9 21 3 21 3 15"></polyline><line x1="21" x2="14" y1="3" y2="10"></line><line x1="3" x2="10" y1="21" y2="14"></line></svg></button></div></div></div></a></figure></div><h4><strong>&#9314; Heat-Up for Pipe (Q3)</strong></h4><p>We also need to account for the <strong>heat required to raise the temperature of the pipe</strong>.</p><div class="captioned-image-container"><figure><a class="image-link image2" target="_blank" href="https://substackcdn.com/image/fetch/$s_!oyc4!,f_auto,q_auto:good,fl_progressive:steep/https%3A%2F%2Fsubstack-post-media.s3.amazonaws.com%2Fpublic%2Fimages%2F42c00099-8f52-4f0d-ae22-dfde0a6ac39d_973x109.png" data-component-name="Image2ToDOM"><div class="image2-inset"><picture><source type="image/webp" srcset="https://substackcdn.com/image/fetch/$s_!oyc4!,w_424,c_limit,f_webp,q_auto:good,fl_progressive:steep/https%3A%2F%2Fsubstack-post-media.s3.amazonaws.com%2Fpublic%2Fimages%2F42c00099-8f52-4f0d-ae22-dfde0a6ac39d_973x109.png 424w, https://substackcdn.com/image/fetch/$s_!oyc4!,w_848,c_limit,f_webp,q_auto:good,fl_progressive:steep/https%3A%2F%2Fsubstack-post-media.s3.amazonaws.com%2Fpublic%2Fimages%2F42c00099-8f52-4f0d-ae22-dfde0a6ac39d_973x109.png 848w, https://substackcdn.com/image/fetch/$s_!oyc4!,w_1272,c_limit,f_webp,q_auto:good,fl_progressive:steep/https%3A%2F%2Fsubstack-post-media.s3.amazonaws.com%2Fpublic%2Fimages%2F42c00099-8f52-4f0d-ae22-dfde0a6ac39d_973x109.png 1272w, https://substackcdn.com/image/fetch/$s_!oyc4!,w_1456,c_limit,f_webp,q_auto:good,fl_progressive:steep/https%3A%2F%2Fsubstack-post-media.s3.amazonaws.com%2Fpublic%2Fimages%2F42c00099-8f52-4f0d-ae22-dfde0a6ac39d_973x109.png 1456w" sizes="100vw"><img src="https://substackcdn.com/image/fetch/$s_!oyc4!,w_1456,c_limit,f_auto,q_auto:good,fl_progressive:steep/https%3A%2F%2Fsubstack-post-media.s3.amazonaws.com%2Fpublic%2Fimages%2F42c00099-8f52-4f0d-ae22-dfde0a6ac39d_973x109.png" width="973" height="109" data-attrs="{&quot;src&quot;:&quot;https://substack-post-media.s3.amazonaws.com/public/images/42c00099-8f52-4f0d-ae22-dfde0a6ac39d_973x109.png&quot;,&quot;srcNoWatermark&quot;:null,&quot;fullscreen&quot;:null,&quot;imageSize&quot;:null,&quot;height&quot;:109,&quot;width&quot;:973,&quot;resizeWidth&quot;:null,&quot;bytes&quot;:null,&quot;alt&quot;:&quot;&quot;,&quot;title&quot;:null,&quot;type&quot;:null,&quot;href&quot;:null,&quot;belowTheFold&quot;:true,&quot;topImage&quot;:false,&quot;internalRedirect&quot;:null,&quot;isProcessing&quot;:false,&quot;align&quot;:null,&quot;offset&quot;:false}" class="sizing-normal" alt="" title="" srcset="https://substackcdn.com/image/fetch/$s_!oyc4!,w_424,c_limit,f_auto,q_auto:good,fl_progressive:steep/https%3A%2F%2Fsubstack-post-media.s3.amazonaws.com%2Fpublic%2Fimages%2F42c00099-8f52-4f0d-ae22-dfde0a6ac39d_973x109.png 424w, https://substackcdn.com/image/fetch/$s_!oyc4!,w_848,c_limit,f_auto,q_auto:good,fl_progressive:steep/https%3A%2F%2Fsubstack-post-media.s3.amazonaws.com%2Fpublic%2Fimages%2F42c00099-8f52-4f0d-ae22-dfde0a6ac39d_973x109.png 848w, https://substackcdn.com/image/fetch/$s_!oyc4!,w_1272,c_limit,f_auto,q_auto:good,fl_progressive:steep/https%3A%2F%2Fsubstack-post-media.s3.amazonaws.com%2Fpublic%2Fimages%2F42c00099-8f52-4f0d-ae22-dfde0a6ac39d_973x109.png 1272w, https://substackcdn.com/image/fetch/$s_!oyc4!,w_1456,c_limit,f_auto,q_auto:good,fl_progressive:steep/https%3A%2F%2Fsubstack-post-media.s3.amazonaws.com%2Fpublic%2Fimages%2F42c00099-8f52-4f0d-ae22-dfde0a6ac39d_973x109.png 1456w" sizes="100vw" loading="lazy"></picture><div></div></div></a></figure></div><p>Similarly, we can calculate the required heat for the pipe heat-up per hour as follows:</p><div class="captioned-image-container"><figure><a class="image-link image2 is-viewable-img" target="_blank" href="https://substackcdn.com/image/fetch/$s_!sqDH!,f_auto,q_auto:good,fl_progressive:steep/https%3A%2F%2Fsubstack-post-media.s3.amazonaws.com%2Fpublic%2Fimages%2F011313d1-df67-4ddf-8c6c-9ca2a8de4f73_1023x317.png" data-component-name="Image2ToDOM"><div class="image2-inset"><picture><source type="image/webp" srcset="https://substackcdn.com/image/fetch/$s_!sqDH!,w_424,c_limit,f_webp,q_auto:good,fl_progressive:steep/https%3A%2F%2Fsubstack-post-media.s3.amazonaws.com%2Fpublic%2Fimages%2F011313d1-df67-4ddf-8c6c-9ca2a8de4f73_1023x317.png 424w, https://substackcdn.com/image/fetch/$s_!sqDH!,w_848,c_limit,f_webp,q_auto:good,fl_progressive:steep/https%3A%2F%2Fsubstack-post-media.s3.amazonaws.com%2Fpublic%2Fimages%2F011313d1-df67-4ddf-8c6c-9ca2a8de4f73_1023x317.png 848w, https://substackcdn.com/image/fetch/$s_!sqDH!,w_1272,c_limit,f_webp,q_auto:good,fl_progressive:steep/https%3A%2F%2Fsubstack-post-media.s3.amazonaws.com%2Fpublic%2Fimages%2F011313d1-df67-4ddf-8c6c-9ca2a8de4f73_1023x317.png 1272w, https://substackcdn.com/image/fetch/$s_!sqDH!,w_1456,c_limit,f_webp,q_auto:good,fl_progressive:steep/https%3A%2F%2Fsubstack-post-media.s3.amazonaws.com%2Fpublic%2Fimages%2F011313d1-df67-4ddf-8c6c-9ca2a8de4f73_1023x317.png 1456w" sizes="100vw"><img src="https://substackcdn.com/image/fetch/$s_!sqDH!,w_1456,c_limit,f_auto,q_auto:good,fl_progressive:steep/https%3A%2F%2Fsubstack-post-media.s3.amazonaws.com%2Fpublic%2Fimages%2F011313d1-df67-4ddf-8c6c-9ca2a8de4f73_1023x317.png" width="1023" height="317" data-attrs="{&quot;src&quot;:&quot;https://substack-post-media.s3.amazonaws.com/public/images/011313d1-df67-4ddf-8c6c-9ca2a8de4f73_1023x317.png&quot;,&quot;srcNoWatermark&quot;:null,&quot;fullscreen&quot;:null,&quot;imageSize&quot;:null,&quot;height&quot;:317,&quot;width&quot;:1023,&quot;resizeWidth&quot;:null,&quot;bytes&quot;:null,&quot;alt&quot;:&quot;&quot;,&quot;title&quot;:null,&quot;type&quot;:null,&quot;href&quot;:null,&quot;belowTheFold&quot;:true,&quot;topImage&quot;:false,&quot;internalRedirect&quot;:null,&quot;isProcessing&quot;:false,&quot;align&quot;:null,&quot;offset&quot;:false}" class="sizing-normal" alt="" title="" srcset="https://substackcdn.com/image/fetch/$s_!sqDH!,w_424,c_limit,f_auto,q_auto:good,fl_progressive:steep/https%3A%2F%2Fsubstack-post-media.s3.amazonaws.com%2Fpublic%2Fimages%2F011313d1-df67-4ddf-8c6c-9ca2a8de4f73_1023x317.png 424w, https://substackcdn.com/image/fetch/$s_!sqDH!,w_848,c_limit,f_auto,q_auto:good,fl_progressive:steep/https%3A%2F%2Fsubstack-post-media.s3.amazonaws.com%2Fpublic%2Fimages%2F011313d1-df67-4ddf-8c6c-9ca2a8de4f73_1023x317.png 848w, https://substackcdn.com/image/fetch/$s_!sqDH!,w_1272,c_limit,f_auto,q_auto:good,fl_progressive:steep/https%3A%2F%2Fsubstack-post-media.s3.amazonaws.com%2Fpublic%2Fimages%2F011313d1-df67-4ddf-8c6c-9ca2a8de4f73_1023x317.png 1272w, https://substackcdn.com/image/fetch/$s_!sqDH!,w_1456,c_limit,f_auto,q_auto:good,fl_progressive:steep/https%3A%2F%2Fsubstack-post-media.s3.amazonaws.com%2Fpublic%2Fimages%2F011313d1-df67-4ddf-8c6c-9ca2a8de4f73_1023x317.png 1456w" sizes="100vw" loading="lazy"></picture><div class="image-link-expand"><div class="pencraft pc-display-flex pc-gap-8 pc-reset"><button tabindex="0" type="button" class="pencraft pc-reset pencraft icon-container restack-image"><svg role="img" width="20" height="20" viewBox="0 0 20 20" fill="none" stroke-width="1.5" stroke="var(--color-fg-primary)" stroke-linecap="round" stroke-linejoin="round" xmlns="http://www.w3.org/2000/svg"><g><title></title><path d="M2.53001 7.81595C3.49179 4.73911 6.43281 2.5 9.91173 2.5C13.1684 2.5 15.9537 4.46214 17.0852 7.23684L17.6179 8.67647M17.6179 8.67647L18.5002 4.26471M17.6179 8.67647L13.6473 6.91176M17.4995 12.1841C16.5378 15.2609 13.5967 17.5 10.1178 17.5C6.86118 17.5 4.07589 15.5379 2.94432 12.7632L2.41165 11.3235M2.41165 11.3235L1.5293 15.7353M2.41165 11.3235L6.38224 13.0882"></path></g></svg></button><button tabindex="0" type="button" class="pencraft pc-reset pencraft icon-container view-image"><svg xmlns="http://www.w3.org/2000/svg" width="20" height="20" viewBox="0 0 24 24" fill="none" stroke="currentColor" stroke-width="2" stroke-linecap="round" stroke-linejoin="round" class="lucide lucide-maximize2 lucide-maximize-2"><polyline points="15 3 21 3 21 9"></polyline><polyline points="9 21 3 21 3 15"></polyline><line x1="21" x2="14" y1="3" y2="10"></line><line x1="3" x2="10" y1="21" y2="14"></line></svg></button></div></div></div></a></figure></div><p>For steel pipes, the specific heat value is 0.11 kcal/kg&#176;C.</p><p>Regarding the unit weight of the pipe, you can refer to the weight per meter (kg/m) for steel pipes (schedule 40, which is the standard schedule).</p><h4><strong>&#9315; Latent heat</strong></h4><p>To calculate latent heat, we use the following equation:</p><div class="captioned-image-container"><figure><a class="image-link image2" target="_blank" href="https://substackcdn.com/image/fetch/$s_!gD4Z!,f_auto,q_auto:good,fl_progressive:steep/https%3A%2F%2Fsubstack-post-media.s3.amazonaws.com%2Fpublic%2Fimages%2F051a0b54-baf2-4e6c-9521-49362c3e14c9_268x122.png" data-component-name="Image2ToDOM"><div class="image2-inset"><picture><source type="image/webp" srcset="https://substackcdn.com/image/fetch/$s_!gD4Z!,w_424,c_limit,f_webp,q_auto:good,fl_progressive:steep/https%3A%2F%2Fsubstack-post-media.s3.amazonaws.com%2Fpublic%2Fimages%2F051a0b54-baf2-4e6c-9521-49362c3e14c9_268x122.png 424w, https://substackcdn.com/image/fetch/$s_!gD4Z!,w_848,c_limit,f_webp,q_auto:good,fl_progressive:steep/https%3A%2F%2Fsubstack-post-media.s3.amazonaws.com%2Fpublic%2Fimages%2F051a0b54-baf2-4e6c-9521-49362c3e14c9_268x122.png 848w, https://substackcdn.com/image/fetch/$s_!gD4Z!,w_1272,c_limit,f_webp,q_auto:good,fl_progressive:steep/https%3A%2F%2Fsubstack-post-media.s3.amazonaws.com%2Fpublic%2Fimages%2F051a0b54-baf2-4e6c-9521-49362c3e14c9_268x122.png 1272w, https://substackcdn.com/image/fetch/$s_!gD4Z!,w_1456,c_limit,f_webp,q_auto:good,fl_progressive:steep/https%3A%2F%2Fsubstack-post-media.s3.amazonaws.com%2Fpublic%2Fimages%2F051a0b54-baf2-4e6c-9521-49362c3e14c9_268x122.png 1456w" sizes="100vw"><img src="https://substackcdn.com/image/fetch/$s_!gD4Z!,w_1456,c_limit,f_auto,q_auto:good,fl_progressive:steep/https%3A%2F%2Fsubstack-post-media.s3.amazonaws.com%2Fpublic%2Fimages%2F051a0b54-baf2-4e6c-9521-49362c3e14c9_268x122.png" width="268" height="122" data-attrs="{&quot;src&quot;:&quot;https://substack-post-media.s3.amazonaws.com/public/images/051a0b54-baf2-4e6c-9521-49362c3e14c9_268x122.png&quot;,&quot;srcNoWatermark&quot;:null,&quot;fullscreen&quot;:null,&quot;imageSize&quot;:null,&quot;height&quot;:122,&quot;width&quot;:268,&quot;resizeWidth&quot;:null,&quot;bytes&quot;:null,&quot;alt&quot;:&quot;&quot;,&quot;title&quot;:null,&quot;type&quot;:null,&quot;href&quot;:null,&quot;belowTheFold&quot;:true,&quot;topImage&quot;:false,&quot;internalRedirect&quot;:null,&quot;isProcessing&quot;:false,&quot;align&quot;:null,&quot;offset&quot;:false}" class="sizing-normal" alt="" title="" srcset="https://substackcdn.com/image/fetch/$s_!gD4Z!,w_424,c_limit,f_auto,q_auto:good,fl_progressive:steep/https%3A%2F%2Fsubstack-post-media.s3.amazonaws.com%2Fpublic%2Fimages%2F051a0b54-baf2-4e6c-9521-49362c3e14c9_268x122.png 424w, https://substackcdn.com/image/fetch/$s_!gD4Z!,w_848,c_limit,f_auto,q_auto:good,fl_progressive:steep/https%3A%2F%2Fsubstack-post-media.s3.amazonaws.com%2Fpublic%2Fimages%2F051a0b54-baf2-4e6c-9521-49362c3e14c9_268x122.png 848w, https://substackcdn.com/image/fetch/$s_!gD4Z!,w_1272,c_limit,f_auto,q_auto:good,fl_progressive:steep/https%3A%2F%2Fsubstack-post-media.s3.amazonaws.com%2Fpublic%2Fimages%2F051a0b54-baf2-4e6c-9521-49362c3e14c9_268x122.png 1272w, https://substackcdn.com/image/fetch/$s_!gD4Z!,w_1456,c_limit,f_auto,q_auto:good,fl_progressive:steep/https%3A%2F%2Fsubstack-post-media.s3.amazonaws.com%2Fpublic%2Fimages%2F051a0b54-baf2-4e6c-9521-49362c3e14c9_268x122.png 1456w" sizes="100vw" loading="lazy"></picture><div></div></div></a></figure></div><p>For fusion, we use the latent heat of fusion value (L(f)), and for vaporization, we use the latent heat of vaporization value (L(v)).</p><p>By adding the values from <strong>&#9312; + &#9313; + &#9314; + &#9315;</strong> (heat loss + heat for fluid heat-up + heat for pipe heat-up + latent heat), we can calculate the total heat required to heat up the fluid in the pipe within the specified time duration.</p><div class="subscription-widget-wrap-editor" data-attrs="{&quot;url&quot;:&quot;https://www.precisionnewsletter.com/subscribe?&quot;,&quot;text&quot;:&quot;Subscribe&quot;,&quot;language&quot;:&quot;en&quot;}" data-component-name="SubscribeWidgetToDOM"><div class="subscription-widget show-subscribe"><div class="preamble"><p class="cta-caption">Thanks for reading Precision Newsletter! Subscribe for free to receive new posts and support my work.</p></div><form class="subscription-widget-subscribe"><input type="email" class="email-input" name="email" placeholder="Type your email&#8230;" tabindex="-1"><input type="submit" class="button primary" value="Subscribe"><div class="fake-input-wrapper"><div class="fake-input"></div><div class="fake-button"></div></div></form></div></div>]]></content:encoded></item><item><title><![CDATA[EHT System Control by Thermostat on Site]]></title><description><![CDATA[What is a simple way to control the EHT system to maintain temperature?]]></description><link>https://www.precisionnewsletter.com/p/eht-system-control-by-thermostat</link><guid isPermaLink="false">https://www.precisionnewsletter.com/p/eht-system-control-by-thermostat</guid><dc:creator><![CDATA[Jinwook Jung]]></dc:creator><pubDate>Sun, 15 Dec 2024 13:34:23 GMT</pubDate><enclosure url="https://substackcdn.com/image/fetch/$s_!MuIx!,f_auto,q_auto:good,fl_progressive:steep/https%3A%2F%2Fsubstack-post-media.s3.amazonaws.com%2Fpublic%2Fimages%2F8bbcee0b-bcc5-40bc-a807-8ab95cfb6185_1024x487.png" length="0" type="image/jpeg"/><content:encoded><![CDATA[<p>When I need to propose an EHT system, clients often ask me to design it based on my experience. For me, the control system has always been the aspect that requires more attention than other topics.</p><div><hr></div><h4><strong>What is a control system with thermostat?</strong></h4><p>Simply put, in winter, we turn on the boiler to warm the house. But when it reaches a certain temperature, we want it to automatically turn off to prevent overheating and save energy. When it gets cold again (below the desired temperature), it should turn back on. The thermostat is responsible for this automatic on/off function.</p><div class="subscription-widget-wrap-editor" data-attrs="{&quot;url&quot;:&quot;https://www.precisionnewsletter.com/subscribe?&quot;,&quot;text&quot;:&quot;Subscribe&quot;,&quot;language&quot;:&quot;en&quot;}" data-component-name="SubscribeWidgetToDOM"><div class="subscription-widget show-subscribe"><div class="preamble"><p class="cta-caption">Thanks for reading Precision Newsletter! Subscribe for free to receive new posts and support my work.</p></div><form class="subscription-widget-subscribe"><input type="email" class="email-input" name="email" placeholder="Type your email&#8230;" tabindex="-1"><input type="submit" class="button primary" value="Subscribe"><div class="fake-input-wrapper"><div class="fake-input"></div><div class="fake-button"></div></div></form></div></div><p>Similarly, a good electrical heat tracing (EHT) system should have a control system to maintain the desired temperature and conserve energy.</p><p>In this article, I&#8217;d like to explain a simple method to control an EHT system&#8212;using a thermostat on site.</p><p>In an industrial EHT system, the thermostat is typically housed within a box, which looks like this:</p><div class="captioned-image-container"><figure><a class="image-link image2 is-viewable-img" target="_blank" href="https://substackcdn.com/image/fetch/$s_!MuIx!,f_auto,q_auto:good,fl_progressive:steep/https%3A%2F%2Fsubstack-post-media.s3.amazonaws.com%2Fpublic%2Fimages%2F8bbcee0b-bcc5-40bc-a807-8ab95cfb6185_1024x487.png" data-component-name="Image2ToDOM"><div class="image2-inset"><picture><source type="image/webp" srcset="https://substackcdn.com/image/fetch/$s_!MuIx!,w_424,c_limit,f_webp,q_auto:good,fl_progressive:steep/https%3A%2F%2Fsubstack-post-media.s3.amazonaws.com%2Fpublic%2Fimages%2F8bbcee0b-bcc5-40bc-a807-8ab95cfb6185_1024x487.png 424w, https://substackcdn.com/image/fetch/$s_!MuIx!,w_848,c_limit,f_webp,q_auto:good,fl_progressive:steep/https%3A%2F%2Fsubstack-post-media.s3.amazonaws.com%2Fpublic%2Fimages%2F8bbcee0b-bcc5-40bc-a807-8ab95cfb6185_1024x487.png 848w, https://substackcdn.com/image/fetch/$s_!MuIx!,w_1272,c_limit,f_webp,q_auto:good,fl_progressive:steep/https%3A%2F%2Fsubstack-post-media.s3.amazonaws.com%2Fpublic%2Fimages%2F8bbcee0b-bcc5-40bc-a807-8ab95cfb6185_1024x487.png 1272w, https://substackcdn.com/image/fetch/$s_!MuIx!,w_1456,c_limit,f_webp,q_auto:good,fl_progressive:steep/https%3A%2F%2Fsubstack-post-media.s3.amazonaws.com%2Fpublic%2Fimages%2F8bbcee0b-bcc5-40bc-a807-8ab95cfb6185_1024x487.png 1456w" sizes="100vw"><img src="https://substackcdn.com/image/fetch/$s_!MuIx!,w_1456,c_limit,f_auto,q_auto:good,fl_progressive:steep/https%3A%2F%2Fsubstack-post-media.s3.amazonaws.com%2Fpublic%2Fimages%2F8bbcee0b-bcc5-40bc-a807-8ab95cfb6185_1024x487.png" width="1024" height="487" data-attrs="{&quot;src&quot;:&quot;https://substack-post-media.s3.amazonaws.com/public/images/8bbcee0b-bcc5-40bc-a807-8ab95cfb6185_1024x487.png&quot;,&quot;srcNoWatermark&quot;:null,&quot;fullscreen&quot;:null,&quot;imageSize&quot;:null,&quot;height&quot;:487,&quot;width&quot;:1024,&quot;resizeWidth&quot;:null,&quot;bytes&quot;:null,&quot;alt&quot;:&quot;&quot;,&quot;title&quot;:null,&quot;type&quot;:null,&quot;href&quot;:null,&quot;belowTheFold&quot;:false,&quot;topImage&quot;:true,&quot;internalRedirect&quot;:null,&quot;isProcessing&quot;:false,&quot;align&quot;:null,&quot;offset&quot;:false}" class="sizing-normal" alt="" title="" srcset="https://substackcdn.com/image/fetch/$s_!MuIx!,w_424,c_limit,f_auto,q_auto:good,fl_progressive:steep/https%3A%2F%2Fsubstack-post-media.s3.amazonaws.com%2Fpublic%2Fimages%2F8bbcee0b-bcc5-40bc-a807-8ab95cfb6185_1024x487.png 424w, https://substackcdn.com/image/fetch/$s_!MuIx!,w_848,c_limit,f_auto,q_auto:good,fl_progressive:steep/https%3A%2F%2Fsubstack-post-media.s3.amazonaws.com%2Fpublic%2Fimages%2F8bbcee0b-bcc5-40bc-a807-8ab95cfb6185_1024x487.png 848w, https://substackcdn.com/image/fetch/$s_!MuIx!,w_1272,c_limit,f_auto,q_auto:good,fl_progressive:steep/https%3A%2F%2Fsubstack-post-media.s3.amazonaws.com%2Fpublic%2Fimages%2F8bbcee0b-bcc5-40bc-a807-8ab95cfb6185_1024x487.png 1272w, https://substackcdn.com/image/fetch/$s_!MuIx!,w_1456,c_limit,f_auto,q_auto:good,fl_progressive:steep/https%3A%2F%2Fsubstack-post-media.s3.amazonaws.com%2Fpublic%2Fimages%2F8bbcee0b-bcc5-40bc-a807-8ab95cfb6185_1024x487.png 1456w" sizes="100vw" fetchpriority="high"></picture><div class="image-link-expand"><div class="pencraft pc-display-flex pc-gap-8 pc-reset"><button tabindex="0" type="button" class="pencraft pc-reset pencraft icon-container restack-image"><svg role="img" width="20" height="20" viewBox="0 0 20 20" fill="none" stroke-width="1.5" stroke="var(--color-fg-primary)" stroke-linecap="round" stroke-linejoin="round" xmlns="http://www.w3.org/2000/svg"><g><title></title><path d="M2.53001 7.81595C3.49179 4.73911 6.43281 2.5 9.91173 2.5C13.1684 2.5 15.9537 4.46214 17.0852 7.23684L17.6179 8.67647M17.6179 8.67647L18.5002 4.26471M17.6179 8.67647L13.6473 6.91176M17.4995 12.1841C16.5378 15.2609 13.5967 17.5 10.1178 17.5C6.86118 17.5 4.07589 15.5379 2.94432 12.7632L2.41165 11.3235M2.41165 11.3235L1.5293 15.7353M2.41165 11.3235L6.38224 13.0882"></path></g></svg></button><button tabindex="0" type="button" class="pencraft pc-reset pencraft icon-container view-image"><svg xmlns="http://www.w3.org/2000/svg" width="20" height="20" viewBox="0 0 24 24" fill="none" stroke="currentColor" stroke-width="2" stroke-linecap="round" stroke-linejoin="round" class="lucide lucide-maximize2 lucide-maximize-2"><polyline points="15 3 21 3 21 9"></polyline><polyline points="9 21 3 21 3 15"></polyline><line x1="21" x2="14" y1="3" y2="10"></line><line x1="3" x2="10" y1="21" y2="14"></line></svg></button></div></div></div></a></figure></div><p><em>Thermostat housed in aluminum / GRP box</em></p><p>The thermostat allows us to set a desired temperature. We want our pipe (or tank) to maintain this set temperature. To compare the pipe&#8217;s (or tank&#8217;s) temperature with the set temperature, we need to measure it using a sensor.</p><div class="captioned-image-container"><figure><a class="image-link image2 is-viewable-img" target="_blank" href="https://substackcdn.com/image/fetch/$s_!HmEW!,f_auto,q_auto:good,fl_progressive:steep/https%3A%2F%2Fsubstack-post-media.s3.amazonaws.com%2Fpublic%2Fimages%2F658d7886-d768-4ce5-b43f-dcfe083b00a9_1022x557.png" data-component-name="Image2ToDOM"><div class="image2-inset"><picture><source type="image/webp" srcset="https://substackcdn.com/image/fetch/$s_!HmEW!,w_424,c_limit,f_webp,q_auto:good,fl_progressive:steep/https%3A%2F%2Fsubstack-post-media.s3.amazonaws.com%2Fpublic%2Fimages%2F658d7886-d768-4ce5-b43f-dcfe083b00a9_1022x557.png 424w, https://substackcdn.com/image/fetch/$s_!HmEW!,w_848,c_limit,f_webp,q_auto:good,fl_progressive:steep/https%3A%2F%2Fsubstack-post-media.s3.amazonaws.com%2Fpublic%2Fimages%2F658d7886-d768-4ce5-b43f-dcfe083b00a9_1022x557.png 848w, https://substackcdn.com/image/fetch/$s_!HmEW!,w_1272,c_limit,f_webp,q_auto:good,fl_progressive:steep/https%3A%2F%2Fsubstack-post-media.s3.amazonaws.com%2Fpublic%2Fimages%2F658d7886-d768-4ce5-b43f-dcfe083b00a9_1022x557.png 1272w, https://substackcdn.com/image/fetch/$s_!HmEW!,w_1456,c_limit,f_webp,q_auto:good,fl_progressive:steep/https%3A%2F%2Fsubstack-post-media.s3.amazonaws.com%2Fpublic%2Fimages%2F658d7886-d768-4ce5-b43f-dcfe083b00a9_1022x557.png 1456w" sizes="100vw"><img src="https://substackcdn.com/image/fetch/$s_!HmEW!,w_1456,c_limit,f_auto,q_auto:good,fl_progressive:steep/https%3A%2F%2Fsubstack-post-media.s3.amazonaws.com%2Fpublic%2Fimages%2F658d7886-d768-4ce5-b43f-dcfe083b00a9_1022x557.png" width="1022" height="557" data-attrs="{&quot;src&quot;:&quot;https://substack-post-media.s3.amazonaws.com/public/images/658d7886-d768-4ce5-b43f-dcfe083b00a9_1022x557.png&quot;,&quot;srcNoWatermark&quot;:null,&quot;fullscreen&quot;:null,&quot;imageSize&quot;:null,&quot;height&quot;:557,&quot;width&quot;:1022,&quot;resizeWidth&quot;:null,&quot;bytes&quot;:null,&quot;alt&quot;:&quot;&quot;,&quot;title&quot;:null,&quot;type&quot;:null,&quot;href&quot;:null,&quot;belowTheFold&quot;:true,&quot;topImage&quot;:false,&quot;internalRedirect&quot;:null,&quot;isProcessing&quot;:false,&quot;align&quot;:null,&quot;offset&quot;:false}" class="sizing-normal" alt="" title="" srcset="https://substackcdn.com/image/fetch/$s_!HmEW!,w_424,c_limit,f_auto,q_auto:good,fl_progressive:steep/https%3A%2F%2Fsubstack-post-media.s3.amazonaws.com%2Fpublic%2Fimages%2F658d7886-d768-4ce5-b43f-dcfe083b00a9_1022x557.png 424w, https://substackcdn.com/image/fetch/$s_!HmEW!,w_848,c_limit,f_auto,q_auto:good,fl_progressive:steep/https%3A%2F%2Fsubstack-post-media.s3.amazonaws.com%2Fpublic%2Fimages%2F658d7886-d768-4ce5-b43f-dcfe083b00a9_1022x557.png 848w, https://substackcdn.com/image/fetch/$s_!HmEW!,w_1272,c_limit,f_auto,q_auto:good,fl_progressive:steep/https%3A%2F%2Fsubstack-post-media.s3.amazonaws.com%2Fpublic%2Fimages%2F658d7886-d768-4ce5-b43f-dcfe083b00a9_1022x557.png 1272w, https://substackcdn.com/image/fetch/$s_!HmEW!,w_1456,c_limit,f_auto,q_auto:good,fl_progressive:steep/https%3A%2F%2Fsubstack-post-media.s3.amazonaws.com%2Fpublic%2Fimages%2F658d7886-d768-4ce5-b43f-dcfe083b00a9_1022x557.png 1456w" sizes="100vw" loading="lazy"></picture><div class="image-link-expand"><div class="pencraft pc-display-flex pc-gap-8 pc-reset"><button tabindex="0" type="button" class="pencraft pc-reset pencraft icon-container restack-image"><svg role="img" width="20" height="20" viewBox="0 0 20 20" fill="none" stroke-width="1.5" stroke="var(--color-fg-primary)" stroke-linecap="round" stroke-linejoin="round" xmlns="http://www.w3.org/2000/svg"><g><title></title><path d="M2.53001 7.81595C3.49179 4.73911 6.43281 2.5 9.91173 2.5C13.1684 2.5 15.9537 4.46214 17.0852 7.23684L17.6179 8.67647M17.6179 8.67647L18.5002 4.26471M17.6179 8.67647L13.6473 6.91176M17.4995 12.1841C16.5378 15.2609 13.5967 17.5 10.1178 17.5C6.86118 17.5 4.07589 15.5379 2.94432 12.7632L2.41165 11.3235M2.41165 11.3235L1.5293 15.7353M2.41165 11.3235L6.38224 13.0882"></path></g></svg></button><button tabindex="0" type="button" class="pencraft pc-reset pencraft icon-container view-image"><svg xmlns="http://www.w3.org/2000/svg" width="20" height="20" viewBox="0 0 24 24" fill="none" stroke="currentColor" stroke-width="2" stroke-linecap="round" stroke-linejoin="round" class="lucide lucide-maximize2 lucide-maximize-2"><polyline points="15 3 21 3 21 9"></polyline><polyline points="9 21 3 21 3 15"></polyline><line x1="21" x2="14" y1="3" y2="10"></line><line x1="3" x2="10" y1="21" y2="14"></line></svg></button></div></div></div></a></figure></div><p><em>Sensor connected to the thermostat</em></p><p>If the measured temperature is lower than the set temperature, the heating cable stays on. When the measured temperature reaches the set temperature, the heating cable turns off. When the temperature drops again, the heating cable turns on once more. This way, the temperature of the pipe (or tank) is maintained at the set temperature.</p><div><hr></div><h4>Wiring Method of Thermostat</h4><p>So, how does the heating cable turn on and off in sync with the thermostat? It requires proper wiring. Are you curious about how to do this? First, let&#8217;s look at the diagram of an electrical heat tracing system.</p><div class="captioned-image-container"><figure><a class="image-link image2 is-viewable-img" target="_blank" href="https://substackcdn.com/image/fetch/$s_!VQxB!,f_auto,q_auto:good,fl_progressive:steep/https%3A%2F%2Fsubstack-post-media.s3.amazonaws.com%2Fpublic%2Fimages%2F9dbb3034-907a-4019-a562-48d5b4657bb5_1023x529.png" data-component-name="Image2ToDOM"><div class="image2-inset"><picture><source type="image/webp" srcset="https://substackcdn.com/image/fetch/$s_!VQxB!,w_424,c_limit,f_webp,q_auto:good,fl_progressive:steep/https%3A%2F%2Fsubstack-post-media.s3.amazonaws.com%2Fpublic%2Fimages%2F9dbb3034-907a-4019-a562-48d5b4657bb5_1023x529.png 424w, https://substackcdn.com/image/fetch/$s_!VQxB!,w_848,c_limit,f_webp,q_auto:good,fl_progressive:steep/https%3A%2F%2Fsubstack-post-media.s3.amazonaws.com%2Fpublic%2Fimages%2F9dbb3034-907a-4019-a562-48d5b4657bb5_1023x529.png 848w, https://substackcdn.com/image/fetch/$s_!VQxB!,w_1272,c_limit,f_webp,q_auto:good,fl_progressive:steep/https%3A%2F%2Fsubstack-post-media.s3.amazonaws.com%2Fpublic%2Fimages%2F9dbb3034-907a-4019-a562-48d5b4657bb5_1023x529.png 1272w, https://substackcdn.com/image/fetch/$s_!VQxB!,w_1456,c_limit,f_webp,q_auto:good,fl_progressive:steep/https%3A%2F%2Fsubstack-post-media.s3.amazonaws.com%2Fpublic%2Fimages%2F9dbb3034-907a-4019-a562-48d5b4657bb5_1023x529.png 1456w" sizes="100vw"><img src="https://substackcdn.com/image/fetch/$s_!VQxB!,w_1456,c_limit,f_auto,q_auto:good,fl_progressive:steep/https%3A%2F%2Fsubstack-post-media.s3.amazonaws.com%2Fpublic%2Fimages%2F9dbb3034-907a-4019-a562-48d5b4657bb5_1023x529.png" width="1023" height="529" data-attrs="{&quot;src&quot;:&quot;https://substack-post-media.s3.amazonaws.com/public/images/9dbb3034-907a-4019-a562-48d5b4657bb5_1023x529.png&quot;,&quot;srcNoWatermark&quot;:null,&quot;fullscreen&quot;:null,&quot;imageSize&quot;:null,&quot;height&quot;:529,&quot;width&quot;:1023,&quot;resizeWidth&quot;:null,&quot;bytes&quot;:null,&quot;alt&quot;:&quot;&quot;,&quot;title&quot;:null,&quot;type&quot;:null,&quot;href&quot;:null,&quot;belowTheFold&quot;:true,&quot;topImage&quot;:false,&quot;internalRedirect&quot;:null,&quot;isProcessing&quot;:false,&quot;align&quot;:null,&quot;offset&quot;:false}" class="sizing-normal" alt="" title="" srcset="https://substackcdn.com/image/fetch/$s_!VQxB!,w_424,c_limit,f_auto,q_auto:good,fl_progressive:steep/https%3A%2F%2Fsubstack-post-media.s3.amazonaws.com%2Fpublic%2Fimages%2F9dbb3034-907a-4019-a562-48d5b4657bb5_1023x529.png 424w, https://substackcdn.com/image/fetch/$s_!VQxB!,w_848,c_limit,f_auto,q_auto:good,fl_progressive:steep/https%3A%2F%2Fsubstack-post-media.s3.amazonaws.com%2Fpublic%2Fimages%2F9dbb3034-907a-4019-a562-48d5b4657bb5_1023x529.png 848w, https://substackcdn.com/image/fetch/$s_!VQxB!,w_1272,c_limit,f_auto,q_auto:good,fl_progressive:steep/https%3A%2F%2Fsubstack-post-media.s3.amazonaws.com%2Fpublic%2Fimages%2F9dbb3034-907a-4019-a562-48d5b4657bb5_1023x529.png 1272w, https://substackcdn.com/image/fetch/$s_!VQxB!,w_1456,c_limit,f_auto,q_auto:good,fl_progressive:steep/https%3A%2F%2Fsubstack-post-media.s3.amazonaws.com%2Fpublic%2Fimages%2F9dbb3034-907a-4019-a562-48d5b4657bb5_1023x529.png 1456w" sizes="100vw" loading="lazy"></picture><div class="image-link-expand"><div class="pencraft pc-display-flex pc-gap-8 pc-reset"><button tabindex="0" type="button" class="pencraft pc-reset pencraft icon-container restack-image"><svg role="img" width="20" height="20" viewBox="0 0 20 20" fill="none" stroke-width="1.5" stroke="var(--color-fg-primary)" stroke-linecap="round" stroke-linejoin="round" xmlns="http://www.w3.org/2000/svg"><g><title></title><path d="M2.53001 7.81595C3.49179 4.73911 6.43281 2.5 9.91173 2.5C13.1684 2.5 15.9537 4.46214 17.0852 7.23684L17.6179 8.67647M17.6179 8.67647L18.5002 4.26471M17.6179 8.67647L13.6473 6.91176M17.4995 12.1841C16.5378 15.2609 13.5967 17.5 10.1178 17.5C6.86118 17.5 4.07589 15.5379 2.94432 12.7632L2.41165 11.3235M2.41165 11.3235L1.5293 15.7353M2.41165 11.3235L6.38224 13.0882"></path></g></svg></button><button tabindex="0" type="button" class="pencraft pc-reset pencraft icon-container view-image"><svg xmlns="http://www.w3.org/2000/svg" width="20" height="20" viewBox="0 0 24 24" fill="none" stroke="currentColor" stroke-width="2" stroke-linecap="round" stroke-linejoin="round" class="lucide lucide-maximize2 lucide-maximize-2"><polyline points="15 3 21 3 21 9"></polyline><polyline points="9 21 3 21 3 15"></polyline><line x1="21" x2="14" y1="3" y2="10"></line><line x1="3" x2="10" y1="21" y2="14"></line></svg></button></div></div></div></a></figure></div><p>Above is a general diagram of an EHT system. The control panel supplies power to the junction box through the power cable, energizing the heating cable connected to the junction box. To control the heating cable and maintain the set temperature, we use a thermostat beside the power junction box, and the connection is made as shown below.</p><div class="captioned-image-container"><figure><a class="image-link image2 is-viewable-img" target="_blank" href="https://substackcdn.com/image/fetch/$s_!oByj!,f_auto,q_auto:good,fl_progressive:steep/https%3A%2F%2Fsubstack-post-media.s3.amazonaws.com%2Fpublic%2Fimages%2Fbbf6ffd8-0f50-4b26-9ad1-5cb8bbe4f994_1023x612.png" data-component-name="Image2ToDOM"><div class="image2-inset"><picture><source type="image/webp" srcset="https://substackcdn.com/image/fetch/$s_!oByj!,w_424,c_limit,f_webp,q_auto:good,fl_progressive:steep/https%3A%2F%2Fsubstack-post-media.s3.amazonaws.com%2Fpublic%2Fimages%2Fbbf6ffd8-0f50-4b26-9ad1-5cb8bbe4f994_1023x612.png 424w, https://substackcdn.com/image/fetch/$s_!oByj!,w_848,c_limit,f_webp,q_auto:good,fl_progressive:steep/https%3A%2F%2Fsubstack-post-media.s3.amazonaws.com%2Fpublic%2Fimages%2Fbbf6ffd8-0f50-4b26-9ad1-5cb8bbe4f994_1023x612.png 848w, https://substackcdn.com/image/fetch/$s_!oByj!,w_1272,c_limit,f_webp,q_auto:good,fl_progressive:steep/https%3A%2F%2Fsubstack-post-media.s3.amazonaws.com%2Fpublic%2Fimages%2Fbbf6ffd8-0f50-4b26-9ad1-5cb8bbe4f994_1023x612.png 1272w, https://substackcdn.com/image/fetch/$s_!oByj!,w_1456,c_limit,f_webp,q_auto:good,fl_progressive:steep/https%3A%2F%2Fsubstack-post-media.s3.amazonaws.com%2Fpublic%2Fimages%2Fbbf6ffd8-0f50-4b26-9ad1-5cb8bbe4f994_1023x612.png 1456w" sizes="100vw"><img src="https://substackcdn.com/image/fetch/$s_!oByj!,w_1456,c_limit,f_auto,q_auto:good,fl_progressive:steep/https%3A%2F%2Fsubstack-post-media.s3.amazonaws.com%2Fpublic%2Fimages%2Fbbf6ffd8-0f50-4b26-9ad1-5cb8bbe4f994_1023x612.png" width="1023" height="612" data-attrs="{&quot;src&quot;:&quot;https://substack-post-media.s3.amazonaws.com/public/images/bbf6ffd8-0f50-4b26-9ad1-5cb8bbe4f994_1023x612.png&quot;,&quot;srcNoWatermark&quot;:null,&quot;fullscreen&quot;:null,&quot;imageSize&quot;:null,&quot;height&quot;:612,&quot;width&quot;:1023,&quot;resizeWidth&quot;:null,&quot;bytes&quot;:null,&quot;alt&quot;:&quot;&quot;,&quot;title&quot;:null,&quot;type&quot;:null,&quot;href&quot;:null,&quot;belowTheFold&quot;:true,&quot;topImage&quot;:false,&quot;internalRedirect&quot;:null,&quot;isProcessing&quot;:false,&quot;align&quot;:null,&quot;offset&quot;:false}" class="sizing-normal" alt="" title="" srcset="https://substackcdn.com/image/fetch/$s_!oByj!,w_424,c_limit,f_auto,q_auto:good,fl_progressive:steep/https%3A%2F%2Fsubstack-post-media.s3.amazonaws.com%2Fpublic%2Fimages%2Fbbf6ffd8-0f50-4b26-9ad1-5cb8bbe4f994_1023x612.png 424w, https://substackcdn.com/image/fetch/$s_!oByj!,w_848,c_limit,f_auto,q_auto:good,fl_progressive:steep/https%3A%2F%2Fsubstack-post-media.s3.amazonaws.com%2Fpublic%2Fimages%2Fbbf6ffd8-0f50-4b26-9ad1-5cb8bbe4f994_1023x612.png 848w, https://substackcdn.com/image/fetch/$s_!oByj!,w_1272,c_limit,f_auto,q_auto:good,fl_progressive:steep/https%3A%2F%2Fsubstack-post-media.s3.amazonaws.com%2Fpublic%2Fimages%2Fbbf6ffd8-0f50-4b26-9ad1-5cb8bbe4f994_1023x612.png 1272w, https://substackcdn.com/image/fetch/$s_!oByj!,w_1456,c_limit,f_auto,q_auto:good,fl_progressive:steep/https%3A%2F%2Fsubstack-post-media.s3.amazonaws.com%2Fpublic%2Fimages%2Fbbf6ffd8-0f50-4b26-9ad1-5cb8bbe4f994_1023x612.png 1456w" sizes="100vw" loading="lazy"></picture><div class="image-link-expand"><div class="pencraft pc-display-flex pc-gap-8 pc-reset"><button tabindex="0" type="button" class="pencraft pc-reset pencraft icon-container restack-image"><svg role="img" width="20" height="20" viewBox="0 0 20 20" fill="none" stroke-width="1.5" stroke="var(--color-fg-primary)" stroke-linecap="round" stroke-linejoin="round" xmlns="http://www.w3.org/2000/svg"><g><title></title><path d="M2.53001 7.81595C3.49179 4.73911 6.43281 2.5 9.91173 2.5C13.1684 2.5 15.9537 4.46214 17.0852 7.23684L17.6179 8.67647M17.6179 8.67647L18.5002 4.26471M17.6179 8.67647L13.6473 6.91176M17.4995 12.1841C16.5378 15.2609 13.5967 17.5 10.1178 17.5C6.86118 17.5 4.07589 15.5379 2.94432 12.7632L2.41165 11.3235M2.41165 11.3235L1.5293 15.7353M2.41165 11.3235L6.38224 13.0882"></path></g></svg></button><button tabindex="0" type="button" class="pencraft pc-reset pencraft icon-container view-image"><svg xmlns="http://www.w3.org/2000/svg" width="20" height="20" viewBox="0 0 24 24" fill="none" stroke="currentColor" stroke-width="2" stroke-linecap="round" stroke-linejoin="round" class="lucide lucide-maximize2 lucide-maximize-2"><polyline points="15 3 21 3 21 9"></polyline><polyline points="9 21 3 21 3 15"></polyline><line x1="21" x2="14" y1="3" y2="10"></line><line x1="3" x2="10" y1="21" y2="14"></line></svg></button></div></div></div></a></figure></div><p>Inside the junction box, there is a terminal block. We connect one wire of the power cable and one wire of the heating cable to the same block, while the other wire is connected to a different block. When the two wires of the thermostat connect these two blocks, the wiring is complete!</p><p>When the measured temperature is lower than the set temperature, the circuit closes&#8212;energizing the heating cable. When the measured temperature exceeds the set temperature, the circuit opens&#8212;de-energizing the heating cable.</p><p>The picture below shows a simple way of connecting the power junction box and the thermostat.</p><div class="captioned-image-container"><figure><a class="image-link image2 is-viewable-img" target="_blank" href="https://substackcdn.com/image/fetch/$s_!3VFG!,f_auto,q_auto:good,fl_progressive:steep/https%3A%2F%2Fsubstack-post-media.s3.amazonaws.com%2Fpublic%2Fimages%2F23675918-cb29-44ee-9566-3a0f86fe966c_1024x768.jpeg" data-component-name="Image2ToDOM"><div class="image2-inset"><picture><source type="image/webp" srcset="https://substackcdn.com/image/fetch/$s_!3VFG!,w_424,c_limit,f_webp,q_auto:good,fl_progressive:steep/https%3A%2F%2Fsubstack-post-media.s3.amazonaws.com%2Fpublic%2Fimages%2F23675918-cb29-44ee-9566-3a0f86fe966c_1024x768.jpeg 424w, https://substackcdn.com/image/fetch/$s_!3VFG!,w_848,c_limit,f_webp,q_auto:good,fl_progressive:steep/https%3A%2F%2Fsubstack-post-media.s3.amazonaws.com%2Fpublic%2Fimages%2F23675918-cb29-44ee-9566-3a0f86fe966c_1024x768.jpeg 848w, https://substackcdn.com/image/fetch/$s_!3VFG!,w_1272,c_limit,f_webp,q_auto:good,fl_progressive:steep/https%3A%2F%2Fsubstack-post-media.s3.amazonaws.com%2Fpublic%2Fimages%2F23675918-cb29-44ee-9566-3a0f86fe966c_1024x768.jpeg 1272w, https://substackcdn.com/image/fetch/$s_!3VFG!,w_1456,c_limit,f_webp,q_auto:good,fl_progressive:steep/https%3A%2F%2Fsubstack-post-media.s3.amazonaws.com%2Fpublic%2Fimages%2F23675918-cb29-44ee-9566-3a0f86fe966c_1024x768.jpeg 1456w" sizes="100vw"><img src="https://substackcdn.com/image/fetch/$s_!3VFG!,w_1456,c_limit,f_auto,q_auto:good,fl_progressive:steep/https%3A%2F%2Fsubstack-post-media.s3.amazonaws.com%2Fpublic%2Fimages%2F23675918-cb29-44ee-9566-3a0f86fe966c_1024x768.jpeg" width="1024" height="768" data-attrs="{&quot;src&quot;:&quot;https://substack-post-media.s3.amazonaws.com/public/images/23675918-cb29-44ee-9566-3a0f86fe966c_1024x768.jpeg&quot;,&quot;srcNoWatermark&quot;:null,&quot;fullscreen&quot;:null,&quot;imageSize&quot;:null,&quot;height&quot;:768,&quot;width&quot;:1024,&quot;resizeWidth&quot;:null,&quot;bytes&quot;:null,&quot;alt&quot;:&quot;&quot;,&quot;title&quot;:null,&quot;type&quot;:null,&quot;href&quot;:null,&quot;belowTheFold&quot;:true,&quot;topImage&quot;:false,&quot;internalRedirect&quot;:null,&quot;isProcessing&quot;:false,&quot;align&quot;:null,&quot;offset&quot;:false}" class="sizing-normal" alt="" title="" srcset="https://substackcdn.com/image/fetch/$s_!3VFG!,w_424,c_limit,f_auto,q_auto:good,fl_progressive:steep/https%3A%2F%2Fsubstack-post-media.s3.amazonaws.com%2Fpublic%2Fimages%2F23675918-cb29-44ee-9566-3a0f86fe966c_1024x768.jpeg 424w, https://substackcdn.com/image/fetch/$s_!3VFG!,w_848,c_limit,f_auto,q_auto:good,fl_progressive:steep/https%3A%2F%2Fsubstack-post-media.s3.amazonaws.com%2Fpublic%2Fimages%2F23675918-cb29-44ee-9566-3a0f86fe966c_1024x768.jpeg 848w, https://substackcdn.com/image/fetch/$s_!3VFG!,w_1272,c_limit,f_auto,q_auto:good,fl_progressive:steep/https%3A%2F%2Fsubstack-post-media.s3.amazonaws.com%2Fpublic%2Fimages%2F23675918-cb29-44ee-9566-3a0f86fe966c_1024x768.jpeg 1272w, https://substackcdn.com/image/fetch/$s_!3VFG!,w_1456,c_limit,f_auto,q_auto:good,fl_progressive:steep/https%3A%2F%2Fsubstack-post-media.s3.amazonaws.com%2Fpublic%2Fimages%2F23675918-cb29-44ee-9566-3a0f86fe966c_1024x768.jpeg 1456w" sizes="100vw" loading="lazy"></picture><div class="image-link-expand"><div class="pencraft pc-display-flex pc-gap-8 pc-reset"><button tabindex="0" type="button" class="pencraft pc-reset pencraft icon-container restack-image"><svg role="img" width="20" height="20" viewBox="0 0 20 20" fill="none" stroke-width="1.5" stroke="var(--color-fg-primary)" stroke-linecap="round" stroke-linejoin="round" xmlns="http://www.w3.org/2000/svg"><g><title></title><path d="M2.53001 7.81595C3.49179 4.73911 6.43281 2.5 9.91173 2.5C13.1684 2.5 15.9537 4.46214 17.0852 7.23684L17.6179 8.67647M17.6179 8.67647L18.5002 4.26471M17.6179 8.67647L13.6473 6.91176M17.4995 12.1841C16.5378 15.2609 13.5967 17.5 10.1178 17.5C6.86118 17.5 4.07589 15.5379 2.94432 12.7632L2.41165 11.3235M2.41165 11.3235L1.5293 15.7353M2.41165 11.3235L6.38224 13.0882"></path></g></svg></button><button tabindex="0" type="button" class="pencraft pc-reset pencraft icon-container view-image"><svg xmlns="http://www.w3.org/2000/svg" width="20" height="20" viewBox="0 0 24 24" fill="none" stroke="currentColor" stroke-width="2" stroke-linecap="round" stroke-linejoin="round" class="lucide lucide-maximize2 lucide-maximize-2"><polyline points="15 3 21 3 21 9"></polyline><polyline points="9 21 3 21 3 15"></polyline><line x1="21" x2="14" y1="3" y2="10"></line><line x1="3" x2="10" y1="21" y2="14"></line></svg></button></div></div></div></a></figure></div><p>Controlling the EHT system with a thermostat is a simple method. It only requires placing a thermostat next to the power junction box, making it a relatively inexpensive temperature control method. Since the system is simple, it is easy to install and maintain on site.</p><div class="subscription-widget-wrap-editor" data-attrs="{&quot;url&quot;:&quot;https://www.precisionnewsletter.com/subscribe?&quot;,&quot;text&quot;:&quot;Subscribe&quot;,&quot;language&quot;:&quot;en&quot;}" data-component-name="SubscribeWidgetToDOM"><div class="subscription-widget show-subscribe"><div class="preamble"><p class="cta-caption">Thanks for reading Precision Newsletter! Subscribe for free to receive new posts and support my work.</p></div><form class="subscription-widget-subscribe"><input type="email" class="email-input" name="email" placeholder="Type your email&#8230;" tabindex="-1"><input type="submit" class="button primary" value="Subscribe"><div class="fake-input-wrapper"><div class="fake-input"></div><div class="fake-button"></div></div></form></div></div>]]></content:encoded></item></channel></rss>